Thermal-Fluid-Solid Coupling Analysis on the Temperature and Thermal Stress Field of a Nickel-Base Superalloy Turbine Blade
Abstract
1. Introduction
2. Geometric Models and Numerical Methods
2.1. Geometric Models
2.2. Thermal-Fluid-Solid Coupling Numerical Method
2.3. Boundary Conditions
3. Results and Discussion
3.1. Flow and Heat Transfer Analysis
3.2. Thermal Stress Analysis
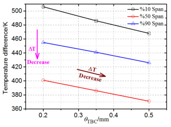
3.3. Effect of Coating Thickness on Blade Temperature and Thermal Stress
4. Conclusions
Author Contributions
Funding
Institutional Review Board Statement
Informed Consent Statement
Data Availability Statement
Acknowledgments
Conflicts of Interest
Nomenclature
| Cpgas | specific heat capacity of gas [J/kg·K] |
| Cpa | specific heat capacity of alloy [J/kg·K] |
| Cte | thermal expansion coefficient of alloy [K−1] |
| E | Young’s modulus of alloy [GPa] |
| Ma | Mach number of gas flow [-] |
| T | temperature of fluid [K] |
| Ta | temperature of alloy [K] |
| Tin | temperature at the inlet of main gas flow domain [K] |
| Pin | pressure at the inlet of main gas flow domai [kPa] |
| Greek Symbols | |
| Μ | Poisson ratio of alloy [-] |
| Λ | heat transfer coefficient of gas flow |
| λa | thermal conductivity of alloy [W/m·K] |
| ρ | density of gas flow [kg·m−3] |
| ρa | density of alloy [kg·m−3] |
| θTBC | thickness of TBC [μm] |
| ΔT | temperature difference [K] |
| Abbreviations | |
| LE | leading edge |
| TE | trailing edge |
| CFD | computational fluid dynamics |
| CHT | conjugate heat transfer |
| FEM | finite element method |
| SST | shear stress transport |
| TBC | thermal barrier coating |
| TG | temperature gradient |
| TR | temperature range |
| UHTC | ultra-high temperature ceramic |
References
- Vasilyev, B. Stress–Strain State Prediction of High-Temperature Turbine Single Crystal Blades Using Developed Plasticity and Creep Models. In Proceedings of the ASME Turbo Expo 2014: Turbine Technical Conference and Exposition, Düsseldorf, Germany, 16–20 June 2014. Paper No. V07AT29A005. [Google Scholar]
- Salehnasab, B.; Poursaeidi, E.; Mortazavi, S.A.; Farokhian, G.H. Hot Corrosion Failure in the First Stage Nozzle of a Gas Turbine Engine. Eng. Fail. Anal. 2016, 60, 316–325. [Google Scholar] [CrossRef]
- Ogiriki, E.A.; Li, Y.G.; Nikolaidis, T.; Isaiah, T.E.; Sule, G. Effect of Fouling, Thermal Barrier Coating Degradation and Film Cooling Holes Blockage on Gas Turbine Engine Creep Life. Procedia CIRP 2015, 38, 228–233. [Google Scholar] [CrossRef]
- Huda, Z. Metallurgical Failure Analysis for a Blade Failed in a Gas-Turbine Engine of a Power Plant. Mater. Des. 2009, 30, 3121–3125. [Google Scholar] [CrossRef]
- Wang, X.M.; Hui, Y.Z.; Hou, Y.Y.; Yu, Z.Y.; Li, L.; Yue, Z.F.; Deng, C.H. Direct Investigation on High Temperature Tensile and Creep Behavior at Different Regions of Directional Solidified Cast Turbine Blades. Mech. Mater. 2019, 136, 103068. [Google Scholar] [CrossRef]
- Rani, S.; Agrawal, A.K.; Rastogi, V. Failure Analysis of a First Stage IN738 Gas Turbine Blade Tip Cracking in a Thermal Power Plant. Case Stud. Eng. Fail. Anal. 2017, 8, 1–10. [Google Scholar] [CrossRef]
- Chung, H.; Sohn, H.; Park, J.S.; Kim, K.M.; Cho, H.H. Thermo-Structural Analysis of Cracks on Gas Turbine Vane Segment Having Multiple Airfoils. Energy 2017, 118, 1275–1285. [Google Scholar] [CrossRef]
- Qu, S.; Fu, C.M.; Dong, C.; Tian, J.F.; Zhang, Z.F. Failure Analysis of the 1St Stage Blades in Gas Turbine Engine. Eng. Fail. Anal. 2013, 32, 292–303. [Google Scholar] [CrossRef]
- Kargarnejad, S.; Djavanroodi, F. Failure Assessment of Nimonic 80A Gas Turbine Blade. Eng. Fail. Anal. 2012, 26, 211–219. [Google Scholar] [CrossRef]
- Nekahi, S.; Vaferi, K.; Vajdi, M.; Sadegh Moghanlou, F.; Shahedi Asl, M.; Shokouhimehr, M. A Numerical Approach to the Heat Transfer and Thermal Stress in a Gas Turbine Stator Blade Made of HfB2. Ceram. Int. 2019, 45, 24060–24069. [Google Scholar] [CrossRef]
- Vaferi, K.; Nekahi, S.; Vajdi, M.; Sadegh Moghanlou, F.; Shokouhimehr, M.; Motallebzadeh, A.; Sha, J.; Shahedi Asl, M. Heat Transfer, Thermal Stress and Failure Analyses in a TiB2 Gas Turbine Stator Blade. Ceram. Int. 2019, 45, 19331–19339. [Google Scholar] [CrossRef]
- Khalesi, J.; Modaresahmadi, S.; Atefi, G. SEM Gamma Prime Observation in a Thermal and Stress Analysis of a First-Stage Rene’ 80H Gas Turbine Blade: Numerical and Experimental Investigation. Iran. J. Sci. Technol. Trans. Mech. Eng. 2019, 43, 613–626. [Google Scholar] [CrossRef]
- Ziaei-Asl, A.; Ramezanlou, M.T. Thermo-Mechanical Behavior of Gas Turbine Blade Equipped with Cooling Ducts and Protective Coating with Different Thicknesses. Int. J. Mech. Sci. 2019, 150, 656–664. [Google Scholar] [CrossRef]
- Rezazadeh Reyhani, M.; Alizadeh, M.; Fathi, A.; Khaledi, H. Turbine Blade Temperature Calculation and Life Estimation—A Sensitivity Analysis. Propuls. Power Res. 2013, 2, 148–161. [Google Scholar] [CrossRef]
- Brandão, P.; Infante, V.; Deus, A.M. Thermo-Mechanical Modeling of a High Pressure Turbine Blade of an Airplane Gas Turbine Engine. Procedia Struct. Integr. 2016, 1, 189–196. [Google Scholar] [CrossRef]
- Sierra, F.Z.; Narzary, D.; Bolaina, C.; Han, J.C.; Kubiak, J.; Nebradt, J.S. Heat Transfer and Thermal Mechanical Stress Distributions in Gas Turbine Blades. In Proceedings of the ASME Turbo Expo 2009: Power for Land, Sea, and Air, Orlando, FL, USA, 8–12 June 2009; pp. 115–126. [Google Scholar]
- Bolaina, C.; Teloxa, J.; Varela, C.; Sierra, F.Z. Thermomechanical Stress Distributions in a Gas Turbine Blade Under the Effect of Cooling Flow Variations. J. Turbomach. Trans. ASME 2013, 135, 064501. [Google Scholar] [CrossRef]
- Kim, K.M.; Park, J.S.; Lee, D.H.; Lee, T.W.; Cho, H.H. Analysis of Conjugated Heat Transfer, Stress and Failure in a Gas Turbine Blade with Circular Cooling Passages. Eng. Fail. Anal. 2011, 18, 1212–1222. [Google Scholar] [CrossRef]
- Tong, F.; Gou, W.; Li, L.; Gao, W.; Feng Yue, Z. Thermomechanical Stress Analysis for Gas Turbine Blade with Cooling Structures. Multidiscip. Model. Mater. Struct. 2018, 14, 722–734. [Google Scholar] [CrossRef]
- Zhu, W.; Wang, J.W.; Yang, L.; Zhou, Y.C.; Wei, Y.G.; Wu, R.T. Modeling and Simulation of the Temperature and Stress Fields in a 3D Turbine Blade Coated with Thermal Barrier Coatings. Surf. Coat. Technol. 2017, 315, 443–453. [Google Scholar] [CrossRef]
- Yin, Y.Y.; Wang, H.G. Effect of non-uniform inlet temperature profiles on thermal stress in turbine blade. Energy Res. Inf. 2014, 30, 113–117. [Google Scholar]
- Wang, Z. Film Cooling Design and Multi-Field Coupling Analysis of Turbine Vanes; Graduate School of the Chinese Academy of Sciences: Beijing, China, 2012. [Google Scholar]
- Xiao, L.W. Strength and Life Analysis of Gas Turbine Blade Based on Fluid-Thermal-Mechanical Counling Method; University of Chinese Academy of Sciences: Beijing, China, 2018. [Google Scholar]
- Xie, Y.H.; Deng, S.; Zhang, D.; Feng, Z.P.; Qi, X.B.; Zhao, S.Q. Study on life prediction for HP turbine blade of heavy-duty gas turbine based on analysis of multi-factor coupling physical fields. Therm. Turbine 2011, 40, 151–158. [Google Scholar]
- Zhu, J.J.; Yang, Z.C. Analysis and life cycle prediction of marine gas turbine blades based on thermal-fluid-structure interaction. Chin. J. Ship Res. 2010, 5, 64–68. [Google Scholar]
- Menter, F.R. Review of the Shear-Stress Transport Turbulence Model Experience from an Industrial Perspective. Int. J. Comput. Fluid D 2009, 23, 305–316. [Google Scholar] [CrossRef]
- Ho, K.; Liu, J.; Elliott, T.; Aguilar, B. Conjugate Heat Transfer Analysis for Gas Turbine Film-Cooled Blade. In Proceedings of the ASME Turbo Expo 2016: Turbomachinery Technical Conference and Exposition, Seoul, Korea, 13–17 June 2016. [Google Scholar]
- Yu, F.L.; Shang, G.B.; Li, Y.Y.; Duan, J.Y.; Gao, S.; Nan, Q.; Xiao, J.F. Numerical investigation on compound cooling effect of the heavy-duty gas turbine first stage blade. Chin. Soc. Elec. Eng. 2016, 36, 1179–1186. [Google Scholar]


















| Parameters | Value | Units |
|---|---|---|
| Total temperature at inlet of main gas flow domain | Tin | K |
| Total pressure at inlet of main gas flow d domain | Pin | kPa |
| Molar mass of gas | 28.29 | kg/kmol |
| Specific heat capacity of gas | Cpgas | J/kg·K |
| Kinematical viscosity coefficient of gas | 1.831 × 10−5 | Kg/m·s |
| Thermal conductivity coefficients of gas | 2.61 × 10−2 | W/m·K |
| Mass flow at outlet of main gas flow domain | 6.8112 | kg/s |
| Mass flow at inlet of cooling airflow | 0.3075 | kg/s |
| Total temperature at inlet of cooling airflow | 622.3 | K |
| Number of first-stage blade | 92 | - |
| Rotation speed | 3000 | rpm |
| Ta K | λa W/m·K | Cpa J/kg·K | E GPa | μa - | Cte K−1 |
|---|---|---|---|---|---|
| 298.15 | 8.45 | 469 | 129.9 | 0.3 | - |
| 373.15 | 10 | 474 | 128 | 0.3 | 1.19 × 10−5 |
| 473.15 | 11.95 | 482 | 126 | 0.3 | 1.24 × 10−5 |
| 573.15 | 13.8 | 491 | 123 | 0.3 | 1.26 × 10−5 |
| 673.15 | 15.5 | 501 | 118 | 0.3 | 1.29 × 10−5 |
| 773.15 | 17.1 | 511 | 114 | 0.3 | 1.32 × 10−5 |
| 873.15 | 18.55 | 522 | 110 | 0.3 | 1.36 × 10−5 |
| 973.15 | 19.85 | 534 | 106 | 0.3 | 1.40 × 10−5 |
| 1073.15 | 21 | 547 | 101 | 0.3 | 1.45 × 10−5 |
| 1173.15 | 22 | 561 | 95 | 0.3 | 1.50 × 10−5 |
| 1273.15 | 22.8 | 575 | 86 | 0.3 | 1.56 × 10−5 |
| Locations | σtso/MPa | σtsi/MPa | TR/K | σs/MPa | σb/MPa |
|---|---|---|---|---|---|
| Location 1 | 545 MPa | 529 MPa | 873–1173 | 510–850 | 645–1020 |
| Location 2 | 533 MPa | 435 MPa | 973–1223 | 390–915 | 618–1185 |
| Location 3 | 658 MPa | 681 MPa | 923–1073 | 730–915 | 955–1255 |
Publisher’s Note: MDPI stays neutral with regard to jurisdictional claims in published maps and institutional affiliations. |
© 2021 by the authors. Licensee MDPI, Basel, Switzerland. This article is an open access article distributed under the terms and conditions of the Creative Commons Attribution (CC BY) license (https://creativecommons.org/licenses/by/4.0/).
Share and Cite
Cai, L.; He, Y.; Wang, S.; Li, Y.; Li, F. Thermal-Fluid-Solid Coupling Analysis on the Temperature and Thermal Stress Field of a Nickel-Base Superalloy Turbine Blade. Materials 2021, 14, 3315. https://doi.org/10.3390/ma14123315
Cai L, He Y, Wang S, Li Y, Li F. Thermal-Fluid-Solid Coupling Analysis on the Temperature and Thermal Stress Field of a Nickel-Base Superalloy Turbine Blade. Materials. 2021; 14(12):3315. https://doi.org/10.3390/ma14123315
Chicago/Turabian StyleCai, Liuxi, Yao He, Shunsen Wang, Yun Li, and Fang Li. 2021. "Thermal-Fluid-Solid Coupling Analysis on the Temperature and Thermal Stress Field of a Nickel-Base Superalloy Turbine Blade" Materials 14, no. 12: 3315. https://doi.org/10.3390/ma14123315
APA StyleCai, L., He, Y., Wang, S., Li, Y., & Li, F. (2021). Thermal-Fluid-Solid Coupling Analysis on the Temperature and Thermal Stress Field of a Nickel-Base Superalloy Turbine Blade. Materials, 14(12), 3315. https://doi.org/10.3390/ma14123315
