Viscoelastic Properties of Epoxidized Natural Rubber/Poly(lactic acid) PLA/ENR Blends Containing Glycidyl-POSS and Trisilanolisooctyl-POSS as Functional Additives
Abstract
1. Introduction
2. Materials and Methods
2.1. Materials and Preparation of the Blends
2.2. Viscoelastic Properties at 160 °C and at 30 °C
2.3. Glass Transition Temperature Tg Studies
2.4. Thermogravimetric Analysis TGA
2.5. Tensile Mechanical Properties Studies
2.6. Degradation of the Material in Soil
2.7. Morphology of the Blend
3. Results and Discussion
3.1. Viscoelastic Behavior of PLA/ENR Blends in Melt State
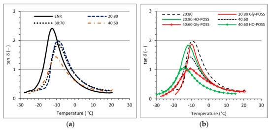
3.2. Morphology of PLA/ENR Blends and Their Dynamic Mechanical Properties at Ambient Temperature
3.3. Influence of POSS Modification on the Glass Transition Temperature and Thermal Resistance of the Material
3.4. Tensile Properties of the Blends—Changes in Mechanical Strength after Composting in Soil
4. Conclusions
Supplementary Materials
Author Contributions
Funding
Institutional Review Board Statement
Informed Consent Statement
Data Availability Statement
Acknowledgments
Conflicts of Interest
References
- Paran, S.M.R.; Naderi, G.; Ghoreishy, M.H.R.; Heydari, A. Enhancement of mechanical, thermal and morphological properties of compatibilized graphene reinforced dynamically vulcanized thermoplastic elastomer vulcanizates based on polyethylene and reclaimed rubber. Compos. Sci. Technol. 2018, 161, 57–65. [Google Scholar] [CrossRef]
- Wang, Z.; Zhao, H.; Zhao, J.; Wang, X. Rheological, mechanical and morphological properties of thermoplastic vulcanizates based on high impact polystyrene and styrene-butadiene rubber. J. Appl. Polym. Sci. 2010, 119, 2523–2529. [Google Scholar] [CrossRef]
- Martin, G.; Barres, C.; Sonntag, P.; Garois, N.; Cassagnau, P. Co-continous morphology and stress relaxation behaviour of unfilled and silica filled PP/EPDM blends. Mater. Chem. Phys. 2009, 113, 889–898. [Google Scholar] [CrossRef]
- Razmjonel, F.; Naderi, G.; Bakhshandeh, G. Preparation of dynamically vulcanized thermoplastic elastomer nanocomposites based on LLDPE/reclaimed rubber. J. Appl. Polym. Sci. 2012, 124, 4864–4873. [Google Scholar] [CrossRef]
- Sable, S.; Mandal, D.K.; Ahuja, S.; Bhunia, H. Biodegradation kinetic modeling of oxo-biodegradable polypropylene/polylactide/nanoclay blends and composites under controlled composting conditions. J. Environ. Manag. 2019, 249, 109186. [Google Scholar] [CrossRef]
- Ncube, L.K.; Ude, A.U.; Ogunmuyiwa, E.N.; Zulkifli, R.; Beas, I.N. Environmental impact of food packaging materials: A review of contemporary development from conventional plastics to polylactic acid based materials. Materials 2020, 13, 4994. [Google Scholar] [CrossRef]
- Auras, R.; Harte, B.; Selke, S. An overview of polylactides as packaging materials. Macromol. Biosci. 2004, 4, 835–864. [Google Scholar] [CrossRef]
- Tsuji, H.; Eto, T.; Sakamoto, Y. Synthesis and hydrolytic degradation of substituted poly(DL-lactic acid)s. Materials 2011, 4, 1384–1398. [Google Scholar] [CrossRef]
- Iozzino, V.; Askanian, H.; Leroux, F.; Verney, V.; Pantani, R. Poly(lactic acid)-based nanobiocomposites with modulated degradation rates. Materials 2018, 11, 1943. [Google Scholar] [CrossRef]
- Giełdowska, M.; Puchalski, M.; Szparaga, G.; Krucińska, I. Investigation of the influence of PLA molecular and supramolecular structure on the kinetics of thermal-supported hydrolytic degradation of wet spinning fibres. Materials 2020, 13, 2111. [Google Scholar] [CrossRef]
- Moliner, C.; Finocchio, E.; Arato, E.; Ramis, G.; Lagazzo, A. Influence of the degradation medium on water uptake, morphology, and chemical structure of poly(lactic acid)-sisal bio-composites. Materials 2020, 13, 3974. [Google Scholar] [CrossRef]
- Lyu, S.P.; Schley, J.; Loy, B.; Lind, D.; Hobot, C.; Sparer, R.; Untereker, D. Kinetics and time-temperature equivalence of polymer degradation. Biomacromology 2007, 8, 2301–2310. [Google Scholar] [CrossRef]
- Saha, S.K.; Tsuji, H. Effects of molecular weight and small amounts of D-lactide units on hydrolytic degradation of poly(L-lactic acid)s. Polym. Degrad. Stab. 2006, 91, 1665–1673. [Google Scholar] [CrossRef]
- Zhang, N.; Yu, X.; Duan, J.; Yang, J.; Huang, T.; Qi, X.; Wang, Y. Comparision study of hydrolytic degradation behaviors between α’- and α-poly(L-lactide). Polym. Degrad. Stab. 2018, 148, 1–9. [Google Scholar] [CrossRef]
- Chen, H.; Shen, Y.; Yang, J.; Huang, T.; Zhang, N.; Wang, Y.; Zhou, Z. Molecular ordering and α’-form formation of poly(L-lactide) during the hydrolytic degradation. Polymer 2013, 54, 6644–6653. [Google Scholar] [CrossRef]
- Pantani, R.; Sorrentino, A. Influence of crystallinity on the biodegradation rate of injection-moulded poly(lactic acid) samples in controlled composting conditions. Polym. Degrad. Stab. 2013, 98, 1089–1096. [Google Scholar] [CrossRef]
- Zhang, H.; McGill, E.; Ohep Gomez, C.; Carson, S.; Neufeld, K.; Hawthotne, I.; Smukler, S. Disintegration of compostable foodware and packaging and its effect on microbial activity and community composition in municipal composting. Int. Biodeterior. Biodegrad. 2017, 125, 157–165. [Google Scholar] [CrossRef]
- Cuadri, A.A.; Martin-Alfonso, J.E. Thermal, thermo-oxidative and thermomechanical degradation of PLA: A comparative study based on rheological, chemical and thermal properties. Polym. Degrad. Stab. 2018, 150, 37–45. [Google Scholar] [CrossRef]
- Speranza, V.; De Meo, A.; Pantani, R. Thermal and hydrolytic degradation kinetics of PLA in the molten state. Polym. Degrad. Stab. 2014, 100, 37–41. [Google Scholar] [CrossRef]
- Ebadi-Dehaghani, H.; Khondakar, H.A.; Barikani, M.; Jafari, S.H. Experimental and theoretical analyses of mechanical properties of PP/PLA/clay nanocomposites. Compos. Part B 2015, 69, 133–144. [Google Scholar] [CrossRef]
- Pongsathit, S.; Pattamaprom, C. Irradiation grafting of natural rubber latex with maleic anhydride and its compatibilization of poly(lactic acid)/natural rubber blends. Radiat. Phys. Chem. 2018, 144, 13–20. [Google Scholar] [CrossRef]
- Rosli, N.A.; Ahmad, I.; Anuar, F.H.; Abdullah, I. Mechanical and thermal properties of natural rubber-modified poly(lactic acid) compatibilized with telechelic liquid natural rubber. Polym. Test. 2016, 54, 196–202. [Google Scholar] [CrossRef]
- Sin, W.J.; Yuan, W.Q.; Li, Y.D.; Chen, Y.K.; Zeng, J.B. Tailoring toughness of fully biobased poly(lactic acid)/natural rubber blends through dynamic vulcanization. Polym. Test. 2018, 65, 249–255. [Google Scholar] [CrossRef]
- Petchwattana, N.; Covavisaruch, S.; Euapanthasate, N. Utilization of ultrafine acrylate rubber particles as toughening agent for poly(lactic acid). Mater. Sci. Eng. A 2012, 532, 64–70. [Google Scholar] [CrossRef]
- Maroufkhani, M.; Katbab, A.; Zhang, J. Manipulation of the properties of PLA nanocomposites by controlling the distribution of nanoclay via varying the acrylonitrile content in NBR rubber. Polym. Test. 2018, 65, 313–321. [Google Scholar] [CrossRef]
- Liu, H.; Chen, F.; Liu, B.; Estep, G.; Zhang, J. Super toughened poly(lactic acid) ternary blends by simultaneous dynamic vulcanization and interfacial compatibilization. Macromolecules 2010, 43, 6058–6066. [Google Scholar] [CrossRef]
- Mohanty, S.; Mukunda, P.G.; Nando, G.B. Kinetics of thermal degradation and related changes in the structure of blends of poly(ethylene-co-acrylic acid) (PEA) and epoxidized natural rubber (ENR). Polym. Degrad. Stab. 1996, 52, 235–244. [Google Scholar] [CrossRef]
- Krauklis, A.E.; Echtermeyer, A.T. Mechanism of yellowing: Carbonyl formation during hygrothermal aging in a common amine epoxy. Polymers 2018, 10. [Google Scholar] [CrossRef]
- Masek, A.; Zaborski, M. ENR/PCL polymer biocomposites from renewable resources. Comptes Rendus Chem. 2014, 17, 944–951. [Google Scholar] [CrossRef]
- Wang, Y.H.; Chen, K.L.; Xu, C.H.; Chen, Y.K. Supertoughened biobased poly(lactic acid)−epoxidized natural rubber thermoplastic vulcanizates: Fabrication, Co-continuous Phase Structure, Interfacial in Situ Compatibilization, and Toughening Mechanism. J. Phys. Chem. B. 2015, 119, 12138–12146. [Google Scholar] [CrossRef]
- Pongtanayut, K.; Thongpin, C.; Santawitee, O. The effect of rubber on morphology, thermal properties and mechanical properties of PLA/ENR blends. Energy Procedia 2013, 34, 888–897. [Google Scholar] [CrossRef]
- Zheng, M.; Zhang, S.; Chen, Y.; Wu, Q.; Li, Q. Structure evolution of bio-based PLA/ENR thermoplastic vulcanizates during dynamic vulcanization processing. Polym. Test. 2020, 82, 106324. [Google Scholar] [CrossRef]
- Cao, L.; Liu, C.; Zou, D.; Zhang, S.; Chen, Y. Using cellulose nanocrystals as sustainable additive to enhance mechanical and shape memory properties of PLA/ENR thermoplastic vulcanizates. Carbohydr. Polym. 2020, 230, 115618. [Google Scholar] [CrossRef]
- Raftopoulos, K.N.; Pielichowski, K. Segmental dynamics in hybrid polymer/POSS nanomaterials. Prog. Polym. Sci. 2016, 52, 136–187. [Google Scholar] [CrossRef]
- Zhang, W.; Camino, G.; Yang, R. Polymer/polyhedral oligomeric silsesquioxanes (POSS) nanocomposites: An overview of fire retardance. Prog. Polym. Sci. 2017, 67, 77–125. [Google Scholar] [CrossRef]
- Zaharescu, T.; Râpã, M.; Lungulescu, E.M.; Butoi, N. Filler effect on the degradation of γ-processed PLA/vinyl POSS hybrid. Rad. Phys. Chem. 2018, 153, 188–197. [Google Scholar] [CrossRef]
- Kodal, M.; Wis, A.A.; Ozkoc, G. The mechanical, thermal and morphological properties of γ-irradiated PLA/TAIC and PLA/OvPOSS. Radiat. Phys. Chem. 2018, 153, 214–225. [Google Scholar] [CrossRef]
- Yilmaz, S.; Kodal, M.; Yilmaz, T.; Ozkoc, G. Fracture toughness analysis of O-POSS/PLA composites assessed by essential work of fracture method. Compos. Part B 2014, 56, 527–535. [Google Scholar] [CrossRef]
- Zhang, X.; Sun, J.; Fang, S.; Han, X.; Li, Y.; Zhang, C. Thermal, crystalline and mechanical properties of octa(3-chloropropylsilsesquioxane)/poly(L-lactic acid) hybrid films. J. Appl. Polym. Sci. 2011, 122, 296–303. [Google Scholar] [CrossRef]
- Turan, D.; Sirin, H.; Ozkoc, G. Effects of POSS particles on the mechanical, thermal, and morphological properties of PLA and plasticised PLA. J. Appl. Polym. Sci. 2011, 121, 1067–1075. [Google Scholar] [CrossRef]
- Huang, L.; Tan, J.; Li, W.; Zhou, L.; Liu, Z.; Luo, B.; Lu, L.; Zhou, C. Functional polyhedral oligomeric silsesquioxanes reinforced poly(lactic acid) nanocomposites for biomedical applications. J. Mech. Behav. Biomed. Mater. 2019, 90, 604–614. [Google Scholar] [CrossRef] [PubMed]
- Liu, Z.; Hu, D.; Huang, L.; Li, W.; Tian, J.; Lu, L.; Zhou, C. Simultaneous improvement in toughness, strength and biocompatibility of poly(lactic acid) with polyhedral oligomeric silsesquioxanes. Chem. Eng. J. 2018, 346, 649–661. [Google Scholar] [CrossRef]
- Konnola, R.; Nair, C.P.R.; Joseph, K. Cross-linking of carboxyl terminated nitrile rubber with polyhedral oligomeric silsesquioxane. Cure kinetics. J. Therm. Anal. Cal. 2016, 123, 1479–1489. [Google Scholar] [CrossRef]
- Wang, R.; Wang, S.; Zhang, Y. Morphology, rheological behavior, and thermal stability of PLA/PBSA/POSS composites. J. Appl. Polym. Sci. 2009, 113, 3095–3102. [Google Scholar] [CrossRef]
- Kodal, M.; Sirin, H.; Ozkoc, G. Effects of reactive and nonreactive POSS types on the mechanical, thermal, and morphological properties of plasticized poly(lactic acid). Polym. Eng. Sci. 2014, 54, 264–275. [Google Scholar] [CrossRef]













| TgENR, (°C) | Tan δ at TgENR, (-) | TgPLA, (°C) (*) | |
|---|---|---|---|
| ENR or PLA | −12.64 | 2.41 | 55.21 |
| 20:80 | −9.13 | 1.98 | 51.2 |
| 20:80 Gly-POSS | −9.64 | 1.88 | 52.32 |
| 20:80 HO-POSS | −12.06 | 1.84 | 51.23 |
| 30:70 | −9.62 | 1.88 | 52.91 |
| 40:60 | −10.11 | 1.43 | 54.48 |
| 40:60 Gly-POSS | −10.08 | 1.04 | 55.39 |
| 40:60 HO-POSS | −14.10 | 1.07 | 54.79 |
| T5%, (°C) | TmaxPLA, (°C) | TmaxENR, (°C) | |
|---|---|---|---|
| PLA pellets | 328 | 350 | - |
| ENR | 367 | - | 418 |
| 20:80 | 259 | 287 | 438 |
| 20:80 Gly-POSS | 280 | 307 | 435 |
| 20:80 HO-POSS | 292 | 339 | 439 |
| 30:70 | 277 | 324 | 443 |
| 40:60 | 265 | 330 | 443 |
| 40:60 Gly-POSS | 292 | 340 | 448 |
| 40:60 HO-POSS | 286 | 337 | 439 |
| SE100, (MPa) | TS, (MPa) | TS*, (MPa) | Eb, (%) | Eb *, (%) | KC, (−) | |
|---|---|---|---|---|---|---|
| ENR | 0.26 ± 0.01 | 0.50 ± 0.04 | 0.68 ± 0.05 | 399 ± 31 | 369 ± 73 | 1.26 ± 0.05 |
| 20:80 | 0.95 ± 0.19 | 2.25 ± 0.22 | 2.24 ± 0.32 | 418 ± 87 | 352 ± 91 | 0.84 ± 0.04 |
| 20:80 Gly-POSS | 0.75 ± 0.13 | 2.23 ± 0.73 | 1.73 ± 0.41 | 360 ± 23 | 357 ± 31 | 0.77 ± 0.03 |
| 20:80 HO-POSS | 1.18 ± 0.20 | 2.49 ± 0.35 | 2.05 ± 0.39 | 247 ± 21 | 241 ± 42 | 0.80 ± 0.02 |
| 30:70 | 1.73 ± 0.24 | 3.64 ± 0.32 | 3.34 ± 0.22 | 337 ± 53 | 281 ± 48 | 0.76 ± 0.03 |
| 40:60 | 2.42 ± 0.26 | 3.28 ± 0.16 | 3.00 ± 0.27 | 179 ± 30 | 133 ± 28 | 0.68 ± 0.02 |
| 40:60 Gly-POSS | - | 3.24 ± 0.42 | 2.33 ± 0.31 | 48 ± 13 | 38 ± 24 | 0.56 ± 0.03 |
| 40:60 HO-POSS | 5.46 ± 0.38 | 5.12 ± 0.47 | 3.86 ± 0.39 | 119 ± 15 | 48 ± 17 | 0.30 ± 0.02 |
Publisher’s Note: MDPI stays neutral with regard to jurisdictional claims in published maps and institutional affiliations. |
© 2021 by the authors. Licensee MDPI, Basel, Switzerland. This article is an open access article distributed under the terms and conditions of the Creative Commons Attribution (CC BY) license (https://creativecommons.org/licenses/by/4.0/).
Share and Cite
Lipińska, M.; Toczek, K.; Stefaniak, M. Viscoelastic Properties of Epoxidized Natural Rubber/Poly(lactic acid) PLA/ENR Blends Containing Glycidyl-POSS and Trisilanolisooctyl-POSS as Functional Additives. Materials 2021, 14, 2686. https://doi.org/10.3390/ma14102686
Lipińska M, Toczek K, Stefaniak M. Viscoelastic Properties of Epoxidized Natural Rubber/Poly(lactic acid) PLA/ENR Blends Containing Glycidyl-POSS and Trisilanolisooctyl-POSS as Functional Additives. Materials. 2021; 14(10):2686. https://doi.org/10.3390/ma14102686
Chicago/Turabian StyleLipińska, Magdalena, Klaudia Toczek, and Magdalena Stefaniak. 2021. "Viscoelastic Properties of Epoxidized Natural Rubber/Poly(lactic acid) PLA/ENR Blends Containing Glycidyl-POSS and Trisilanolisooctyl-POSS as Functional Additives" Materials 14, no. 10: 2686. https://doi.org/10.3390/ma14102686
APA StyleLipińska, M., Toczek, K., & Stefaniak, M. (2021). Viscoelastic Properties of Epoxidized Natural Rubber/Poly(lactic acid) PLA/ENR Blends Containing Glycidyl-POSS and Trisilanolisooctyl-POSS as Functional Additives. Materials, 14(10), 2686. https://doi.org/10.3390/ma14102686

