Modified Carboxymethylcellulose-Based Scaffolds as New Potential Ecofriendly Superplasticizers with a Retardant Effect for Mortar: From the Synthesis to the Application
Abstract
:1. Introduction
2. Materials, Procedures and Methods
2.1. Materials, Laboratory Apparatus and Methods
2.2. Synthesis and Characterization of Starting Materials
2.2.1. Carboxymethylcellulose Modification—Overview
2.2.2. Acid Hydrolysis Procedures at Variable Temperatures and Reaction Times
2.2.3. Sulfo-Ethylation of the Hydrolyzed Substrates
2.3. Cementitious Paste Analysis
2.3.1. Initial and Final Setting Time Evaluation
2.3.2. Rheological Properties Investigations
2.3.3. Isothermal Calorimetric Studies of Early-Stage Hydration Processes
2.3.4. Investigations of the Composition of the Pore Solution Analysis
2.3.5. Adsorption Studies of CMC SPs on Cement Grains through UV-Vis-Spectrophotometry
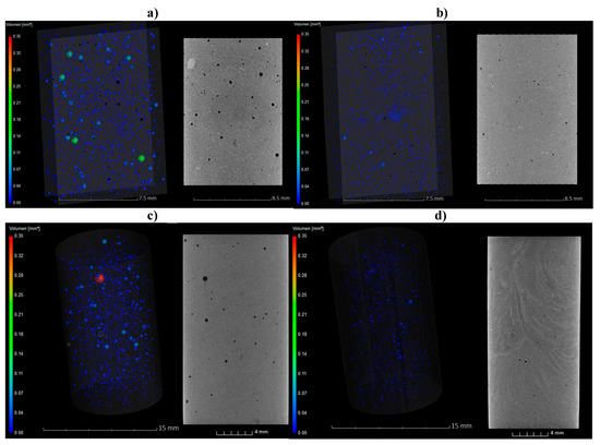
2.3.6. Computed Tomography Analysis
2.4. Mortar Investigations
2.4.1. Workability Investigations through Slump Test
2.4.2. Strengthening Behavior by Means of Ultrasonic Investigations
2.4.3. Estimation of the Mechanical Properties of the Hardened Mortar
3. Results
3.1. Chemical and Mineralogical Composition of CEM II/A-LL 42,5R
3.2. Studies of the Retardant Effect of Synthetised SPs on Cement with Setting Times Determination
3.3. Rheology Investigations
3.4. Calorimetry
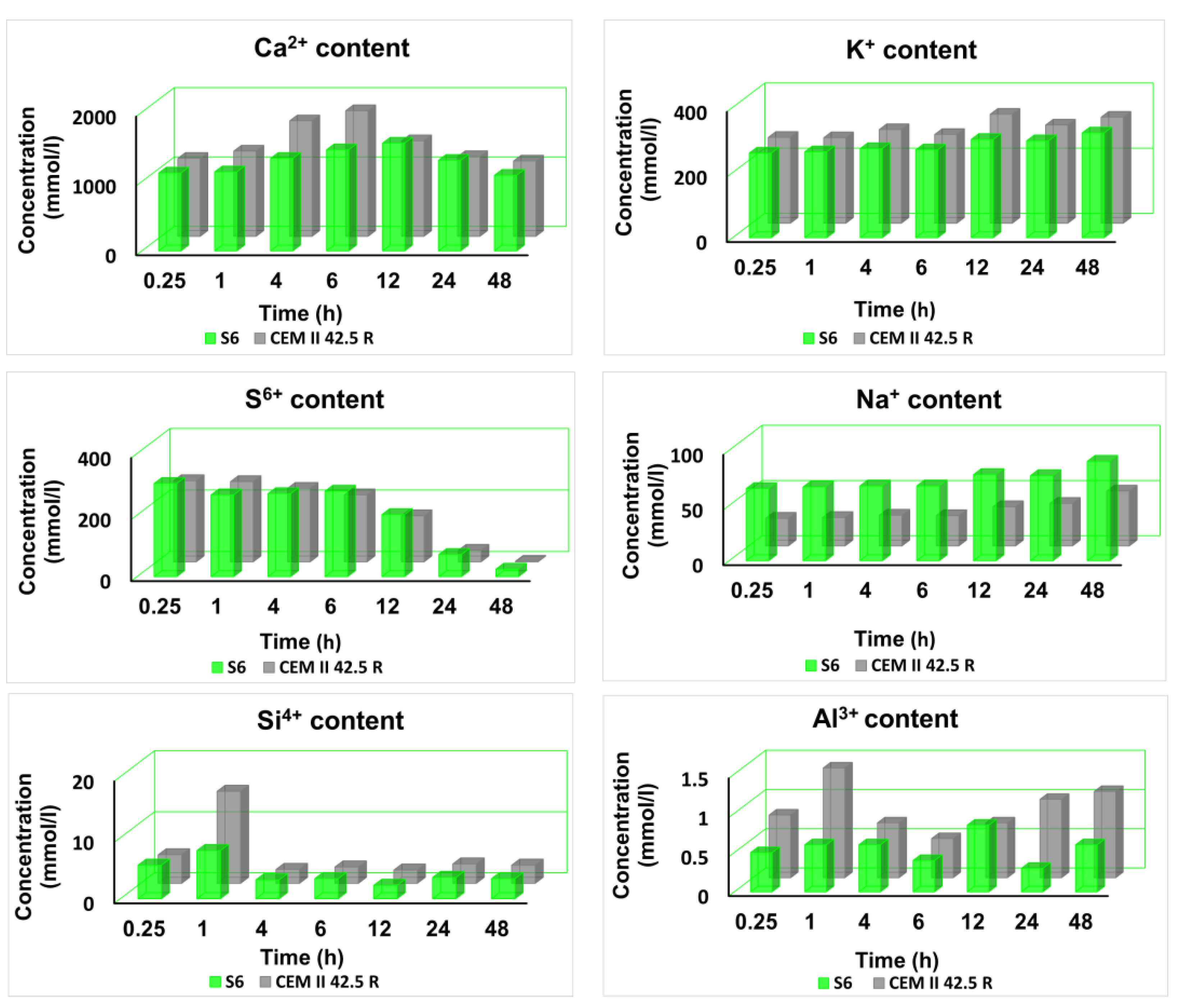
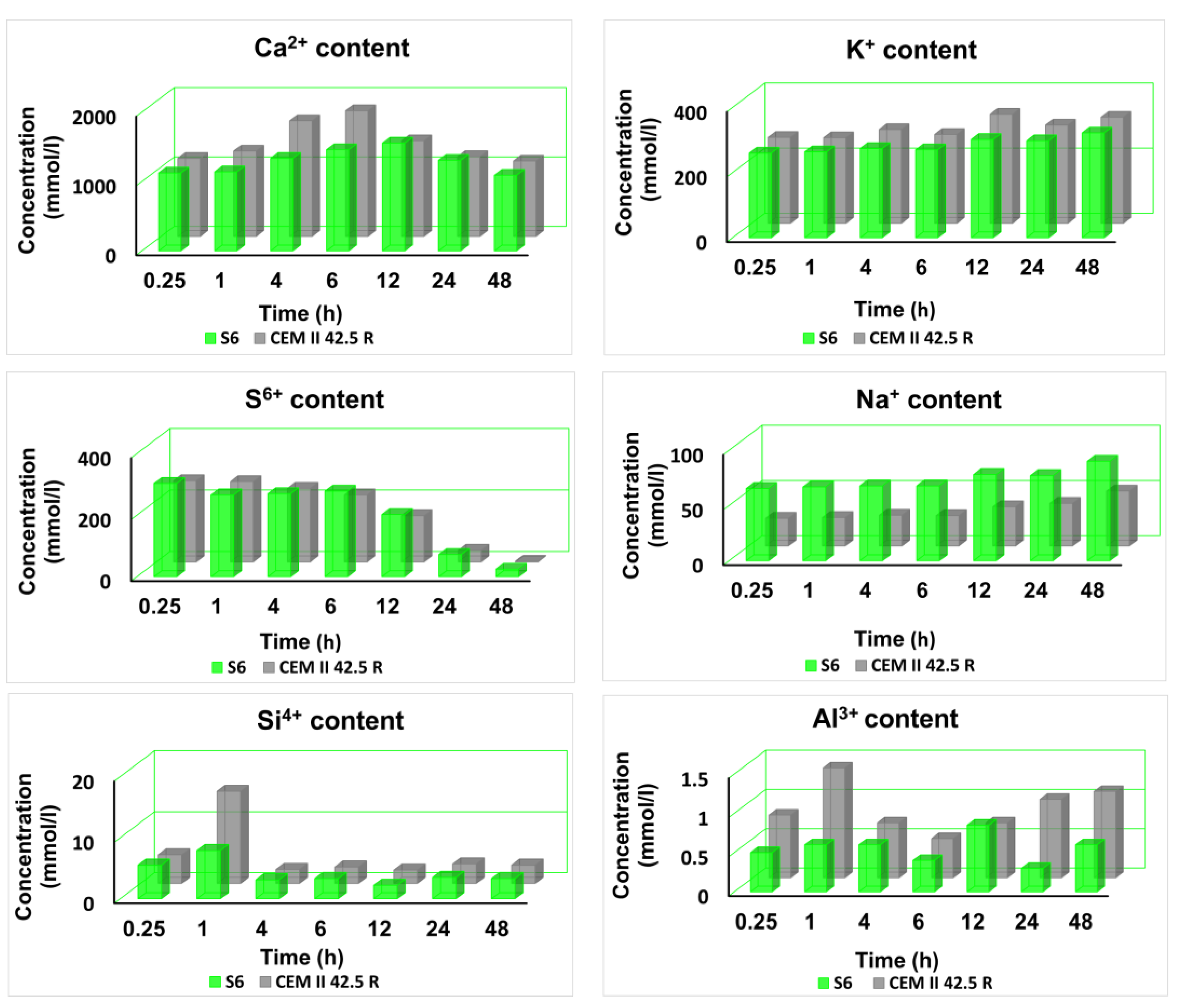
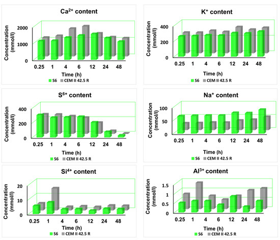
3.5. Composition of the Liquid Phase of the Pores Network
3.6. Adsorptive Behavior of Admixture on Cement Particles Surface
3.7. Porosity of Cement Pastes
3.8. Applicative Tests: Slump Tests
3.9. Strengthening Behavior by Means of Ultrasonic Investigations
3.10. Properties of the Hardened Mortar
4. Conclusions
Author Contributions
Funding
Institutional Review Board Statement
Informed Consent Statement
Data Availability Statement
Acknowledgments
Conflicts of Interest
References
- Alizadeh, A.S.; Mousavi, M.; Labbafi, M. Synthesis and Characterization of Carboxymethyl Cellulose from Sugarcane Bagasse. J. Food Process. Technol. 2017, 8, 1–6. [Google Scholar] [CrossRef]
- Qiu, X.; Hu, S. “Smart” Materials Based on Cellulose: A Review of the Preparations, Properties, and Applications. Materials 2013, 6, 738–781. [Google Scholar] [CrossRef] [PubMed] [Green Version]
- Biswal, D.R.; Singh, R.P. Characterisation of Carboxymethyl Cellulose and Polyacrylamide Graft Copolymer. Carbohydr. Polym. 2004, 57, 379–387. [Google Scholar] [CrossRef]
- Marliere, C.; Mabrouk, E.; Lamblet, M.; Coussot, P. How water retention in porous media with cellulose ethers works. Cem. Concr. Res. 2012, 42, 1501–1512. [Google Scholar] [CrossRef]
- Patural, L.; Porion, P.; Van Damme, H.; Govin, A.; Grosseau, P.; Ruot, B.; Devès, O. A pulsed field gradient and NMR imaging investigations of the water retention mechanism by cellulose ethers in mortars. Cem. Concr. Res. 2010, 40, 1378–1385. [Google Scholar] [CrossRef] [Green Version]
- Pourchez, J.; Ruot, B.; Debayle, J.; Pourchez, E.; Grosseau, P. Some aspects of cellulose ethers influence on water transport and porous structure of cement-based materials. Cem. Concr. Res. 2010, 40, 242–252. [Google Scholar] [CrossRef] [Green Version]
- Bülichen, D.; Kainz, J.; Plank, J. Working mechanism of methyl hydroxyethyl cellulose (MHEC) as water retention agent. Cem. Concr. Res. 2012, 42, 953–959. [Google Scholar] [CrossRef]
- Nkinamubanzi, P.C.; Mantellato, S.; Flatt, R.J. Superplasticizers in practice. In Science and Technology of Concrete Admixtures; Woodhead Publishing: Sawston, UK, 2016; pp. 353–377. [Google Scholar] [CrossRef]
- Kurdowski, W. Cement and Concrete Chemistry; Springer: Dordrecht, The Netherlands, 2014. [Google Scholar] [CrossRef]
- Gupta, C.; Nadelman, E.; Washburn, N.R.; Kurtis, K.E. Lignopolymer Superplasticizers for Low-CO2 Cements. ACS Sustain. Chem. Eng. 2017, 5, 4041–4049. [Google Scholar] [CrossRef]
- Yousuf, M.; Mollah, A.; Palta, P.; Hess, T.R.; Vempati, R.K.; Cocke, D.L. Chemical and Physical Effects of Sodium Lignosulfonate Superplasticizer on the Hydration of Portland Cement and Solidification/Stabilization Consequences. Cem.Concr. Res. 1995, 25, 671–682. [Google Scholar] [CrossRef]
- Łaźniewska-Piekarczyk, B. The methodology for assessing the impact of new generation superplasticizers on air content in self-compacting concrete. Constr. Build. Mater. 2014, 53, 488–502. [Google Scholar] [CrossRef]
- Märkl, V.; Pflugmacher, S.; Stephan, D.A. Leaching of PCE-based Superplasticiser from Microfine Cement: A Chemical and Ecotoxicological Point of View. Water Air Soil Pollut. 2017, 6, 217–228. [Google Scholar] [CrossRef]
- Galli, R.; Kiayias, G. Environmental Impact of Superplasticizers. RBM 2014, 2, 427–448. [Google Scholar] [CrossRef]
- Ruckstuhl, S.; Suter, M.J.F.; Kohler, H.P.E.; Giger, W. Leaching and Primary Biodegradation of Sulfonated Naphthalenes and Their Formaldehyde Condensates from Concrete Superplasticizers in Groundwater Affected by Tunnel Construction. Environ. Sci. Technol. 2002, 36, 3284–3289. [Google Scholar] [CrossRef] [PubMed]
- Knaus, S.; Bauer-Heim, B. Synthesis and properties of anionic cellulose ethers: Influence of functional groups and molecular weight on flowability of concrete. Carbohydr. Polym. 2003, 53, 383–394. [Google Scholar] [CrossRef]
- Partschefeld, S.; Osburg, A. Synthesis of dispersing agents from starch–Influence on rheological properties and early age hydration of OPC. Constr. Build. Mater. 2020, 240, 17913. [Google Scholar] [CrossRef]
- Lv, S.; Gao, R.; Cao, Q.; Li, D.; Duan, J. Preparation and characterization of poly-carboxymethyl-β-cyclodextrin superplasticizer. Cem. Concr. Res. 2012, 42, 1356–1361. [Google Scholar] [CrossRef]
- Pourchez, J.; Peschard, A.; Grosseau, P.; Guilhot, B.; Guyonnet, R.; Vallee, F. HPMC and HEMC influence on cement hydration. Cem. Concr. Res. 2006, 36, 288–294. [Google Scholar] [CrossRef] [Green Version]
- Pourchez, J.; Grosseau, P.; Ruot, B. Current understanding of cellulose ethers impact on the hydration of C3A and C3A-sulphate systems. Cem. Concr. Res. 2009, 39, 664–669. [Google Scholar] [CrossRef] [Green Version]
- Lasheras-Zubiate, M.; Navarro-Blasco, I.; Fernández, J.M.; Álvarez, J.I. Effect of the addition of chitosan ethers on the fresh state properties of cement mortars. Cement Concrete Comp. 2012, 34, 964–973. [Google Scholar] [CrossRef] [Green Version]
- Andersen, P.J.; Roy, D.M.; Gaidis, J.M. The effect of Superplasticizer molecular weight on its adsorption on and dispersion of cement. Cem. Concr. Res. 1988, 18, 980–986. [Google Scholar] [CrossRef]
- Abousnina, R.; Manalo, A.; Ferdous, W.; Lokuge, W.; Benabed, B.; Saif Al-Jabri, K. Characteristics, Strength Development and Microstructure of Cement Mortar Containing Oil-Contaminated Sand. Constr. Build. Mater. 2020, 252, 119155. [Google Scholar] [CrossRef]
- Khotbehsara, M.M.; Manalo, A.; Aravinthan, T.; Ferdous, W.; Nguyen, K.T.Q.; Hota, G. Ageing of Particulate-Filled Epoxy Resin under Hygrothermal Conditions. Constr. Build. Mater. 2020, 249, 118846. [Google Scholar] [CrossRef]
- Fox, J.D.; Robyt, J.F. Modification of starch granules by hydrolysis with hydrochloric acid in various alcohols, and the formation of new kinds of limit dextrins. Carbohydr. Res. 1992, 227, 163–170. [Google Scholar] [CrossRef]
- Ramachandran, V.S.; Lowery, M.S. Conduction calorimetric investigation of the effect of retarders on the hydration of Portland cement. Thermochim Acta. 1992, 195, 373–387. [Google Scholar] [CrossRef]
- Sauvat, N.; Sell, R.; Mougel, E.; Zoulalian, A. A study of Ordinary Portland Cement hydration with wood by isothermal calorimetry. Holzforschung 1999, 53, 104–108. [Google Scholar] [CrossRef]
- Cuesta, G.; Suarez, N.; Bessio, M.I. Quantitative determination of pneumococcal capsular polysaccharide serotype 14 using a modification of phenol-sulfuric acid method. J. Microbiol. Methods 2003, 52, 69–73. [Google Scholar] [CrossRef]
- Lachemi, M.; Hossain, K.M.A.; Lambros, V.; Nkinamubanzi, P.C.; Bouzoubaâ, N. Performance of new viscosity modifying admixtures in enhancing the rheological properties of cement paste. Cem. Concr. Res. 2004, 34, 185–193. [Google Scholar] [CrossRef]
- Papo, A.; Piani, L. Effect of various superplasticizers on the rheological properties of Portland cement pastes. Cem. Concr. Res. 2004, 34, 2097–2101. [Google Scholar] [CrossRef]
- Lapasin, R.; Longo, V.; Rajgelj, S. Thixotropic behaviour of cement pastes. Cem. Concr. Res. 1979, 9, 309–318. [Google Scholar] [CrossRef]
- Taylor, H.F.W. Cement Chemistry, 2nd ed.; T. Telford: London, UK, 1997. [Google Scholar]
- Zhang, Y.R.; Kong, X.M.; Lu, Z.B.; Lu, Z.C.; Hou, S.S. Effects of the Charge Characteristics of Polycarboxylate Superplasticizers on the Adsorption and the Retardation in Cement Pastes. Cem. Concr. Res. 2015, 67, 184–196. [Google Scholar] [CrossRef]
- Zhou, Q.; Glasser, F.P. Kinetics and Mechanism of the Carbonation of Ettringite. Adv. Cem. Res. 2000, 12, 131–136. [Google Scholar] [CrossRef]
- Brown, P.W.; Bothe, J.V. The Stability of Ettringite. Adv. Cem. Res. 1993, 5, 47–63. [Google Scholar] [CrossRef]
- Moragues, A.; Macias, A.; Andrade, C. Equilibria of the chemical composition of the concrete pore solution. Part I: Comparative study of synthetic and extracted solutions. Cem. Concr. Res. 1987, 17, 173–182. [Google Scholar] [CrossRef]
- Andersson, K.; Allard, B.; Bengtsson, M.; Magnusson, B. Chemical composition of cement pore solutions. Cem. Concr. Res. 1989, 19, 327–332. [Google Scholar] [CrossRef]
- Plusquellec, G.; Geiker, M.R.; Lindgård, J.; Duchesne, J.; Fournier, B.; De Weerdt, K. Determination of the pH and the free alkali metal content in the pore solution of concrete: Review and experimental comparison. Cem. Concr. Res. 2017, 96, 13–26. [Google Scholar] [CrossRef]
- Dong, H.; Gao, P.; Ye, G. Characterization and Comparison of Capillary Pore Structures of Digital Cement Pastes. Mater. Struct. 2017, 50, 154. [Google Scholar] [CrossRef] [Green Version]











| Specimens | Temperature of Hydrolysis (°C) | Time of Hydrolysis (h) | Time of Sulfo-Ethylation at 70 °C (h) |
|---|---|---|---|
| S1 | RT * | 24 | 24 |
| S2 | RT * | 24 | 48 |
| S3 | 70 | 24 | 24 |
| S4 | 70 | 48 | 24 |
| S5 | 70 | 48 | 48 |
| S6 | 70 | 72 | 72 |
| S7 | 70 | 72 | 72 |
| Chemical Composition of CEM II/A-LL 42.5R (% wt) | |||
|---|---|---|---|
| SiO2 | 18.4 | K2O | 1.1 |
| Al2O3 | 5.4 | Na2O | 0.2 |
| Fe2O3 | 2.8 | SO3 | 3.3 |
| CaO | 62.0 | Other Oxides | 1.0 |
| MgO | 1.4 | Annealing Loss * | 5.2 |
| TiO2 | 0.19 | Drying Loss ** | 0.2 |
| MnO | 0.03 | - | - |
| Mineral Phase | (% wt) |
|---|---|
| C3S | 55 ± 1.4 |
| C2S | 8.6 ± 1.1 |
| C3A | 6.8 ± 1.2 |
| C4AF | 8.3 ± 1.0 |
| Calcite | 10.5 ± 0.8 |
| Arcanite | 2.3 ± 0.6 |
| Gypsum | 2.0 ± 0.7 |
| Bassanite | 1.5 ± 0.8 |
| Anhydrite | 3.0 ± 0.6 |
| Portlandite | 0.7 ± 0.5 |
| Specimens | Porosity after 7 Days (%) | Porosity after 28 Days (%) |
|---|---|---|
| CEM II 42.5 R | 46 | 33 |
| S5 | 25 | 6 |
| S6 | 38 | 12 |
| S7 | 28 | 9 |
Publisher’s Note: MDPI stays neutral with regard to jurisdictional claims in published maps and institutional affiliations. |
© 2021 by the authors. Licensee MDPI, Basel, Switzerland. This article is an open access article distributed under the terms and conditions of the Creative Commons Attribution (CC BY) license (https://creativecommons.org/licenses/by/4.0/).
Share and Cite
Capacchione, C.; Partschefeld, S.; Osburg, A.; Gliubizzi, R.; Gaeta, C. Modified Carboxymethylcellulose-Based Scaffolds as New Potential Ecofriendly Superplasticizers with a Retardant Effect for Mortar: From the Synthesis to the Application. Materials 2021, 14, 3569. https://doi.org/10.3390/ma14133569
Capacchione C, Partschefeld S, Osburg A, Gliubizzi R, Gaeta C. Modified Carboxymethylcellulose-Based Scaffolds as New Potential Ecofriendly Superplasticizers with a Retardant Effect for Mortar: From the Synthesis to the Application. Materials. 2021; 14(13):3569. https://doi.org/10.3390/ma14133569
Chicago/Turabian StyleCapacchione, Clotilde, Stephan Partschefeld, Andrea Osburg, Rocco Gliubizzi, and Carmine Gaeta. 2021. "Modified Carboxymethylcellulose-Based Scaffolds as New Potential Ecofriendly Superplasticizers with a Retardant Effect for Mortar: From the Synthesis to the Application" Materials 14, no. 13: 3569. https://doi.org/10.3390/ma14133569
APA StyleCapacchione, C., Partschefeld, S., Osburg, A., Gliubizzi, R., & Gaeta, C. (2021). Modified Carboxymethylcellulose-Based Scaffolds as New Potential Ecofriendly Superplasticizers with a Retardant Effect for Mortar: From the Synthesis to the Application. Materials, 14(13), 3569. https://doi.org/10.3390/ma14133569

