Dehydroxylation of Perlite and Vermiculite: Impact on Improving the Knock-Out Properties of Moulding and Core Sand with an Inorganic Binder
Abstract
1. Introduction
2. Materials and Methods
2.1. General Characteristics of Materials
- Moulding sand without additives (G)—quartz sand form Szczakowa mine, Sibelco Poland (Bukowno, Poland) (97.28%), inorganic Geopol® binder form Sand Team S.r.o, Holubice, Czech Republic) (2.43%), ester hardener SA72 form Sand Team S.r.o, Holubice, Czech Republic (0.29%);
- Moulding sand with perlite ore (SP1–SP3 and HP)—quartz sand form Szczakowa mine, Sibelco Poland (Bukowno, Poland) (95.42%), inorganic Geopol® binder form Sand Team S.r.o, Holubice, Czech Republic (2.38%), ester hardener SA72 form Sand Team S.r.o, Holubice, Czech Republic (0.29%), perlite ore (1.91%);
- Moulding sand with vermiculite (V)—quartz sand form Szczakowa mine, Sibelco Poland (Bukowno, Poland) (96.34%), inorganic Geopol® binder form Sand Team S.r.o, Holubice, Czech Republic (2.41%), ester hardener SA72 form Sand Team S.r.o, Holubice, Czech Republic (0.29%), vermiculite (0.96%).
2.1.1. Perlite Ore
2.1.2. Vermiculite
2.2. Characterization of Methods
- The perlite ore samples did not require preparation. In turn, vermiculite was subjected to the process of grinding (comminuting) in a ball mill in order to obtain a fine-grained fraction, because only the material prepared in this way is suitable for use in moulding sands.
- Sieve analysis on a standard set with a mesh size from 0.056 to 1.6 mm (average of two measurements), in accordance with the Polish Standard (PN–85/H–11001) was carried out.
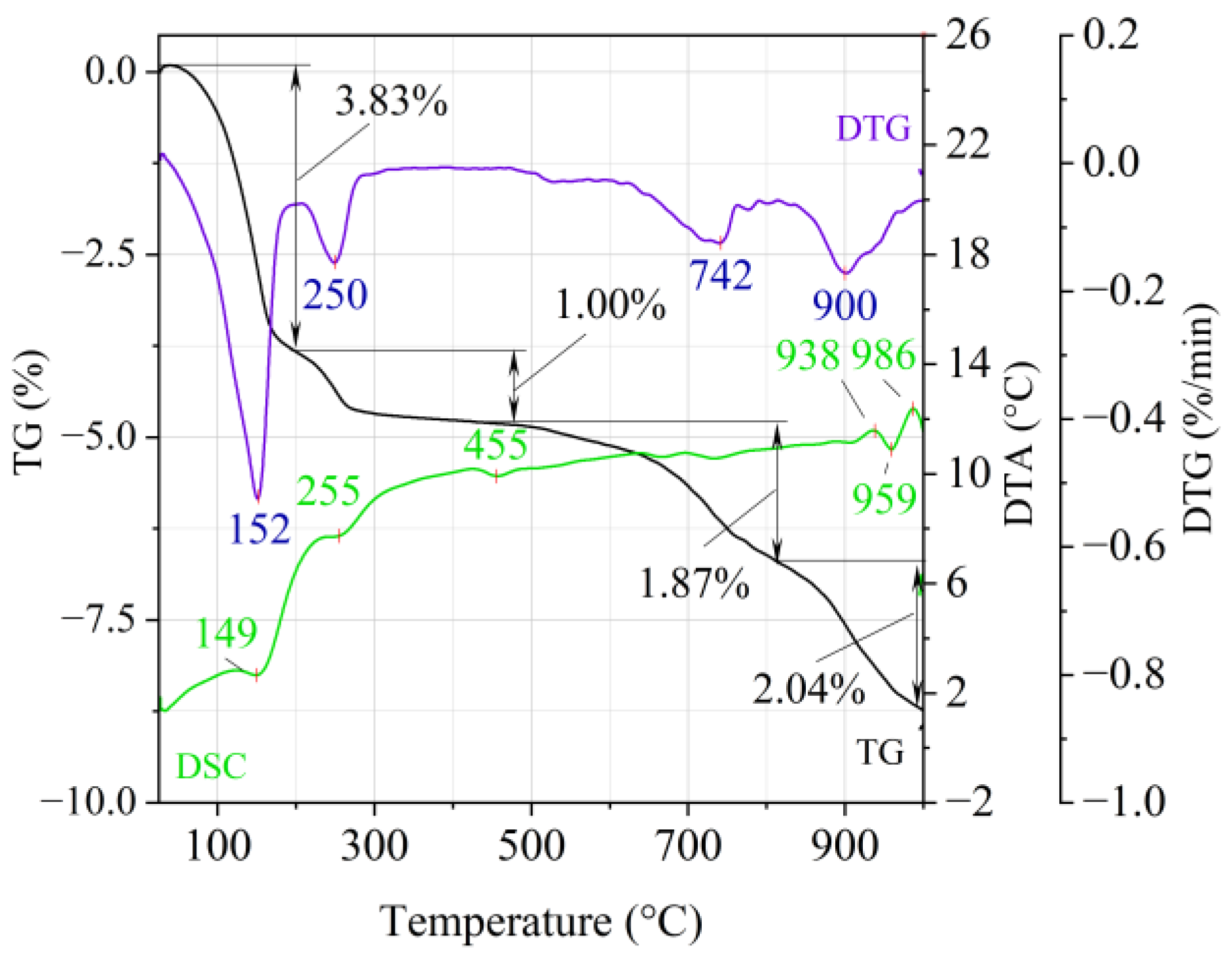
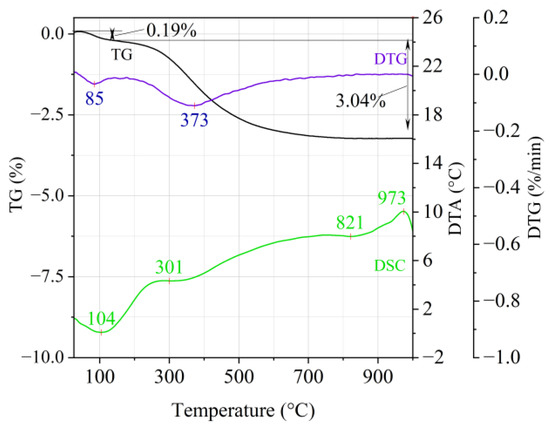
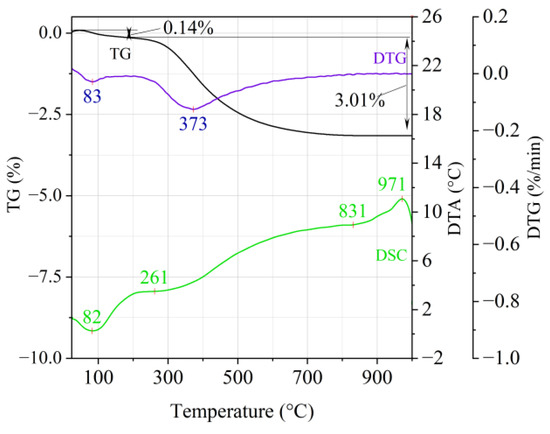
- Simultaneous TG/DTG/DTA (Thermal Gravimetry/Differential Thermal Gravimetry/Differential Thermal Analysis) thermal examinations of the tested materials were performed with use of the Thermal Analyzer produced by Jota (Kraków, Poland). The temperature range of test was 20–1000 °C, and the heating rate was 10 °C/min in an air atmosphere in alumina pans.
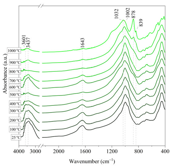
- Structural studies were carried out by means of infrared spectroscopy (FTIR) by a transmission technique consisting of preparing pellets in potassium bromide (KBr), using an Digilab Excalibur FTS 3000 (Bio Rad, Hercules, CA, USA) spectrometer with a standard DTGS detector. The spectra were recorded in the Resolution Pro (Varian/Agilent Technologies, Santa Clara, CA, USA) program in the specific infrared range (4000–400 cm−1), with a resolution of 4 cm−1. In order to obtain the appropriate quality of the spectra, the samples were ground in the form of fine powder in agate mortars and then mixed with KBr in the ratio 1:100. Test material samples were obtained as a result of rapid heating in a silite furnace at a temperature in the range of 100–1000 °C. The residence time of the sample in the oven was 10 min in each case.
- The chemical composition of the investigated materials was determined by the X-ray Fluorescence Spectrometry (XRF) method, using a WD-XRF Axios Max spectrometer with Rh 4 kW PANalytical lamp (Malvern Panalytical, Malvern, UK).
- To analyze the phase composition of the materials, a Philips/Panalytical X’Pert Pro MD powder diffractometer (Malvern Panalytical, Malvern, UK) using Cu Kα1 radiation was used. Standard Bragg-Brentano geometry with a θ–2θ setup was applied (0.008° step size and 5–90° 2θ range). Highscore Plus 3.0 software with a database (Version: PDF-4+2021 powder diffraction database, 2021, International Centre for Diffraction Data, Newtown Square, Pennsylvania, USA) was used to determine the positions of the observed peaks and assign them to the appropriate phases.
- Moulding sands with an inorganic geopolymer binder were prepared in a roller mixer. First, sand without additives (without perlite ore and vermiculite) was prepared, which was the reference point. Then, the moulding sands with additives were prepared. The mixing time was 5 min in each case. The loose components, i.e., the grain matrix (quartz sand) and the perlite ore/ground vermiculite (mixing time 1 min) were mixed first, then the SA72 hardener (Sand Team S.r.o, Holubice, Czech Republic) (mixing time 1 min) was added, and the (Geopol binder Sand Team S.r.o, Holubice, Czech Republic) (mixing time 3 min) was added in the last stage.
- Standard fittings for determining the tensile strength were made of the prepared sands. A portion of the moulding sand was placed in a special matrix, coupled with a device for a vibratory concentration of samples (LUZ-2e apparatus manufactured by Multiserw Morek, Brzeźnica, Poland). The hardening process in the open air, under laboratory conditions (temperature 20–21 °C, relative humidity 30–35%) was carried out. After hardening the moulding sand (within 24 h), the samples were heated together in the furnace to a temperature in the range of 100–1000 °C, with a heating rate of 10 °C/min (the same as in the case of the thermal analysis). After the sand samples and the furnace had cooled down to the ambient temperature, the tensile strength () was determined using the LRu-2 moulding sand strength tester (Multiserw-Morek, Brzeźnica, Poland). Moulding sand without additives (as a reference point) (G), sands with the addition of the Slovak perlite ore of various grain sizes (SP1–SP3), the Hungary perlite ore (HP), and crushed vermiculite (ground) (V) were also made.
- Microscopic images of moulding sands with additives were made with the use of a HITACHI TM-3000. A Hitachi TM3000 scanning electron microscope (SEM) (Hitachi High-Tech Co., LTD, Tokyo, Japan) was used in this study to investigate the surface morphology of specimens, with a 30 nm resolution, a charge reduction mode of 5 or 15 kV voltage, and 15× to 30,000× magnification capabilities. For high-resolution imaging, the samples were carbon sprayed using a Quorum Techologies Q150T high vacuum sputter (Lewes, UK).
3. Results and Discussion
3.1. Sieve Analysis
3.2. Thermal Analysis
3.3. X-ray Fluorescence Analysis (XRF)
3.4. Structural Analysis (FTIR)
3.5. Analysis of the Change in the Phase Composition (XRD) under the Influence of Temperature
3.6. Investigation of the Final Strength () of Moulding Sands with Mineral Additives
3.7. SEM Microscopic Imaging
4. Conclusions
- on the basis of the conducted thermal analysis, no significant correlation was found between the grading of the Slovak perlite ore (SP1–SP3) and the amount of water accumulated in its structure;
- the chemical composition, in particular the alkali ratio K2O/Na2O, and the size of the fraction may have a significant impact on the expandability of the pearlite ore. In the case of the finest fraction at a temperature above 900 °C, it is possible to create an amorphous phase in the entire sample volume;
- in the finest fraction of Slovak perlite (SP1) at the temperature above 300 °C, no changes in the phase composition were found, while above the temperature of 900 °C, reflections from the crystalline phases disappear, and the sample consists only of the amorphous phase.
- at temperatures above 900 °C, two phases were identified in the SP2 perlite: albite and cristobalite, while in the SP3 sample, the formation of a new phase—spinel was found, most likely as a result of illite decomposition.
- Hungarian perlite is characterized by greater stability in terms of phase composition during heating in the tested temperature range. Above 900 °C, the presence of cristobalite and albite was found;
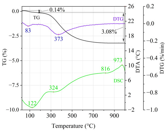
- vermiculite has a much higher water content than perlite ore—regardless of grain size and origin. The formation of the spatial structure characteristic of vermiculite, where the layers separate and there is a significant increase in volume, is observed at a temperature of approx. 500 °C;
- it was shown that the structure of ground vermiculite does not change until a temperature of about 700 °C. Only above 800 °C do the reflections from vermiculite disappear, which proves the decomposition of layered minerals, and the diffractograms obtained for samples annealed at 800 and 900 °C distinguish two phases—biotite and enstatite;
- in the IR spectrum obtained for a sample of vermiculite annealed at the temperature of 1000 °C, a clear shift in the band position related to the Si–O stretching vibration was shown, which was interpreted as the appearance of an iron-aluminum spinel in which aluminum is in 6 coordination with the formation of forsterite;
- the processes of expanding perlite ore and exfoliating vermiculite have a positive effect on reducing the final strength of moulding and core sand with inorganic binders used in the foundry, eliminating technological inconveniences—poor susceptibility to knocking out. However, in the considered variants, the best effects of lowering the final strength of moulding sands with an inorganic geopolymer binder were obtained in the case of introducing the SP1 Slovak perlite ore in the finest fraction, which correlates well with the conclusion presented above.
Author Contributions
Funding
Institutional Review Board Statement
Informed Consent Statement
Data Availability Statement
Conflicts of Interest
References
- Bobrowski, A.; Holtzer, M.; Żymankowska–Kumon, S.; Dańko, R. Harmfulness assessment of moulding sands with a geopolymer binder and a new hardener, in an aspect of the emission of substances from the BTEX group. Arch. Metall. Mater. 2015, 60, 341–344. [Google Scholar] [CrossRef]
- Drożyński, D.; Bobrowski, A.; Holtzer, M. Influence of the reclaim addition on properties of moulding sands with the Geopol binder. Arch. Foundry Eng. 2015, 15, 138–142. [Google Scholar] [CrossRef]
- Lewandowski, J.L. Materials for Foundry Molds; Publishing House Akapit: Krakow, Poland, 1997. [Google Scholar]
- Major-Gabryś, K.; Dobosz, S.M. The influence of the Glassex additive on technological and knock-out properties of the moulding sands with hydrated sodium silicate and new ester hardeners. Metall. Foundry Eng. 2011, 37, 33–40. [Google Scholar] [CrossRef][Green Version]
- Izdebska–Szanda, I.; Baliński, A. New generation of ecological silicate binders. Procedia Eng. 2011, 10, 887–893. [Google Scholar] [CrossRef]
- Baliński, A. Influence of the modification method of hydrated sodium silicate on the effectiveness of changes in the final strength of moulding sand. Trans. Foundry Res. Inst. 2017, 57, 161–168. [Google Scholar] [CrossRef]
- Dobosz, S.M.; Major–Gabryś, K. The mechanism of improving the knock-out properties of moulding sands with water glass. Arch. Foundry Eng. 2008, 8, 37–42. [Google Scholar]
- Dobosz, S.M.; Major–Gabryś, K. Self-hardening moulding sands with water glass and new ester hardener. Inżynieria Mater. 2006, 27, 576–579. [Google Scholar]
- Hutera, B.; Stypuła, B.; Kmita, A.; Bobrowski, A.; Drożyński, D.; Hajos, M. Effect of metal oxides nanoparticles on the tensile strength properties of foundry moulding sands with water glass. Giessereiforschung 2012, 64, 14–18. [Google Scholar]
- Dobosz, S.M.; Major–Gabryś, K. Glassex—A new additive improving the knock-out properties of moulding sands with water glass. Archives of Foundry. 2004, 4, 63–68. [Google Scholar]
- Wang, J.; Fan, Z.; Wang, H.; Dong, X.; Huang, N. An improved sodium silicate binder modified by ultra-fine powder materials. China Foundry 2007, 4, 026–030. [Google Scholar]
- Bobrowski, A.; Stypuła, B.; Hutera, B.; Kmita, A.; Drożyński, D.; Starowicz, M. FTIR spectroscopy of water glass—The binder moulding modified by ZnO nanoparticles. Metalurgija 2012, 51, 477–480. [Google Scholar]
- Bobrowski, A.; Kmita, A.; Starowicz, M.; Stypuła, B.; Hutera, B. Effect of Magnesium Oxide Nanoparticleson Water Glass Structure. Arch. Foundry Eng. 2012, 12, 9–12. [Google Scholar] [CrossRef]
- Burkowicz, A. Expanded perlite—A thermal insulation material little known in Poland. Sci. J. Inst. Miner. Energy Econ. Pol. Acad. Sci. 2016, 96, 7–22. [Google Scholar]
- Pichór, W.; Janiec, A. Thermal stability of expanded perlite modified by mullite. Ceram. Int. 2009, 35, 527–530. [Google Scholar] [CrossRef]
- Samar, M.; Saxena, S. Study of chemical and physical properties of perlite and its application in India. Int. J. Sci. Technol. Manag. 2016, 5, 70–80. [Google Scholar]
- Żelazowska, E.; Pichniarczyk, P.; Najduchowska, M. Light glass crystalline aggregates from waste materials for the building materials industry. Mater. Ceram. 2014, 66, 321–330. [Google Scholar]
- Żelazowska, E.; Pichniarczyk, P.; Sacha, S.; Zawiła, J.; Rybicka–Łada, J.; Marczewska, A. Obtaining glass-crystalline materials based on perlite ore and expanded perlite waste. Mater. Ceram. 2012, 64, 411–416. [Google Scholar]
- Kaufhold, S.; Reese, A.; Schwiebacher, W.; Dohrmann, R.; Grathoff, G.H.; Warr, L.N.; Halisch, M.; Müller, C.; Schwarz–Schampera, U.; Ufer, K. Porosity and distribution of water in perlite from the island of Milos, Greece. SpringerPlus 2014, 3, 598. [Google Scholar] [CrossRef] [PubMed]
- Tsikouras, B.; Passa, K.S.; Iliopoulos, I.; Katagas, C. Micorstructural Control on perlite expansibility and geochemical balance with a novel application of Isocon analysis: An example from Milos Island Perlite (Greece). Materials 2016, 6, 80. [Google Scholar] [CrossRef]
- Roulia, M.; Chassapis, K.; Kapoutsis, J.A.; Kamitsos, E.I.; Savvidis, T. Influence of thermal treatment on the water release and the glassy structure of perlite. J. Mater. Sci. 2006, 41, 5870–5881. [Google Scholar] [CrossRef]
- Osacky, M.; Uhlik, P.; Kuchta, L. Experimental Alteration of Volcanic Glass; Acta Mineralogica–Petrographica, Abstract Series 5: Szeged, Hungary, 2006; Volume 86. [Google Scholar]
- Balek, V.; Perez-Rodriguez, J.L.; Perez–Maqueda, L.A.; Subrt, J.; Poyato, J. Thermalbehaviour of ground vermiculite. J. Therm. Anzlysis Calorim. 2007, 88, 819–823. [Google Scholar] [CrossRef]
- Poyato, L.; Perez–Maqueda, L.A.; Justo, A.; Balek, V. Emanation thermal analysis of natural and chemically-modified vermiculite. Clays Clay Miner. 2002, 50, 791–798. [Google Scholar] [CrossRef]
- Lingya, M.; Xiaoli, S.; Yunfei, X.; Jingming, W.; Xiaoliang, L.; Jianxi, Z.; Hongping, H. The structural change of vermiculite during dehydration processes: A real-timein-situXRD method. Appl. Clay Sci. 2019, 183, 1–7. [Google Scholar] [CrossRef]
- Marcos, C.; Arango, Y.C.; Rodríguez, I. X-ray diffraction studies of the thermal behaviour of commercial vermiculites. Appl. Clay Sci. 2009, 42, 368–378. [Google Scholar] [CrossRef]
- Marcos, C.; Rodríguez, I. Expansion behaviour of commercial vermiculites at 1000 °C. Appl. Clay Sci. 2010, 48, 492–498. [Google Scholar] [CrossRef]
- Eaves, D. Sampling and analysis of crude vermiculite samples for possible asbestiform fibre and quartz content. IOM Consult. Rep. 2006, 924, 1130. [Google Scholar]
- Bagdassarov, N.; Ritter, F.; Yane, Y. Kinetics of perlite glasses degassing TG and DSC analysis. Glass Sci. Technol. 1999, 72, 277–290. [Google Scholar]
- Austin, G.S.; Barker, J.M. Commercial perlite deposits of New Mexico and North America. In Proceedings of the New Mexico Geological Society 49th AnnualFall Field Conference, Socorro, Mexico, 19–22 October 1998; pp. 271–277. [Google Scholar]
- Kozhukhova, N.I.; Chizhov, R.V.; Zhernovsky, I.V.; Strokova, V.V. Structure formation of geopolymer perlite binder vs. type of alkali activating agent. ARPN J. Eng. Appl. Sci. 2016, 11, 12275–12281. [Google Scholar]
- Herskovitch, D.; Lin, I.J. Upgrading of raw perlite by a dry magnetic technique. Magn. Electr. Sep. 1996, 7, 145–161. [Google Scholar] [CrossRef]
- Goodall, R.; Williams, C.; Fernie, J.A.; Clyne, T.W. Thermal Expansion and Stiffness Characteristics of a Highly Porous, Fire-Resistant Composite Material. Available online: https://www.researchgate.net/publication/228871362_Thermal_Expansion_and_Stiffness_Characteristics_of_a_Highly_Porous_Fire-Resistant_Composite_Material (accessed on 25 March 2021).
- Hillier, S.; Marwa, E.M.; Rice, C.M. On the mechanism of exfoliation of vermiculite. Clay Miner. 2013, 48, 563–582. [Google Scholar] [CrossRef]
- Koksal, F.; Gencel, O.; Kaya, M. Combined effect of silica fume and expanded vermiculite on properties of lightweight mortars at ambient and elevated temperatures. Constr. Build. Mater. 2015, 88, 175–187. [Google Scholar] [CrossRef]
- Suvorov, S.A.; Skurikhin, V.V. Vermiculite—A promising material for high-temperature heat insulators. Refract. Ind. Ceram. 2003, 44, 186–187. [Google Scholar] [CrossRef]
- Valáškowá, M.; Martynkowá, G. Vermiculite: Structural Properties and Examples of the Use. Clay Miner. Nat. Their Characterisation Modyfication Appl. 2012, 209–238. [Google Scholar] [CrossRef]
- Rebilasová, S.; Peikertová, P.; Gröplová, K.; Neuwirthová, L. The influence of mechanical treatment of vermiculite on preparation of the composites vermiculite/TiO2. In Proceedings of the NANOCON 2011 Conference Proceedings, Brno, Czech Republic, 21–23 September 2011. [Google Scholar]
- Gailhanou, H.; Blanc, P.; Rogez, J.; Mikaelian, G.; Horiuchi, K.; Yamamura, Y.; Saito, K.; Kawaji, H.; Warmont, F.; Grenèche, J.M.; et al. Thermodynamic properties of saponite, nontronite, and vermiculite derived from calorimetric measurements. Am. Mineral. 2013, 98, 1834–1847. [Google Scholar] [CrossRef]
- Handke, M. Crystallochemistry of Silicates, 2nd ed.; University Scientific and Technical Publishers of AGH: Krakow, Poland, 2008. [Google Scholar]
- Campos, A.; Moreno, S.; Molina, R. Characterization of vermiculite by XRD and spectroscopic techniques. Earth Sci. Res. J. 2009, 13, 108–118. [Google Scholar]
- Abidi, S.; Nait–Ali, B.; Joliff YFavotto, C. Impact of perlite, vermiculite and cement on the thermal conductivity of a plaster composite material: Experimental and numerical approaches. Compos. Part B 2015, 68, 392–400. [Google Scholar] [CrossRef]
- Derkowski, A.; Drits, V.A.; McCarty, D.K. Nature of rehydroxylation in dioctahedral 2:1 layer clay minerals. Am. Mineral. 2012, 97, 610–629. [Google Scholar] [CrossRef]
- Derkowski, A.; Drits, V.A.; McCarty, D.K. Rehydration in a dehydrated-dehydroxylated smectite in environment of low water vapor content. Am. Mineral. 2012, 97, 110–127. [Google Scholar] [CrossRef]
- Harmon, R.S.; Wörner, G.; Goldsmith, S.T.; Harmon, B.A.; Gardner, C.B.; Lyons, W.B.; Ogden FLPribil, M.J.; Long, D.T.; Kern, Z.; Fórizs, I. Linking silicate weathering to riverine geochemistry—A case study from a mountainous tropical setting in west-central Panama. Geol. Soc. Am. Bull. 2016, 128, 1780–1812. [Google Scholar] [CrossRef]
- Varga, P.; Uhlik, P.; Lexa, J.; Šurka, J.; Bizovská, V.; Hudec, P.; Pálková, H. The influence of porosity on the release of water from perlite glass by thermal treatment. Mon. Chem. Chem. Mon. 2019, 150, 1025–1040. [Google Scholar] [CrossRef]
- Erdoğan, S.T. Properties of Ground Perlite Geopolymer Mortars. J. Mater. Civil Eng. 2015, 27, 1–10. [Google Scholar] [CrossRef]
- Rekaa, A.A.; Pavlovski, B.; Lisichkov, K.; Jashari, A.; Boev, B.; Boev, I.; Lazarova, M.; Eskizeybek, V.; Oral, A.; Jovanovski, G.; et al. Chemical, mineralogical and structural features of native and expanded perlite from Macedonia. Geol. Croat. 2019, 72, 215–221. [Google Scholar] [CrossRef]
- Mazoomi, F.; Jalali, M. Effect of vermiculite, nanoclay and zeolite on ammonium transport through saturated sandy loam soil: Columns experiments and modeling approaches. Catena 2019, 176, 170–180. [Google Scholar] [CrossRef]
- Handke, M.; Sitarz, M.; Długoń, E. Amorphous SiCxOy coatings from ladder-like polysilsesquioxanes. J. Mol. Struct. 2011, 993, 193–197. [Google Scholar] [CrossRef]
- Sitarz, M.; Jastrzębski, W.; Jeleń, P.; Długoń, E.; Gawęda, M. Preparation and structural studies of black glasses based on ladder-like silsesquioxanes. Spectrochim. Acta Part A 2014, 132, 884–888. [Google Scholar] [CrossRef]
- Pérez–Maqueda, L.A.; Balek, V.; Payato, J.; Pérez–Rodriquez, J.L.; Šubrt, J.; Bountsewa, I.M.; Beckman, I.N.; Málek, Z. Stdy of natural and ion exchanged vermiculite by emanation thermal analysis, TG, DTA and XRD. J. Therm. Anal. Calorim. 2003, 71, 715–726. [Google Scholar] [CrossRef]
- Handke, M. Vibration spectroscopy of silicates and the character of Si–O bonding in silicates. Sci. J. AGH 1984, 48. [Google Scholar]
- De Araujo, J.H.; Da Silva, N.F. Thermal Decomposition of Illite. Mater. Res. 2004, 7, 359–361. [Google Scholar] [CrossRef]
- Bobrowski, A. The Phenomenon of Dehydroxylation of Selected Mineral Materials from the Aluminosilicates Group as the Determinant Factor of the Knock-Out Improvement of Moulding and Core Sands with Inorganic Binder; Archives of Foundry Engineering; Polish Academy of Sciences: Gliwice, Poland, 2018. [Google Scholar]


















| Mesh Size Sieve | Material | |||||
|---|---|---|---|---|---|---|
| SP1 | SP2 | SP3 | HP | V | QS | |
| 1.600 | 0.00 | 0.00 | 0.00 | 0.00 | 0.00 | 0.00 |
| 0.800 | 0.00 | 0.00 | 0.95 | 0.00 | 0.00 | 0.00 |
| 0.630 | 0.00 | 0.00 | 1.58 | 1.84 | 0.00 | 0.48 |
| 0.400 | 0.00 | 48.16 | 29.98 | 30.08 | 0.06 | 7.19 |
| 0.320 | 0.00 | 30.21 | 40.10 | 20.62 | 0.13 | 18.63 |
| 0.200 | 0.00 | 11.58 | 25.94 | 29.09 | 3.36 | 50.21 |
| 0.160 | 6.52 | 4.38 | 0.31 | 7.93 | 9.83 | 13.10 |
| 0.100 | 9.29 | 4.10 | 0.38 | 7.36 | 22.54 | 9.71 |
| 0.071 | 9.35 | 0.67 | 0.20 | 1.22 | 13.34 | 0.56 |
| 0.056 | 22.03 | 0.33 | 0.20 | 0.53 | 3.66 | 0.07 |
| Bottom | 52.81 | 0.57 | 0.36 | 1.33 | 47.08 | 0.05 |
| Sum | 100.00 | 100.00 | 100.00 | 100.00 | 100.00 | 100.00 |
| Parameter | Unit | Material | |||||
|---|---|---|---|---|---|---|---|
| SP1 | SP2 | SP3 | HP | V | QS | ||
| Average grain size, dL | mm | 0.08 | 0.30 | 0.31 | 0.24 | 0.06 | 0.23 |
| Average grain size, D50 | mm | 0.10 | 0.40 | 0.36 | 0.33 | 0.07 | 0.26 |
| The mesh size sieve where the main faction has gathered | - | 0.071/ 0.056/ bottom | 0.40/ 0.32/ 0.20 | 0.40/ 0.32/ 0.20 | 0.40/ 0.32/ 0.20 | 0.071/ 0.056/ bottom | 0.32/ 0.20/ 0.16 |
| Main fraction, Fg | % | 92.61 | 89.95 | 96.02 | 79.79 | 82.96 | 81.94 |
| Distribution factor, S0 | - | 1.27 | 1.20 | 1.19 | 1.38 | 1.93 | 1.27 |
| Inclination indicator, Sk | - | 1.04 | 1.04 | 1.05 | 0.93 | 0.98 | 1.00 |
| Homogeneity degree, GG | % | 61.00 | 68.00 | 74.00 | 50.00 | 21.00 | 68.00 |
| Grain number, L | - | 150.52 | 42.90 | 40.76 | 52.27 | 21.86 | 55.27 |
| Component | SP1 | SP2 | SP3 | HP | V |
|---|---|---|---|---|---|
| O | 47.6 | 47.35 | 48.63 | 48.31 | 39.60 |
| Si | 33.18 | 33.18 | 33.88 | 34.58 | 15.96 |
| Al | 6.45 | 6.14 | 7.69 | 6.32 | 3.47 |
| K | 5.89 | 6.66 | 3.78 | 5.13 | 7.04 |
| Fe | 2.72 | 2.65 | 1.43 | 2.05 | 20.90 |
| Ca | 1.73 | 1.68 | 0.95 | 1.35 | 1.25 |
| Na | 1.26 | 1.36 | 2.81 | 1.61 | 0.11 |
| Ti | 0.32 | 0.21 | 0.12 | 0.11 | 1.89 |
| Mg | 0.30 | 0.16 | 0.37 | 0.08 | 8.61 |
| Others | 1.09 | 0.61 | 0.34 | 0.46 | 1.17 |
| Component | SP1 | SP2 | SP3 | HP | V |
|---|---|---|---|---|---|
| Na2O | 1.70 | 1.84 | 3.79 | 2.18 | 0.14 |
| MgO | 0.49 | 0.27 | 0.61 | 0.14 | 14.27 |
| Al2O3 | 12.20 | 11.60 | 14.53 | 11.94 | 6.55 |
| SiO2 | 70.99 | 70.99 | 72.47 | 73.99 | 34.13 |
| K2O | 7.09 | 8.03 | 4.55 | 6.18 | 8.48 |
| CaO | 2.43 | 2.35 | 1.33 | 1.89 | 1.75 |
| Fe2O3 | 3.89 | 3.80 | 2.04 | 2.93 | 29.88 |
| TiO2 | 0.53 | 0.50 | 0.21 | 0.18 | 3.16 |
| Others | 0.68 | 0.62 | 0.47 | 0.57 | 1.64 |
Publisher’s Note: MDPI stays neutral with regard to jurisdictional claims in published maps and institutional affiliations. |
© 2021 by the authors. Licensee MDPI, Basel, Switzerland. This article is an open access article distributed under the terms and conditions of the Creative Commons Attribution (CC BY) license (https://creativecommons.org/licenses/by/4.0/).
Share and Cite
Bobrowski, A.; Kaczmarska, K.; Sitarz, M.; Drożyński, D.; Leśniak, M.; Grabowska, B.; Nowak, D. Dehydroxylation of Perlite and Vermiculite: Impact on Improving the Knock-Out Properties of Moulding and Core Sand with an Inorganic Binder. Materials 2021, 14, 2946. https://doi.org/10.3390/ma14112946
Bobrowski A, Kaczmarska K, Sitarz M, Drożyński D, Leśniak M, Grabowska B, Nowak D. Dehydroxylation of Perlite and Vermiculite: Impact on Improving the Knock-Out Properties of Moulding and Core Sand with an Inorganic Binder. Materials. 2021; 14(11):2946. https://doi.org/10.3390/ma14112946
Chicago/Turabian StyleBobrowski, Artur, Karolina Kaczmarska, Maciej Sitarz, Dariusz Drożyński, Magdalena Leśniak, Beata Grabowska, and Daniel Nowak. 2021. "Dehydroxylation of Perlite and Vermiculite: Impact on Improving the Knock-Out Properties of Moulding and Core Sand with an Inorganic Binder" Materials 14, no. 11: 2946. https://doi.org/10.3390/ma14112946
APA StyleBobrowski, A., Kaczmarska, K., Sitarz, M., Drożyński, D., Leśniak, M., Grabowska, B., & Nowak, D. (2021). Dehydroxylation of Perlite and Vermiculite: Impact on Improving the Knock-Out Properties of Moulding and Core Sand with an Inorganic Binder. Materials, 14(11), 2946. https://doi.org/10.3390/ma14112946

