Thermoelectric Properties of Cu2Se Synthesized by Hydrothermal Method and Densified by SPS Technique
Abstract
:1. Introduction
2. Materials and Methods
3. Results and Discussion
3.1. Structural and Microstructural Analysis
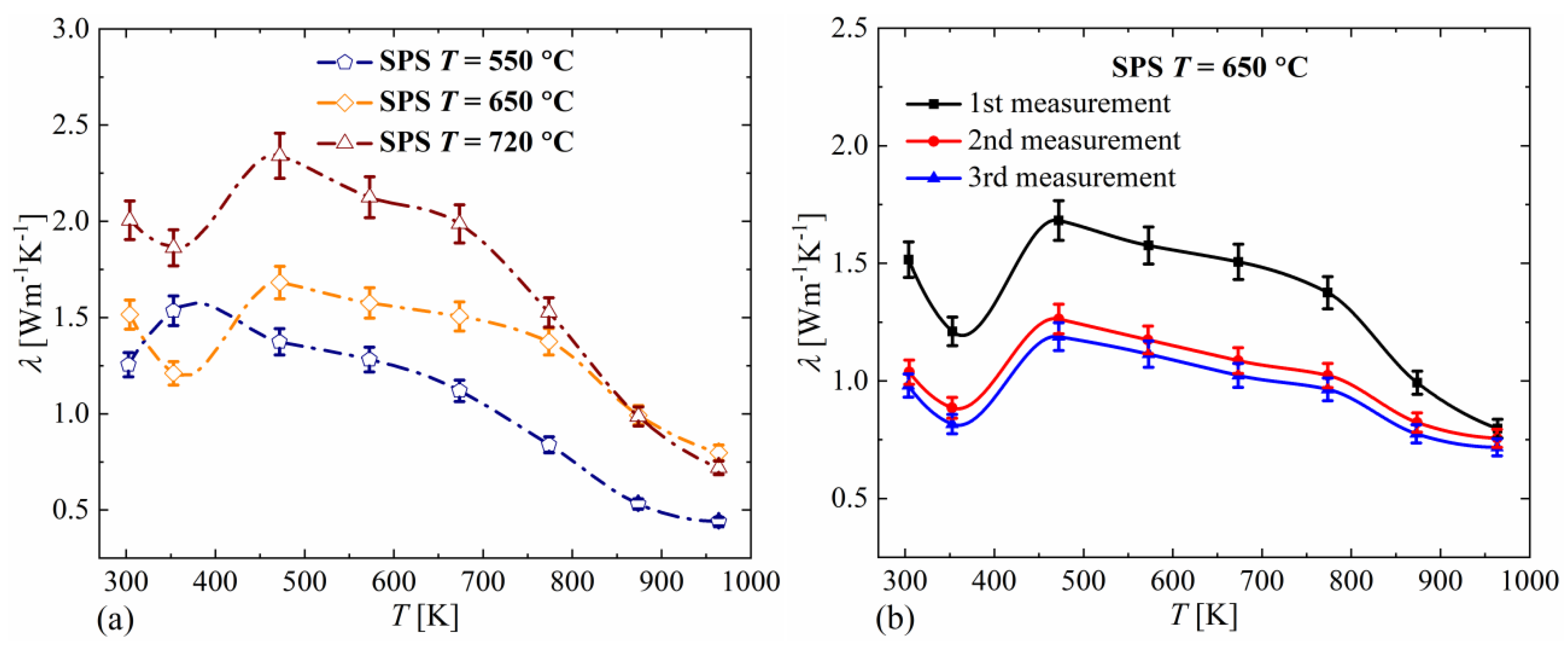
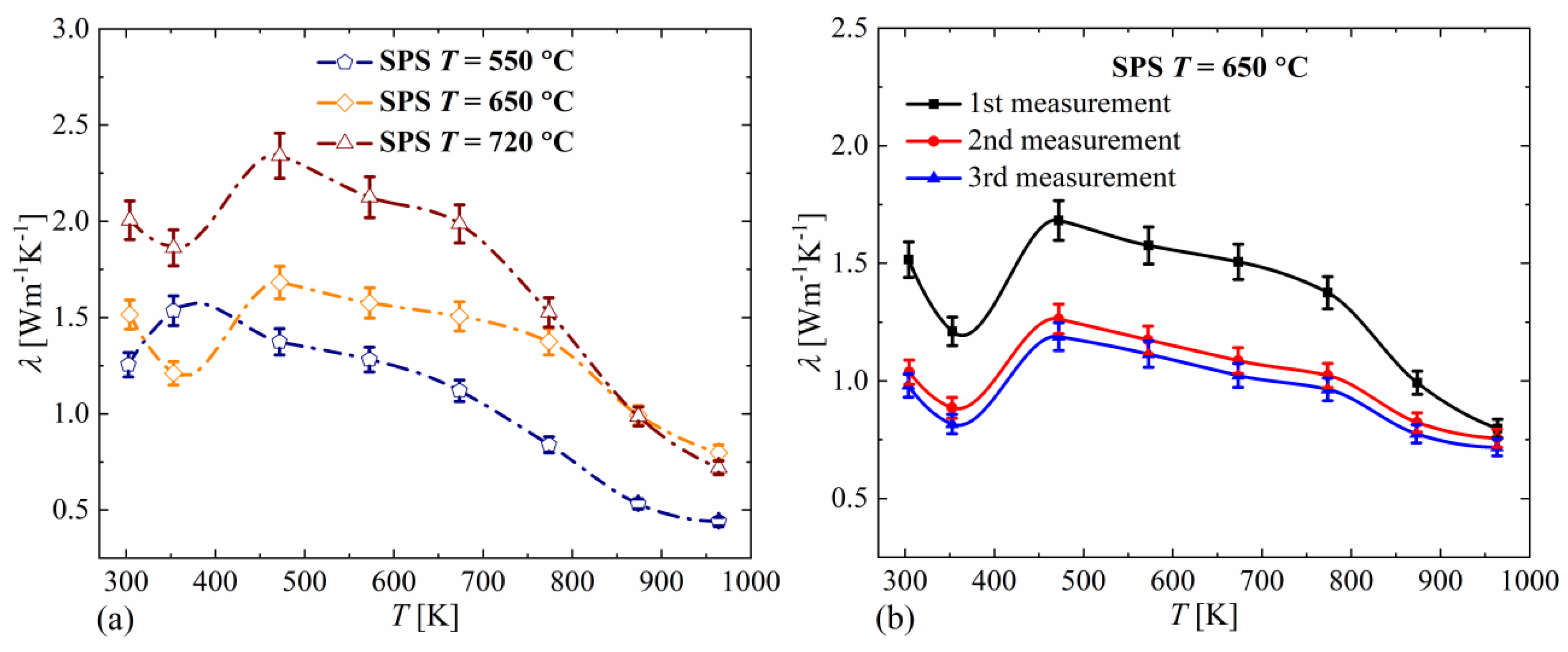
3.2. Thermoelectric Transport Properties
4. Conclusions
Author Contributions
Funding
Institutional Review Board Statement
Informed Consent Statement
Data Availability Statement
Conflicts of Interest
References
- Liu, W.-D.; Yang, L.; Chen, Z.-G.; Zou, J. Promising and eco-friendly Cu2X-based thermoelectric materials: Progress and applications. Adv. Mater. 2020, 32, 1905703. [Google Scholar] [CrossRef]
- Qin, Y.; Yang, L.; Wei, J.; Yang, S.; Zhang, M.; Wang, X.; Yang, F. Doping Effect on Cu2Se Thermoelectric Performance: A Review. Materials 2020, 13, 5704. [Google Scholar] [CrossRef]
- Zhao, K.; Qiu, P.; Shi, X.; Chen, L. Recent Advances in Liquid-Like Thermoelectric Materials. Adv. Funct. Mater. 2020, 30, 1903867. [Google Scholar] [CrossRef]
- Qiu, P.; Shi, X.; Chen, L. Cu-based thermoelectric materials. Energy Storage Mater. 2016, 3, 85–97. [Google Scholar] [CrossRef]
- Lei, J.; Ma, Z.; Zhang, D.; Chen, Y.; Wang, C.; Yang, X.; Cheng, Z.; Wang, Y. High thermoelectric performance in Cu2Se superionic conductor with enhanced liquid-like behaviour by dispersing SiC. J. Mater. Chem. A 2019, 7, 7006–7014. [Google Scholar] [CrossRef]
- Hu, Q.; Zhang, Y.; Zhang, Y.; Li, X.-J.; Song, H. High thermoelectric performance in Cu2Se/CDs hybrid materials. J. Alloys Compd. 2020, 813, 152204. [Google Scholar] [CrossRef]
- Olvera, A.A.; Moroz, N.A.; Sahoo, P.; Ren, P.; Bailey, T.P.; Page, A.A.; Uher, C.; Poudeu, P.F.P. Partial indium solubility induces chemical stability and colossal thermoelectric figure of merit in Cu2Se. Energy Environ. Sci. 2017, 10, 1668–1676. [Google Scholar] [CrossRef]
- Hu, Q.; Zhu, Z.; Zhang, Y.; Li, X.-J.; Song, H.; Zhang, Y. Remarkably high thermoelectric performance of Cu2-xLixSe bulks with nanopores. J. Mater. Chem. A 2018, 6, 23417. [Google Scholar] [CrossRef]
- Zhong, B.; Zhang, Y.; Li, W.; Chen, Z.; Cui, J.; Li, W.; Xie, Y.; Hao, Q.; He, Q. High superionic conduction arising from aligned large lamellae and large figure of merit in bulk Cu1.94Al0.02Se. Appl. Phys. Lett. 2014, 105, 123902. [Google Scholar] [CrossRef]
- Liu, H.; Shi, X.; Xu, F.; Zhang, L.; Zhang, W.; Chen, L.; Li, Q.; Uher, C.; Day, T.; Snyder, J. Copper ion liquid-like thermoelectrics. Nat. Mater. 2012, 11, 422–425. [Google Scholar] [CrossRef]
- Nieroda, P.; Leszczyński, J.; Mikuła, A.; Mars, K.; Kruszewski, M.J.; Koleżyński, A. Thermoelectric properties of Cu2S obtained by high temperature synthesis and sintered by IHP method. Ceram. Int. 2020, 46, 25460–25466. [Google Scholar] [CrossRef]
- Rowe, D.M. CRC Handbook of Thermoelectrics; CRC Press LLC: New York, NY, USA, 1995. [Google Scholar]
- Danilkin, S.A.; Avdeev, M.; Sale, M.; Sakuma, T. Neutron scattering study of ionic diffusion in Cu–Se superionic compounds. Solid State Ion. 2012, 225, 190–193. [Google Scholar] [CrossRef]
- Brown, D.R.; Day, T.; Caillat, T.; Snyder, G.J. Chemical Stability of (Ag,Cu)2Se: A Historical Overview. J. Electron. Mater. 2013, 42, 2014–2019. [Google Scholar] [CrossRef]
- Qiu, P.; Agne, M.T.; Liu, Y.; Zhu, Y.; Chen, H.; Mao, T.; Yang, J.; Zhang, W.; Haile, S.M.; Zeier, W.G.; et al. Suppression of atom motion and metal deposition in mixed ionic electronic conductors. Nat. Commun. 2018, 9, 2910. [Google Scholar] [CrossRef]
- Yang, D.; Bai, H.; Su, X.; Li, Z.; Luo, T.; Li, J.; Tang, H.; Luo, H.; Zhang, Q.; Uher, C.; et al. Atomic mechanism of ionic confinement in the thermoelectric Cu2Se based on a low-cost electric-current method. Cell Rep. Phys. Sci. 2021, 2, 100345. [Google Scholar] [CrossRef]
- Tang, H.; Sun, F.-H.; Dong, J.-F.; Asfandiyar, Z.H.-L.; Pan, Y.; Li, J.-F. Graphene network in copper sulfide leading to enhanced thermoelectric properties and thermal stability. Nano Energy 2018, 49, 267–273. [Google Scholar] [CrossRef]
- Yang, D.; Su, X.; Li, J.; Bai, H.; Wang, S.; Li, Z.; Tang, H.; Tang, K.; Luo, T.; Yan, Y.; et al. Blocking Ion Migration Stabilizes the High Thermoelectric Performance in Cu2Se Composites. Adv. Mater. 2020, 32, 2003730. [Google Scholar] [CrossRef]
- Xing-Xing, X.; Wen-Jie, X.; Xin-Feng, T.; Qing-Jie, Z. Phase transition and high temperature thermoelectric properties of copper selenide Cu2−xSe (0 ≤ x ≤ 0.25). Chin. Phys. B 2011, 20, 087201. [Google Scholar] [CrossRef]
- Shi, D.; Geng, Z.; Lam, K.H. Study of Conventional Sintered Cu2Se Thermoelectric Material. Energies 2019, 12, 401. [Google Scholar] [CrossRef] [Green Version]
- Yu, B.; Liu, W.; Chen, S.; Wang, H.; Wang, H.; Chen, G.; Ren, Z. Thermoelectric properties of copper selenide with ordered selenium layer and disordered copper layer. Nano Energy 2012, 1, 472–478. [Google Scholar] [CrossRef]
- Ivanov, A.A.; Osvenskii, V.B.; Sorokin, A.I.; Panchenko, V.P.; Bulat, L.P.; Akchurina, R.K. Obtaining Material Based on Copper Selenide by the Methods of Powder Metallurgy. Russ. Microelectron. 2017, 46, 545–550. [Google Scholar] [CrossRef]
- Butt, S.; Xu, W.; Farooq, M.U.; Ren, G.K.; Zhang, Q.; Zhu, Y.; Khan, S.U.; Liu, L.; Yu, M.; Mohmed, F.; et al. Enhanced thermoelectricity in High-temperature β-phase Copper (I) Selenides embedded with Cu2Te nanoclusters. ACS Appl. Mater. Interfaces 2016, 8, 15196–15204. [Google Scholar] [CrossRef]
- Butt, S.; Farooq, M.U.; Mahmood, W.; Salam, S.; Sultan, M.; Basit, M.A.; Ma, J.; Lin, Y.; Nan, C.-W. One-step rapid synthesis of Cu2Se with enhanced thermoelectric Properties. J. Alloys Compd. 2019, 786, 557–564. [Google Scholar] [CrossRef]
- Bohra, A.K.; Bhatt, R.; Singh, A.; Bhattacharya, S.; Basu, R.; Bhatt, P.; Navaneethan, M.; Sarkar, S.K.; Anwar, S.; Muthe, K.P.; et al. Stabilizing Thermoelectric Figure-of-Merit of Superionic Conductor Cu2Se through W Nanoinclusions. Phys. Status Solidi RRL 2020, 14, 2000102. [Google Scholar] [CrossRef]
- Gao, F.; Leng, S.L.; Zhu, Z.; Li, X.J.; Hu, X.; Song, H.Z. Preparation and Thermoelectric Properties of Cu2Se Hot-Pressed from Hydrothermal Synthesis Nanopowders. J. Electron. Mater. 2018, 47, 2454–2460. [Google Scholar] [CrossRef]







Publisher’s Note: MDPI stays neutral with regard to jurisdictional claims in published maps and institutional affiliations. |
© 2021 by the authors. Licensee MDPI, Basel, Switzerland. This article is an open access article distributed under the terms and conditions of the Creative Commons Attribution (CC BY) license (https://creativecommons.org/licenses/by/4.0/).
Share and Cite
Nieroda, P.; Kusior, A.; Leszczyński, J.; Rutkowski, P.; Koleżyński, A. Thermoelectric Properties of Cu2Se Synthesized by Hydrothermal Method and Densified by SPS Technique. Materials 2021, 14, 3650. https://doi.org/10.3390/ma14133650
Nieroda P, Kusior A, Leszczyński J, Rutkowski P, Koleżyński A. Thermoelectric Properties of Cu2Se Synthesized by Hydrothermal Method and Densified by SPS Technique. Materials. 2021; 14(13):3650. https://doi.org/10.3390/ma14133650
Chicago/Turabian StyleNieroda, Paweł, Anna Kusior, Juliusz Leszczyński, Paweł Rutkowski, and Andrzej Koleżyński. 2021. "Thermoelectric Properties of Cu2Se Synthesized by Hydrothermal Method and Densified by SPS Technique" Materials 14, no. 13: 3650. https://doi.org/10.3390/ma14133650
APA StyleNieroda, P., Kusior, A., Leszczyński, J., Rutkowski, P., & Koleżyński, A. (2021). Thermoelectric Properties of Cu2Se Synthesized by Hydrothermal Method and Densified by SPS Technique. Materials, 14(13), 3650. https://doi.org/10.3390/ma14133650

