Effect of Powder Heat Treatment on Chemical Composition and Thermoelectric Properties of Bismuth Antimony Telluride Alloys Fabricated by Combining Water Atomization and Spark Plasma Sintering
Abstract
1. Introduction
2. Experimental Procedure
2.1. Sample Preparation
2.2. Characteristics of the Heat-Treated Thermoelectric Powder and Bulks
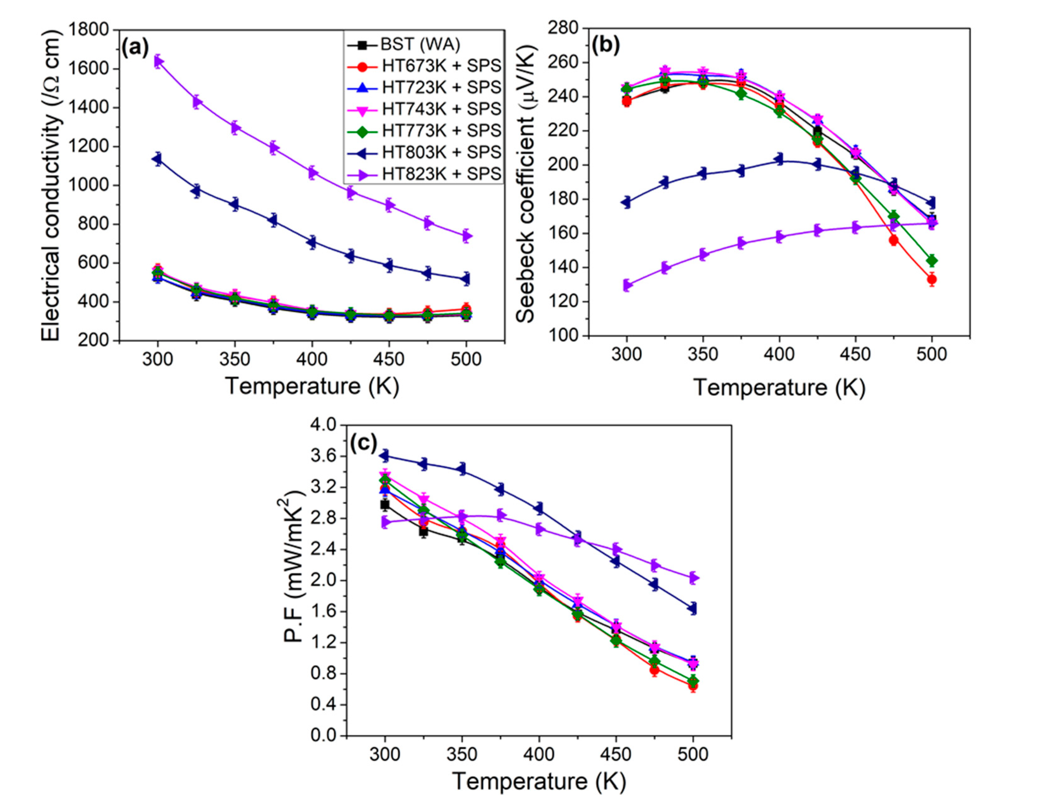
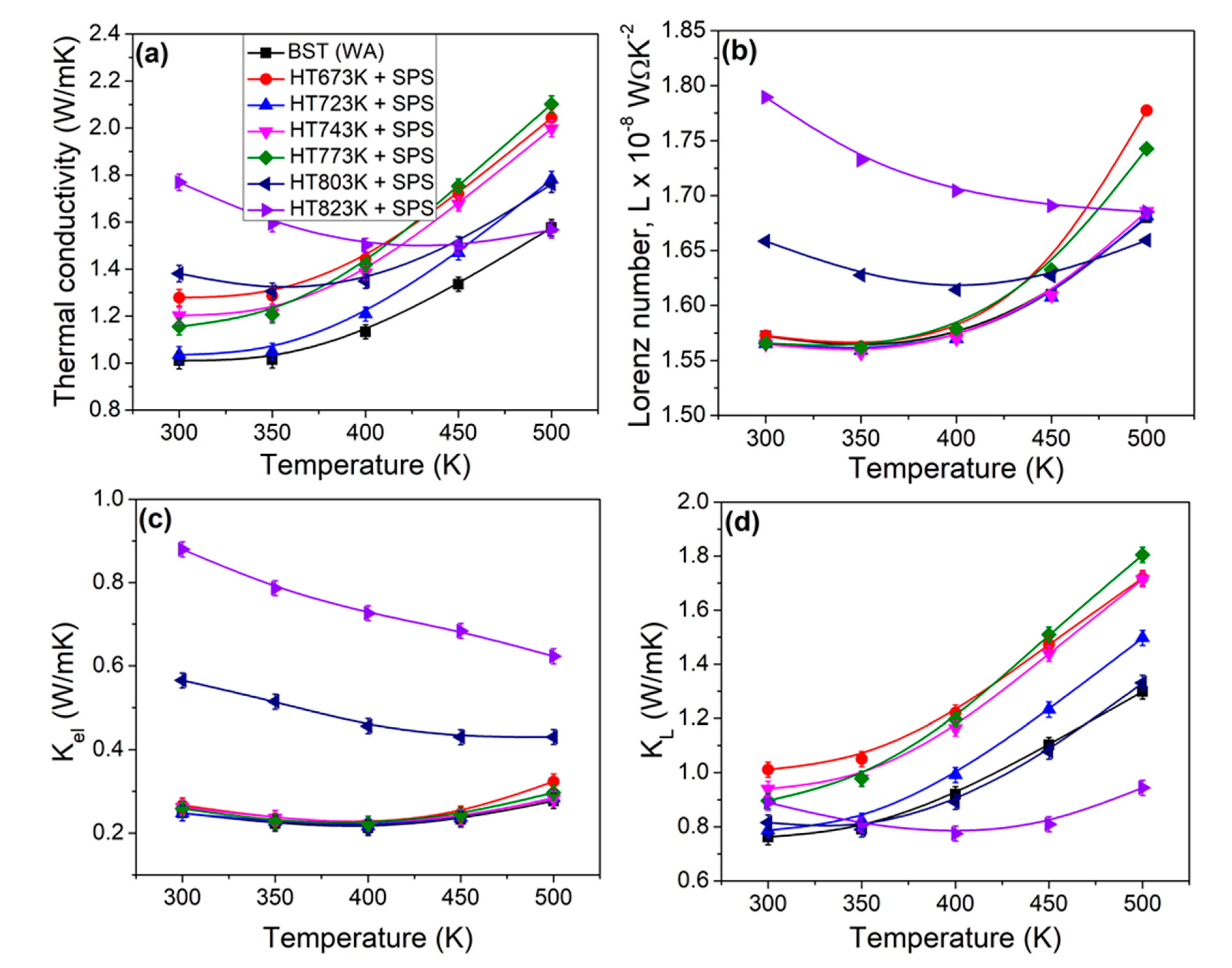
3. Results and Discussion
4. Conclusions
Author Contributions
Funding
Institutional Review Board Statement
Informed Consent Statement
Data Availability Statement
Conflicts of Interest
References
- Bell, L.E. Cooling, Heating, Generating power, and recovery waste heat with thermoelectric systems. Science 2008, 321, 1457–1461. [Google Scholar] [CrossRef] [PubMed]
- Hu, X.; Feng, B.; Kong, D.; Liu, P.; Li, R.; Zhang, Y.; Li, G.; Li, Y. Microstructural refinement, and performance improvement of cast n-type Bi2Te2.79Se0.21 ingot by equal channel angular extrusion. Met. Mater. Int. 2020. [Google Scholar] [CrossRef]
- Song, J.M.; Rahman, J.U.; Cho, J.Y.; Lee, S.; Seo, W.S.; Kim, S.; Lee, K.H.; Roh, D.; Shin, W.H. Chemically synthesized Cu2Te incorporated Bi-Sb-Te p-type thermoelectric materials for low temperature energy harvesting. Scr. Mater. 2019, 165, 78–83. [Google Scholar] [CrossRef]
- Kim, E.B.; Dharmaiah, P.; Lee, K.H.; Lee, C.H.; Lee, J.H.; Yang, J.K.; Jang, D.H.; Kim, D.S.; Hong, S.J. Enhanced thermoelectric properties of Bi0.5Sb1.5Te3 composites with in-situ formed senarmontite Sb2O3 nanophase. J. Alloys Compd. 2019, 777, 703–711. [Google Scholar] [CrossRef]
- Yu, Y.; He, D.S.; Zhang, S.; Miredin, O.C.; Schwarz, T.; Stoffers, A.; Wang, X.Y.; Zheng, S.; Zhu, B.; Scheu, C.; et al. Simultaneous optimization of electrical and thermal transport properties of Bi0.5Sb1.5Te3 thermoelectric alloy by twin boundary engineering. Nano Energy 2017, 37, 203–213. [Google Scholar] [CrossRef]
- Biswas, K.; He, J.; Blum, I.D.; Wu, C.I.; Hogan, T.P.; Seidman, D.N.; Dravid, V.P.; Kanatzidis, M.G. High-performance bulk thermoelectrics with all-scale hierarchical architectures. Nature 2012, 489, 414–418. [Google Scholar] [CrossRef] [PubMed]
- Hu, L.; Zhu, T.; Liu, X.; Zhao, X. Point defect engineering of high-performance bismuth-telluride-based thermoelectric materials. Adv. Funct. Mater. 2014, 24, 5211–5218. [Google Scholar] [CrossRef]
- Tan, G.J.; Zhao, L.D.; Kanatzidis, M.G. Rationally designing high-performance bulk thermoelectric materials. Chem. Rev. 2016, 116, 12123–12149. [Google Scholar] [CrossRef] [PubMed]
- Poudel, B.; Hao, Q.; Ma, Y.; Lan, Y.; Minnich, A.; Yu, B.; Yan, X.; Wang, D.; Muto, A.; Vashae, D.; et al. High-thermoelectric performance of nanostructured bismuth antimony telluride bulk alloys. Science 2008, 320, 634–638. [Google Scholar] [CrossRef] [PubMed]
- Ma, Y.; Hao, Q.; Poudel, B.; Lan, Y.C.; Yu, B.; Wang, D.Z.; Chen, G.; Ren, Z.F. Enhanced thermoelectric figure-of-merit in p-type nanostructured bismuth antimony tellurium alloys made from elemental chunks. Nan Lett. 2008, 8, 2580–2584. [Google Scholar] [CrossRef] [PubMed]
- Xie, W.J.; Tang, X.F.; Yan, Y.G.; Zhang, Q.J.; Tritt, T.M. Unique nanostructures and enhanced thermoelectric performance of melt-spun BiSbTe alloys. Appl. Phys. Lett. 2009, 94, 102111. [Google Scholar] [CrossRef]
- Dharmaiah, P.; Hong, S.J. Thermoelectric properties of Bi2Te3 nanocrystals with diverse morphologies obtained via modified hydrothermal method. J. Electron. Mater. 2017, 46, 3012–3019. [Google Scholar] [CrossRef]
- Zhang, C.; Peng, Z.; Li, L.; Yu, L.; Khor, K.A.; Xiong, Q. Controlled growth of bismuth antimony telluride BixSb2-xTe3 nanoplatelets and their bulk thermoelectric nano composites. Nano Energy 2015, 15, 688–696. [Google Scholar] [CrossRef]
- Dharmaiah, P.; Nagarjuna, C.; Sharief, P.; Hong, S.J. Synergetic effects of co-dispersed Cu and insulating HfO2 nanoparticles enabled high thermoelectric figure of merit in Bi0.5Sb1.5Te3 composites. Appl. Surf. Sci. 2021, 556, 149783. [Google Scholar] [CrossRef]
- Seo, S.; Jeong, Y.; Oh, M.W.; Yoo, B. Effect of hydrogen annealing of ball milled Bi0.5Sb1.5Te3 powders on thermoelectric properties. J. Alloy. Compd. 2017, 706, 576–583. [Google Scholar] [CrossRef]
- Lwin, M.L.; Dharmaiah, P.; Madavali, B.; Lee, C.H.; Shin, D.W.; Song, G.; Lee, K.H.; Hong, S.J. Oxide formation mechanism and its effect on the microstructure and thermoelectric properties of p-type Bi0.5Sb1.5Te3 alloys. Intermetallics 2018, 103, 23–32. [Google Scholar] [CrossRef]
- Jiang, J.; Chen, L.D.; Bai, S.Q. Thermoelectric properties of textured p-type (Bi, Sb)2Te3 fabricated by spark plasma sintering. Scr. Mater. 2005, 52, 347–351. [Google Scholar] [CrossRef]
- Lim, S.S.; Kim, J.H.; Kwon, B.; Kim, S.K.; Park, H.H.; Lee, K.S.; Baik, J.M.; Choi, W.J.; Kim, D.I.; Hyun, D.B.; et al. Effect of spark plasma sintering conditions on the thermoelectric properties of (Bi0.25Sb0.75)2Te3 alloys. J. Alloys Compd. 2016, 678, 396–402. [Google Scholar] [CrossRef]
- Lee, M.W.; Dharmaiah, P.; Lee, C.H.; Song, S.H.; Lee, J.H.; Hong, S.J. Recrystallization stimulated hierarchical structures for the simultaneous enhancement of Seebeck coefficient and electrical conductivity in Bi-Sb-Te alloys. J. Alloys Compd. 2020, 842, 155804. [Google Scholar] [CrossRef]






| Sample | WA Powder | 673 K | 723 K | 743 K | 773 K | 803 K | 823 K |
|---|---|---|---|---|---|---|---|
| Bi | 14.864 ± 0.2 | 15.349 ± 0.1 | 15.46 ± 0.1 | 15.6 ± 0.09 | 15.68 ± 0.1 | 15.703 ± 0.1 | 15.735 ± 0.1 |
| Sb | 24.374 ± 0.5 | 24.566 ± 0.3 | 24.523 ± 0.3 | 24.649 ± 0.4 | 24.849 ± 0.3 | 24.952 ± 0.2 | 25.172 ± 0.4 |
| Te | 60.557 ± 0.7 | 60.085 ± 0.7 | 60.017 ± 0.9 | 59.752 ± 0.8 | 59.471 ± 0.9 | 59.344 ± 1.1 | 59.092 ± 1.1 |
| Sample | Relative Density (%) | S (µV/K) | n (1019/cm3) | µ (cm2/Vs) | m*/m0 |
|---|---|---|---|---|---|
| 673 K | 99.0 ± 0.3 | 237.24 ± 2.5 | 1.02 ± 0.05 | 284.78 ± 7 | 0.86 |
| 723 K | 99.3 ± 0.17 | 245.01 ± 1.7 | 1.20 ± 0.03 | 293.82 ± 5 | 1.03 |
| 743 K | 99.7 ± 0.09 | 245.26 ± 1.9 | 1.06 ± 0.07 | 310.9 ± 7 | 0.95 |
| 773 K | 99.5 ± 0.19 | 244.40 ± 2.3 | 1.1 ± 0.04 | 307.24 ± 4 | 0.97 |
| 803 K | 99.2 ± 0.2 | 178.20 ± 3.4 | 2.90 ± 0.07 | 258.54 ± 11 | 1.04 |
| 823 K | 99.0 ± 0.5 | 129.60 ± 2.9 | 5.72 ± 0.09 | 171.62 ± 10 | 1.04 |
Publisher’s Note: MDPI stays neutral with regard to jurisdictional claims in published maps and institutional affiliations. |
© 2021 by the authors. Licensee MDPI, Basel, Switzerland. This article is an open access article distributed under the terms and conditions of the Creative Commons Attribution (CC BY) license (https://creativecommons.org/licenses/by/4.0/).
Share and Cite
Shin, D.-w.; Dharmaiah, P.; Song, J.-W.; Hong, S.-J. Effect of Powder Heat Treatment on Chemical Composition and Thermoelectric Properties of Bismuth Antimony Telluride Alloys Fabricated by Combining Water Atomization and Spark Plasma Sintering. Materials 2021, 14, 2993. https://doi.org/10.3390/ma14112993
Shin D-w, Dharmaiah P, Song J-W, Hong S-J. Effect of Powder Heat Treatment on Chemical Composition and Thermoelectric Properties of Bismuth Antimony Telluride Alloys Fabricated by Combining Water Atomization and Spark Plasma Sintering. Materials. 2021; 14(11):2993. https://doi.org/10.3390/ma14112993
Chicago/Turabian StyleShin, Dong-won, Peyala Dharmaiah, Jun-Woo Song, and Soon-Jik Hong. 2021. "Effect of Powder Heat Treatment on Chemical Composition and Thermoelectric Properties of Bismuth Antimony Telluride Alloys Fabricated by Combining Water Atomization and Spark Plasma Sintering" Materials 14, no. 11: 2993. https://doi.org/10.3390/ma14112993
APA StyleShin, D.-w., Dharmaiah, P., Song, J.-W., & Hong, S.-J. (2021). Effect of Powder Heat Treatment on Chemical Composition and Thermoelectric Properties of Bismuth Antimony Telluride Alloys Fabricated by Combining Water Atomization and Spark Plasma Sintering. Materials, 14(11), 2993. https://doi.org/10.3390/ma14112993

