Microstructural and Thermo-Mechanical Characterization of Cast NiTiCu20 Shape Memory Alloy
Abstract
:1. Introduction
2. Materials and Methods
3. Results
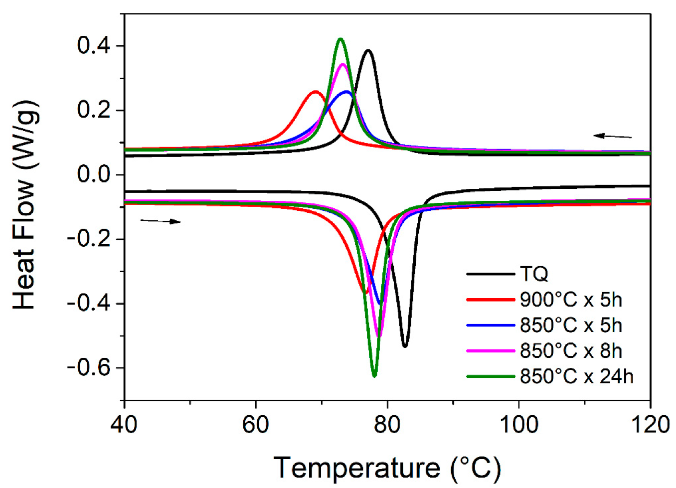
3.1. Thermal Characterization
3.2. Dynamic Thermal Mechanical Analysis
3.3. Microstructural Characterization
4. Discussion
5. Conclusions
- The thermo-mechanical condition of the NiTiCu20 provided by the induction melting process leads to the formation of several secondary phases which partially melt at lower temperatures with respect to the nominal alloy. Hence, the homogenization thermal treatments should be carefully optimized to avoid phases’ segregation and maintain the overall alloy composition. In the present study, 850 °C was chosen as thermal treatment temperature. The increase of the treatment time led to the increase of the enthalpy related to the TMT up to the value of the as-cast material.
- The excellent damping ability typical of this alloy was confirmed thanks to the presence of the various secondary phases and IF reaches values up to 0.13 in correspondence of TMT. The lowest damping performance was given by the sample thermally treated for the lowest time, i.e., the sample with the lowest transformation enthalpy.
- In order to identify and characterize the secondary phases, SEM and EDX compositional analyses were performed and four different phases were detected: a matrix phase with a nominal composition of the alloy, two Ti-rich phases with lower content of Ni and Cu, and a phase with the same content of Ti with respect to the matrix and an equal content of Ni and Cu.
- The investigation of the crystallographic structure of the different phases allowed the detection of three structures at room temperature: the expected martensite B19, the cubic NiTi2 phase, and the residual austenite B2. The distribution of the structures and their preferential orientation in correspondence to the different secondary phases is identified for the samples treated at 5 and 8 h but it is difficult to correlate the punctual analysis of the crystallographic structure to the damping ability of the material, which is a volumetric phenomenon that combines defects and interfaces between the phases and intrinsic phase contributions.
Author Contributions
Funding
Institutional Review Board Statement
Informed Consent Statement
Data Availability Statement
Conflicts of Interest
References
- Otsuka, K.; Ren, X. Physical metallurgy of Ti-Ni-based shape memory alloys. Prog. Mater. Sci. 2005, 50, 511–678. [Google Scholar] [CrossRef]
- Lagoudas, D.C. Shape Memory Alloys; Springer: Boston, MA, USA, 2008. [Google Scholar]
- Miller, D.A.; Lagoudas, D.C. Thermomechanical characterization of NiTiCu and NiTi SMA actuators: Influence of plastic strains. Smart Mater. Struct. 2000, 9, 640. [Google Scholar] [CrossRef]
- Zhang, Y.; Jiang, S.; Chen, C.; Hu, L.; Zhu, X. Hot workability of a NiTiCu shape memory alloy with acicular martensite phase based on processing maps. Intermetallics 2017, 86, 94–103. [Google Scholar] [CrossRef]
- Nespoli, A.; Passaretti, F.; Villa, E. Phase transition and mechanical damping properties: A DMTA study of NiTiCu shape memory alloys. Intermetallics 2013, 32, 394–400. [Google Scholar] [CrossRef]
- Nespoli, A.; Besseghini, S. A complete thermo-mechanical study of a NiTiCu shape memory alloy wire. J. Therm. Anal. Calorim. 2011, 103, 821–826. [Google Scholar] [CrossRef]
- Gou, L.; Liu, Y.; Ng, T.Y. Effect of Cu content on atomic positions of Ti50Ni50−xCux shape memory alloys based on density functional theory calculations. Metals 2015, 5, 2222–2235. [Google Scholar] [CrossRef] [Green Version]
- Nam, T.H.; Saburi, T.; Shimizu, K. Cu-content dependence of shape memory characteristics in Ti–Ni–Cu alloys. Mater. Trans. JIM 1990, 31, 959–967. [Google Scholar] [CrossRef] [Green Version]
- Nespoli, E.; Villa, S. Besseghini, characterization of the martensitic transformation in Ni50−xTi50Cux alloys through pure thermal measurements. J. Alloys Compd. 2011, 509, 644–647. [Google Scholar] [CrossRef]
- Nespoli, A.; Villa, E.; Passaretti, F.; Albertini, F.; Cabassi, R.; Pasquale, M.; Sasso, C.P.; Coïsson, M. Non-conventional techniques for the study of phase transitions in NiTi-based alloys. J. Mater. Eng. Perform. 2014, 23, 2491–2497. [Google Scholar] [CrossRef]
- Fabregat-Sanjuan, F.; Gispert-Guirado, F.; Ferrando, S. De la Flor, identifying the effects of heat treatment temperatures on the Ti50Ni45Cu5 alloy using dynamic mechanical analysis combined with microstructural analysis. Mater. Sci. Eng. A 2018, 712, 281–291. [Google Scholar] [CrossRef]
- Tang, M.; Zhang, Y.; Jiang, S.; Yu, J.; Yan, B.; Zhao, C.; Yan, B. Microstructural evolution and related mechanisms in NiTiCu shape memory alloy subjected local canning compression. Intermetallics 2020, 118. [Google Scholar] [CrossRef]
- Thomasová, M.; Seiner, H.; Sedlák, P.; Frost, M.; Ševčík, M.; Szurman, I.; Kocich, R.; Drahokoupil, J.; Šittner, P.; Landa, M. Evolution of macroscopic elastic moduli of martensitic polycrystalline NiTi and NiTiCu shape memory alloys with pseudoplastic straining. Acta Mater. 2017, 123, 146–156. [Google Scholar] [CrossRef]
- Jiang, S.; Sun, D.; Zhang, Y.; Hu, L. Deformation behavior and microstructure evolution of NiTiCu shape memory alloy subjected to plastic deformation at high temperatures. Metals 2017, 7, 294. [Google Scholar] [CrossRef] [Green Version]
- Sampath, V.; Srinithi, R.; Santosh, S.; Sarangi, P.P.; Sherin Fathima, J. The effect of quenching methods on transformation characteristics and microstructure of an niticu shape memory alloy. Trans. Indian Inst. Met. 2020, 73, 1481–1488. [Google Scholar] [CrossRef]
- Fuentes, J.G.; Gümpel, P.; Strittmatter, J. Phase change behavior of nitinol shape memory alloys. Adv. Eng. Mater. 2002, 4, 437–452. [Google Scholar] [CrossRef]
- Nespoli, D.; Rigamonti, E.; Villa, F. Passaretti, design, characterization and perspectives of shape memory alloy elements in miniature sensor proof of concept. Sens. Actuator A Phys. 2014, 218, 142–153. [Google Scholar] [CrossRef]
- Askari-Naeini, F.G.; Taghizadeh, M.; Mohri, M.; Nili-Ahmadabadi, M. On the microstructure and mechanical properties of a two-way shape memory NiTi/NiTiCu bi-layer diaphragm. Mater. Des. 2020, 188. [Google Scholar] [CrossRef]
- Velmurugan, C.; Senthilkumar, V. The effect of Cu addition on the morphological, structural and mechanical characteristics of nanocrystalline NiTi shape memory alloys. J. Alloys Compd. 2018, 767, 944–954. [Google Scholar] [CrossRef]
- Yang, Q.R.; Cheng, L.H.; Liu, Y.H.; Li, Y.; Li, Y. Effect of minor Cu content on microstructure and mechanical property of NiTiCu bulk alloys fabricated by crystallization of metallic glass powder. Intermetallics 2015, 56, 37–43. [Google Scholar] [CrossRef]
- Rezgoun, S.; Sakher, E.; Chouf, S.; Bououdina, M.; Benchiheub, M.; Bellucci, S. Structural, microstructural, and magnetic property dependence of nanostructured Ti50Ni43Cu7 powder prepared by high-energy mechanical alloying. J. Supercond. Nov. Magn. 2020, 33, 2059–2071. [Google Scholar] [CrossRef]
- Salwa, P.; Goryczka, T. Crystallization of mechanically alloyed Ni50Ti50 and Ti50Ni25Cu25 shape memory alloys. J. Mater. Eng. Perform. 2020, 29, 2848–2852. [Google Scholar] [CrossRef]
- Li, X.; Su, Y. A phase-field study of the martensitic detwinning in NiTi shape memory alloys under tension or compression. Acta Mech. 2020, 231, 1539–1557. [Google Scholar] [CrossRef]
- Xi, S.; Su, Y. Phase field study of the microstructural dynamic evolution and mechanical response of NiTi shape memory alloy under mechanical loading. Materials 2021, 14, 183. [Google Scholar] [CrossRef] [PubMed]
- Alkan, S.; Sehitoglu, H. Plastic flow resistance of NiTiCu shape memory alloy-theory and experiments. Acta Mater. 2019, 163, 173–188. [Google Scholar] [CrossRef]
- Bakhtiari, S.; Liu, J.Z.; Liu, Y.; Yang, H. Monoclinic angle, shear response, and minimum energy pathways of NiTiCu martensite phases from ab initio calculations. Acta Mater. 2019, 178, 59–67. [Google Scholar] [CrossRef]
- Yoshida, I.; Otsuka, K. Effect of heat treatments on the damping characteristics of TiNi-based shape memory alloys. In Key Engineering Materials; Trans Tech Publications Ltd.: Stafa, Switzerland, 2006; Volume 319, pp. 33–38. [Google Scholar]
- Chien, C.; Wu, S.-K.; Chang, S.-H. Damping characteristics of Ti50Ni50−xCux (x = 0~30 at.%) shape memory alloys at a low frequency. Materials 2014, 7, 4574–4586. [Google Scholar] [CrossRef] [PubMed] [Green Version]
- Chang, S.-H.; Hsiao, S.-H. Inherent internal friction of Ti50Ni50−xCux shape memory alloys measured under isothermal conditions. J. Alloys Compd. 2014, 586, 69–73. [Google Scholar] [CrossRef]
- Li, Y.H.; Liu, S.W.; Jiang, H.C.; Wang, Y.; Deng, Z.Y.; Li, Y.H.; Wang, C.Z. Analysis of the internal friction spectrum of TiNiCu alloy. J. Alloys Compd. 2007, 430, 149–152. [Google Scholar] [CrossRef]
- Fan, G.; Zhou, Y.; Otsuka, K.; Ren, X.; Nakamura, K.; Ohba, T.; Suzuki, T.; Yoshida, I.; Yin, F. Effects of frequency, composition, hydrogen and twin boundary density on the internal friction of Ti50Ni50−xCux shape memory alloys. Acta Mater. 2006, 54, 5221–5229. [Google Scholar] [CrossRef]
- Tatar, C.; Acar, R.; Qader, I.N. Investigation of thermodynamic and microstructural characteristics of NiTiCu shape memory alloys produced by arc-melting method. Eur. Phys. J. Plus 2020, 135, 311. [Google Scholar] [CrossRef]
- Villa, F.; Villa, E.; Nespoli, A.; Passaretti, F. Internal friction parameter in shape memory alloys: Correlation between thermomechanical conditions and damping properties in NiTi and NiTiCu at different temperatures. J. Mater. Eng. Perform. 2021, 30, 2605–2616. [Google Scholar] [CrossRef]
- Otsuka, K.; Wayman, C.M. Shape Memory Materials; Cambridge University Press: Cambridge, UK, 1998; p. 284. [Google Scholar]
- Mueller, M.H.; Knott, H.W. The crystal structures of Ti2Cu, Ti2Ni, Ti4Ni2O, and Ti4Cu2O. Trans. Metall. Soc. Aime 1963, 227, 674–678. [Google Scholar]
- Cirstea, C.D.; Lucaci, M.; Valeanu, M.; Sofronie, M.; Bujoreanu, L.G.; Lungu, V.; Tsakiris, V.; Cucos, A.; Talpeanu, D.; Enescu, E. Studies about structural and thermal investigations on Ti50Ni30Cu20 alloys obtained by different technological processes. Rom. J. Phys. 2021, 66, 601. [Google Scholar]
- Rak, J.; Goryczka, T.; Ochin, P. Martensite reorientation after thermal cycling in NiTiCu shape memory alloys studied by EBSD technique. Acta Phys. Pol. A 2016, 130, 1075–1078. [Google Scholar] [CrossRef]









| Sample | Temperature | Time |
|---|---|---|
| TQ | - | - |
| 900C5h | 900 °C | 5 h |
| 850C5h | 850 °C | 5 h |
| 850C8h | 850 °C | 8 h |
| 850C24h | 850 °C | 24 h |
| Sample | Ms (°C) | Mf (°C) | As (°C) | Af (°C) | ΔHCOOL (J g−1) | ΔHHEAT (J g−1) |
|---|---|---|---|---|---|---|
| TQ | 80.1 | 73.2 | 78.8 | 84.8 | −9.6 | 11.9 |
| 900C5h | 73.4 | 63.5 | 71.2 | 79.7 | −8.0 | 9.6 |
| 850C5h | 77.7 | 67.0 | 74.2 | 82.1 | −9.0 | 10.8 |
| 850C8h | 76.7 | 68.6 | 75.1 | 81.6 | −9.4 | 11.2 |
| 850C24h | 76.2 | 69.6 | 75.2 | 80.5 | −9.9 | 11.9 |
| Phase | Ti (at.%) | Ni (at.%) | Cu (at.%) |
|---|---|---|---|
| A | 50.6 (s.d. 0.2) | 27.8 (s.d. 0.9) | 21.6 (s.d. 0.7) |
| B | 66.8 (s.d. 0.5) | 22.3 (s.d. 1.3) | 10.9 (s.d. 1.4) |
| C | 51.9 (s.d. 1.3) | 23.5 (s.d. 1) | 24.5 (s.d. 1.4) |
| D | 66.7 (s.d. 0.3) | 9.7 (s.d. 0.9) | 23.6 (s.d. 1.2) |
| Structure | Crystal Type | a (Å) | b (Å) | c (Å) | α (°) | β (°) | γ (°) | Ref. |
|---|---|---|---|---|---|---|---|---|
| B2 | Cubic (primitive) | 3.015 | 3.015 | 3.015 | 90 | 90 | 90 | [34] |
| B19 | Orthorhombic (primitive) | 2.880 | 4.280 | 4.520 | 90 | 90 | 90 | [7] |
| NiTi2 | Cubic (face-centered) | 11.319 | 11.319 | 11.319 | 90 | 90 | 90 | [35] |
Publisher’s Note: MDPI stays neutral with regard to jurisdictional claims in published maps and institutional affiliations. |
© 2021 by the authors. Licensee MDPI, Basel, Switzerland. This article is an open access article distributed under the terms and conditions of the Creative Commons Attribution (CC BY) license (https://creativecommons.org/licenses/by/4.0/).
Share and Cite
Villa, F.; Nespoli, A.; Passaretti, F.; Villa, E. Microstructural and Thermo-Mechanical Characterization of Cast NiTiCu20 Shape Memory Alloy. Materials 2021, 14, 3770. https://doi.org/10.3390/ma14143770
Villa F, Nespoli A, Passaretti F, Villa E. Microstructural and Thermo-Mechanical Characterization of Cast NiTiCu20 Shape Memory Alloy. Materials. 2021; 14(14):3770. https://doi.org/10.3390/ma14143770
Chicago/Turabian StyleVilla, Francesca, Adelaide Nespoli, Francesca Passaretti, and Elena Villa. 2021. "Microstructural and Thermo-Mechanical Characterization of Cast NiTiCu20 Shape Memory Alloy" Materials 14, no. 14: 3770. https://doi.org/10.3390/ma14143770
APA StyleVilla, F., Nespoli, A., Passaretti, F., & Villa, E. (2021). Microstructural and Thermo-Mechanical Characterization of Cast NiTiCu20 Shape Memory Alloy. Materials, 14(14), 3770. https://doi.org/10.3390/ma14143770

