Effect of Multi-Walled Carbon Nanotubes on Strength and Electrical Properties of Cement Mortar
Abstract
1. Introduction
2. Experimental
2.1. Materials
2.1.1. Carbon Nanotubes
2.1.2. Cement, Sand and Mortar
2.2. Methods
2.2.1. Testing Procedures
2.2.2. Electrical Resistivity Measurements
3. Results and Discussion
3.1. Consistency, Density and Setting Time
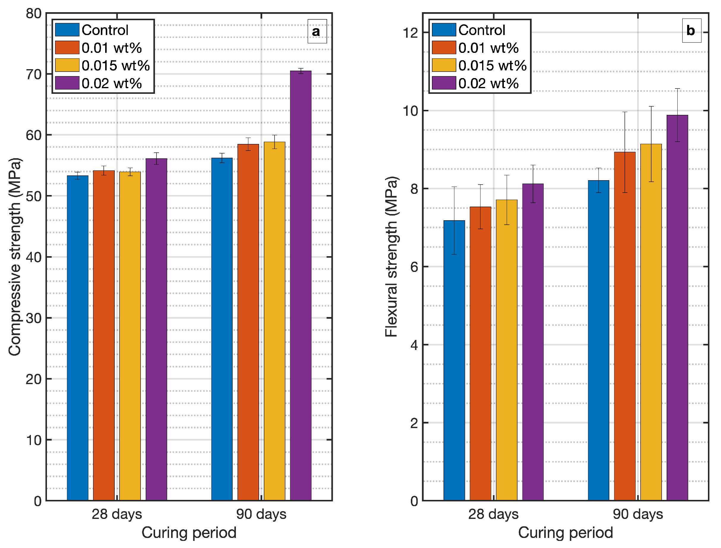
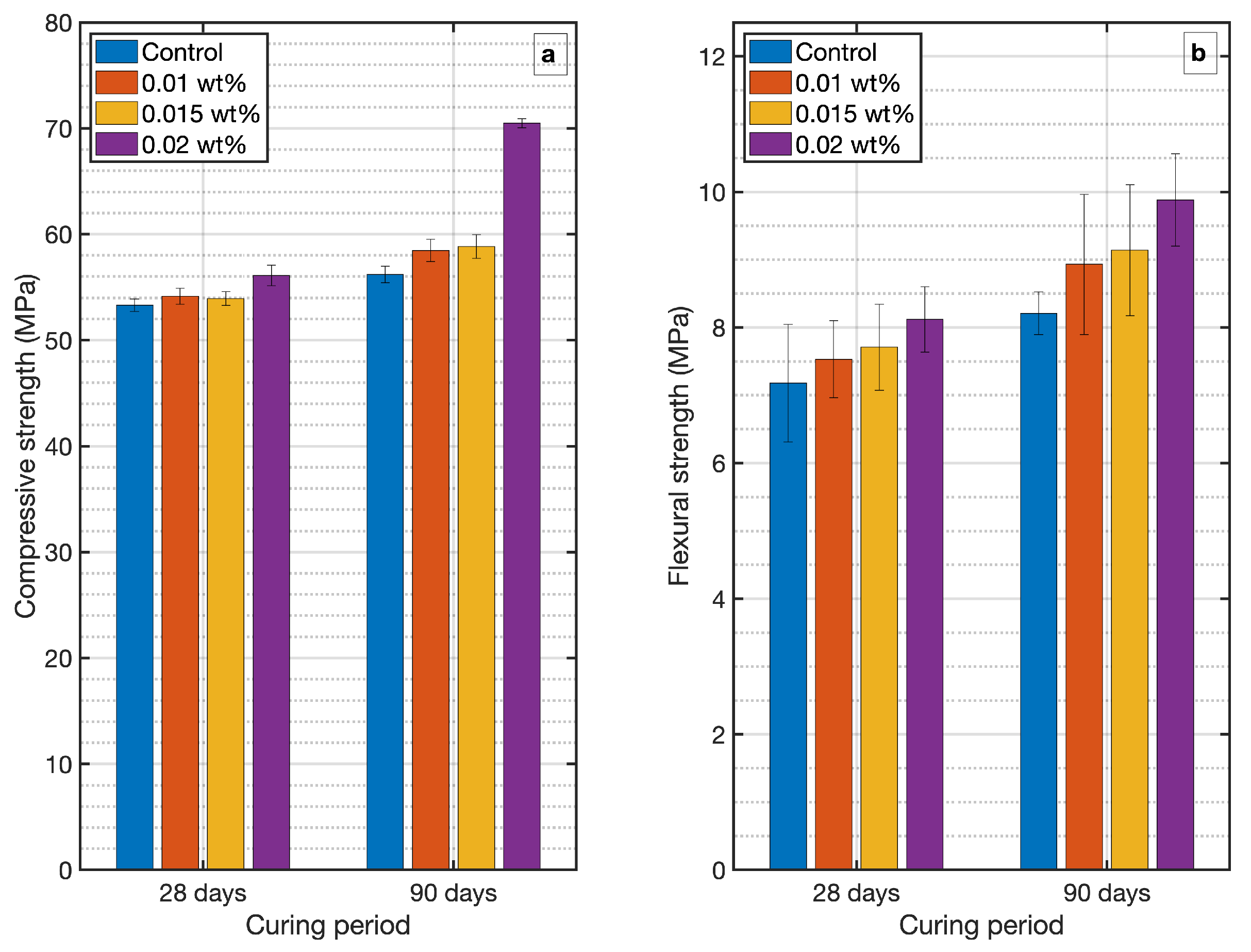
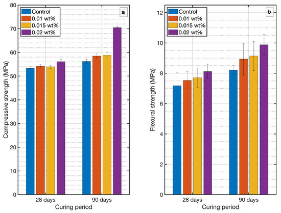
3.2. Compressive and Flexural Strength
3.3. Electrical Resistivity Analysis
4. Conclusions
Author Contributions
Funding
Institutional Review Board Statement
Informed Consent Statement
Data Availability Statement
Conflicts of Interest
References
- Gambhir, M.L. Concrete Technology: Theory and Practice; Tata McGraw-Hill Education: New York, NY, USA, 2013. [Google Scholar]
- Naik, T.R. Sustainability of concrete construction. Pract. Period. Struct. Des. Constr. 2008, 13, 98–103. [Google Scholar] [CrossRef]
- Armaghani, J.M.; Larsen, T.J.; Romano, D.C. Aspects of Concrete Strength and Durability. Transp. Res. Rec. 1992, 1335, 63–69. [Google Scholar]
- Bentz, D.P.; Clifton, J.R.; Ferraris, C.F.; Garboczi, E.J.; Torrents, J.M. Transport Properties and Durability of Concrete: Literature Review and Research Plan; Technical Report; U.S. Department of Commerce: Washington, WA, USA, 1999.
- Vu, C.C.; Plé, O.; Weiss, J.; Amitrano, D. Revisiting the concept of characteristic compressive strength of concrete. Constr. Build. Mater. 2020, 263, 120126. [Google Scholar] [CrossRef]
- Chen, X.; Wu, S.; Zhou, J. Variability of compressive strength of concrete cores. J. Perform. Constr. Facil. 2014, 28, 06014001. [Google Scholar] [CrossRef]
- Zech, B.; Wittmann, F. Variablility and Mean Value of Strength of Concrete as Function of Load. J. Proc. 1980, 77, 358–362. [Google Scholar]
- Madhavi, T.C.; Annamalai, S. Electrical conductivity of concrete. ARPN J. Eng. Appl. Sci. 2016, 11, 5979–5982. [Google Scholar]
- Levita, G.; Marchetti, A.; Gallone, G.; Princigallo, A.; Guerrini, G. Electrical properties of fluidified Portland cement mixes in the early stage of hydration. Cem. Concr. Res. 2000, 30, 923–930. [Google Scholar] [CrossRef]
- Yu, M.F.; Lourie, O.; Dyer, M.J.; Moloni, K.; Kelly, T.F.; Ruoff, R.S. Strength and breaking mechanism of multiwalled carbon nanotubes under tensile load. Science 2000, 287, 637–640. [Google Scholar] [CrossRef]
- Ajayan, P.M.; Schadler, L.S.; Giannaris, C.; Rubio, A. Single-walled carbon nanotube–polymer composites: strength and weakness. Adv. Mater. 2000, 12, 750–753. [Google Scholar] [CrossRef]
- Demczyk, B.G.; Wang, Y.M.; Cumings, J.; Hetman, M.; Han, W.; Zettl, A.; Ritchie, R. Direct mechanical measurement of the tensile strength and elastic modulus of multiwalled carbon nanotubes. Mater. Sci. Eng. A 2002, 334, 173–178. [Google Scholar] [CrossRef]
- Yu, M.F.; Files, B.S.; Arepalli, S.; Ruoff, R.S. Tensile loading of ropes of single wall carbon nanotubes and their mechanical properties. Phys. Rev. Lett. 2000, 84, 5552. [Google Scholar] [CrossRef] [PubMed]
- Makar, J.; Margeson, J.; Luh, J. Carbon nanotube/cement composites-early results and potential applications. In Proceedings of the 3rd International Conference on Construction Materials: Performance, Innovations and Structural Implications, Vancouver, BC, Canada, 22–24 August 2005; pp. 1–10. [Google Scholar]
- Li, G.Y.; Wang, P.M.; Zhao, X. Mechanical behavior and microstructure of cement composites incorporating surface-treated multi-walled carbon nanotubes. Carbon 2005, 43, 1239–1245. [Google Scholar] [CrossRef]
- Hawreen, A.; Bogas, J. Creep, shrinkage and mechanical properties of concrete reinforced with different types of carbon nanotubes. Constr. Build. Mater. 2019, 198, 70–81. [Google Scholar] [CrossRef]
- Lu, L.; Ouyang, D.; Xu, W. Mechanical properties and durability of ultra high strength concrete incorporating multi-walled carbon nanotubes. Materials 2016, 9, 419. [Google Scholar] [CrossRef]
- Hu, S.; Xu, Y.; Wang, J.; Zhang, P.; Guo, J. Modification Effects of Carbon Nanotube Dispersion on the Mechanical Properties, Pore Structure, and Microstructure of Cement Mortar. Materials 2020, 13, 1101. [Google Scholar] [CrossRef]
- Isfahani, F.T.; Li, W.; Redaelli, E. Dispersion of multi-walled carbon nanotubes and its effects on the properties of cement composites. Cem. Concr. Compos. 2016, 74, 154–163. [Google Scholar] [CrossRef]
- Elkashef, M.; Abou-Zeid, M.N. Performance of carbon nanotubes in mortar using different surfactants. Can. J. Civ. Eng. 2017, 44, 619–625. [Google Scholar] [CrossRef]
- Alrekabi, S.; Cundy, A.; Lampropoulos, A.; Savina, I. Experimental investigation on the effect of ultrasonication on dispersion and mechanical performance of multi-wall carbon nanotube-cement mortar composites. Studies 2016, 9, 11. [Google Scholar]
- Zou, B.; Chen, S.J.; Korayem, A.H.; Collins, F.; Wang, C.M.; Duan, W.H. Effect of ultrasonication energy on engineering properties of carbon nanotube reinforced cement pastes. Carbon 2015, 85, 212–220. [Google Scholar] [CrossRef]
- Collins, F.; Lambert, J.; Duan, W.H. The influences of admixtures on the dispersion, workability, and strength of carbon nanotube–OPC paste mixtures. Cem. Concr. Compos. 2012, 34, 201–207. [Google Scholar] [CrossRef]
- Wang, B.; Han, Y.; Liu, S. Effect of highly dispersed carbon nanotubes on the flexural toughness of cement-based composites. Constr. Build. Mater. 2013, 46, 8–12. [Google Scholar] [CrossRef]
- Kang, J.; Al-Sabah, S.; Théo, R. Effect of Single-Walled Carbon Nanotubes on Strength Properties of Cement Composites. Materials 2020, 13, 1305. [Google Scholar] [CrossRef] [PubMed]
- Xu, S.; Liu, J.; Li, Q. Mechanical properties and microstructure of multi-walled carbon nanotube-reinforced cement paste. Constr. Build. Mater. 2015, 76, 16–23. [Google Scholar] [CrossRef]
- Douba, A.; Emiroglu, M.; Kandil, U.F.; Taha, M.M.R. Very ductile polymer concrete using carbon nanotubes. Constr. Build. Mater. 2019, 196, 468–477. [Google Scholar] [CrossRef]
- Parveen, S.; Rana, S.; Fangueiro, R.; Paiva, M.C. Microstructure and mechanical properties of carbon nanotube reinforced cementitious composites developed using a novel dispersion technique. Cem. Concr. Res. 2015, 73, 215–227. [Google Scholar] [CrossRef]
- Xu, B.; Qiao, Y.; Zhou, Q.; Chen, X. Effect of electric field on liquid infiltration into hydrophobic nanopores. Langmuir 2011, 27, 6349–6357. [Google Scholar] [CrossRef]
- Yamabe, T.; Fukui, K.; Tanaka, K. The Science and Technology of Carbon Nanotubes; Elsevier: Amsterdam, The Nederland, 1999. [Google Scholar]
- Kim, G.M.; Yoon, H.N.; Lee, H.K. Autogenous shrinkage and electrical characteristics of cement pastes and mortars with carbon nanotube and carbon fiber. Constr. Build. Mater. 2018, 177, 428–435. [Google Scholar] [CrossRef]
- Kim, G.; Yang, B.; Cho, K.; Kim, E.; Lee, H. Influences of CNT dispersion and pore characteristics on the electrical performance of cementitious composites. Compos. Struct. 2017, 164, 32–42. [Google Scholar] [CrossRef]
- Sikora, P.; Abd Elrahman, M.; Chung, S.Y.; Cendrowski, K.; Mijowska, E.; Stephan, D. Mechanical and microstructural properties of cement pastes containing carbon nanotubes and carbon nanotube-silica core-shell structures, exposed to elevated temperature. Cem. Concr. Compos. 2019, 95, 193–204. [Google Scholar] [CrossRef]
- Spanish Association for Standardization. UNE-EN 1015-3:2000/A2:2007: Methods of Test for Mortar for Masonry-Part 3: Determination of Consistence of Fresh Mortar (by Flow Table); Spanish Association for Standardization: Madrid, Spain, 2007. [Google Scholar]
- European Committee for Standardization. EN 12390-3: 2020: Testing Hardened Concrete, Part 3: Compressive Strength of Test Specimens; European Committee for Standardization: Brussels, Belgium, 2020. [Google Scholar]
- European Committee for Standardization. EN 12390-5: 2020: Testing Hardened Concrete, Part 5: Flexural Strength of Test Specimens; European Committee for Standardization: Brussels, Belgium, 2020. [Google Scholar]
- Gowers, K.; Millard, S. Measurement of concrete resistivity for assessment of corrosion. ACI Mater. J. 1999, 96, 536–541. [Google Scholar]
- Broomfield, J.; Millard, S. Measuring concrete resistivity to assess corrosion rates. Concrete 2002, 36, 37–39. [Google Scholar]
- Liu, Y. Experiments and Modeling on Resistivity of Multi-layer Concrete with and Without Embedded Rebar; Florida Atlantic University: Boca Raton, FL, USA, 2008. [Google Scholar]
- Liu, Y.; Presuel-Moreno, F.J. Normalization of temperature effect on concrete resistivity by method using Arrhenius law. ACI Mater. J. 2014, 111, 433–442. [Google Scholar] [CrossRef]
- Manzur, T.; Yazdani, N.; Emon, M.; Bashar, A. Potential of carbon nanotube reinforced cement composites as concrete repair material. J. Nanomater. 2016, 2016, 1421959. [Google Scholar] [CrossRef]
- MacLeod, A.J.; Collins, F.G.; Duan, W.; Gates, W.P. Quantitative microstructural characterisation of Portland cement-carbon nanotube composites using electron and x-ray microscopy. Cem. Concr. Res. 2019, 123, 105767. [Google Scholar] [CrossRef]
- Madhavi, T.C.; Pavithra, P.; Singh, S.B.; Vamsi Raj, S.; Paul, S. Effect of multiwalled carbon nanotubes on mechanical properties of concrete. Int. J. Sci. Res. 2013, 2, 166–168. [Google Scholar]
- Tamimi, A.; Hassan, N.M.; Fattah, K.; Talachi, A. Performance of cementitious materials produced by incorporating surface treated multiwall carbon nanotubes and silica fume. Constr. Build. Mater. 2016, 114, 934–945. [Google Scholar] [CrossRef]
- Suchorzewski, J.; Tejchman, J.; Nitka, M. Discrete element method simulations of fracture in concrete under uniaxial compression based on its real internal structure. Int. J. Damage Mech. 2018, 27, 578–607. [Google Scholar] [CrossRef]
- Konsta-Gdoutos, M.S.; Aza, C.A. Self sensing carbon nanotube (CNT) and nanofiber (CNF) cementitious composites for real time damage assessment in smart structures. Cem. Concr. Compos. 2014, 53, 162–169. [Google Scholar] [CrossRef]
- Castro, J.; Spragg, R.; Kompare, P.; Weiss, W.J. Portland Cement Concrete Pavement Permeability Performance; Indiana Department of Transportation and Purdue University: West Lafayette, Indiana, 2010. [Google Scholar]
- Spragg, R.; Bu, Y.; Snyder, K.; Bentz, D.; Weiss, J. Electrical Testing of Cement-Based Materials: Role of Testing Techniques, Sample Conditioning, and Accelerated Curing; Indiana Department of Transportation and Purdue University: West Lafayette, Indiana, 2013. [Google Scholar]
- Kane, C.; Mele, E.; Lee, R.; Fischer, J.; Petit, P.; Dai, H.; Thess, A.; Smalley, R.; Verschueren, A.; Tans, S.; et al. Temperature-dependent resistivity of single-wall carbon nanotubes. EPL (Europhys. Lett.) 1998, 41, 683. [Google Scholar] [CrossRef]
- Whittington, H.; McCarter, J.; Forde, M. The conduction of electricity through concrete. Mag. Concr. Res. 1981, 33, 48–60. [Google Scholar] [CrossRef]






| External diameter | 6–13 nm |
| Length | 2, 5–20 m |
| Size | 10 m |
| Form | powder |
| Purity | >98% carbon basis |
| Special Surface Area | 220 m/g |
| Density | 2.1 g/mL at 25 C |
| Average Wall Thickness | 7–13 graphene layers |
| Elemental Content (%) | Si | |
| Ca | ||
| K | ||
| Mg | ||
| Fe | ||
| Al | ||
| P | ||
| S | ||
| Ti | ||
| Physical | Blaine number (cm/g) | |
| Setting start time (min) | 170 | |
| Initial setting time (min) | 170 | |
| Final setting time (min) | 220 | |
| Loss on Ignition (976 ) |
| Reference | MWCNTs Content (wt.%) | Sand (g) | Cement (g) | Water (g) |
|---|---|---|---|---|
| Control | 1350 | 450 | 225 | |
| CNT-0.01 | 1350 | 450 | 225 | |
| CNT-0.015 | 1350 | 450 | 225 | |
| CNT-0.02 | 1350 | 450 | 225 |
| Reference | MWCNTs Content (wt.%) | Consistency (mm) UNE-EN 1015-3 | Density (g/cm) UNE-EN 1015-6 | Setting Time (min) | |
|---|---|---|---|---|---|
| UNE-EN 196-3 | |||||
| Initial | Final | ||||
| Control | 1939 | 140 | 242 | ||
| CNT-0.01 | 2001 | 130 | 237 | ||
| CNT-0.015 | 2035 | 123 | 228 | ||
| CNT-0.02 | 2056 | 119 | 224 | ||
| MWCNTs Content (wt.%) | Compressive | Flexural | |||||
|---|---|---|---|---|---|---|---|
| Failure | Strength | Increase | Failure | Strength | Increase | ||
| Load (N) | (MPa) | % | Load (N) | (MPa) | % | ||
| 28 days | – | – | |||||
| 90 days | – | – | |||||
| MWCNT wt.% | (KJ · mol) | × 10 (S · cm) |
|---|---|---|
| Control | ||
| 0.01 wt.% | ||
| 0.015 wt.% | ||
| 0.02 wt.% |
Publisher’s Note: MDPI stays neutral with regard to jurisdictional claims in published maps and institutional affiliations. |
© 2020 by the authors. Licensee MDPI, Basel, Switzerland. This article is an open access article distributed under the terms and conditions of the Creative Commons Attribution (CC BY) license (http://creativecommons.org/licenses/by/4.0/).
Share and Cite
Cerro-Prada, E.; Pacheco-Torres, R.; Varela, F. Effect of Multi-Walled Carbon Nanotubes on Strength and Electrical Properties of Cement Mortar. Materials 2021, 14, 79. https://doi.org/10.3390/ma14010079
Cerro-Prada E, Pacheco-Torres R, Varela F. Effect of Multi-Walled Carbon Nanotubes on Strength and Electrical Properties of Cement Mortar. Materials. 2021; 14(1):79. https://doi.org/10.3390/ma14010079
Chicago/Turabian StyleCerro-Prada, Elena, Rosalía Pacheco-Torres, and Fernando Varela. 2021. "Effect of Multi-Walled Carbon Nanotubes on Strength and Electrical Properties of Cement Mortar" Materials 14, no. 1: 79. https://doi.org/10.3390/ma14010079
APA StyleCerro-Prada, E., Pacheco-Torres, R., & Varela, F. (2021). Effect of Multi-Walled Carbon Nanotubes on Strength and Electrical Properties of Cement Mortar. Materials, 14(1), 79. https://doi.org/10.3390/ma14010079

