Next Article in Journal
Modern Biodegradable Plastics—Processing and Properties: Part I
Next Article in Special Issue
Application of Walnut Shells-Derived Biopolyol in the Synthesis of Rigid Polyurethane Foams
Previous Article in Journal
Nonlinear Buckling Behavior of Spiral Corrugated Sandwich FGM Cylindrical Shells Surrounded by an Elastic Medium
Previous Article in Special Issue
Closed Cell Rigid Polyurethane Foams Based on Low Functionality Polyols: Research of Dimensional Stability and Standardised Performance Properties
 
 
Font Type:
Arial Georgia Verdana
Font Size:
Aa Aa Aa
Line Spacing:
Column Width:
Background:
Article

High Functionality Bio-Polyols from Tall Oil and Rigid Polyurethane Foams Formulated Solely Using Bio-Polyols

1
Polymer Laboratory, Latvian State Institute of Wood Chemistry, 27 Dzerbenes St., LV-1006 Riga, Latvia
2
Department of Chemistry and Technology of Polymers, Cracow University of Technology, Warszawska 24, 31-155 Cracow, Poland
*
Author to whom correspondence should be addressed.
Materials 2020, 13(8), 1985; https://doi.org/10.3390/ma13081985
Submission received: 27 March 2020 / Revised: 21 April 2020 / Accepted: 22 April 2020 / Published: 24 April 2020
(This article belongs to the Special Issue Performance Research of Polyurethane Foams and Composites)

Abstract

High-quality rigid polyurethane (PU) foam thermal insulation material has been developed solely using bio-polyols synthesized from second-generation bio-based feedstock. High functionality bio-polyols were synthesized from cellulose production side stream—tall oil fatty acids by oxirane ring-opening as well as esterification reactions with different polyfunctional alcohols, such as diethylene glycol, trimethylolpropane, triethanolamine, and diethanolamine. Four different high functionality bio-polyols were combined with bio-polyol obtained from tall oil esterification with triethanolamine to develop rigid PU foam formulations applicable as thermal insulation material. The developed formulations were optimized using response surface modeling to find optimal bio-polyol and physical blowing agent: c-pentane content. The optimized bio-based rigid PU foam formulations delivered comparable thermal insulation properties to the petro-chemical alternative.

Graphical Abstract

1. Introduction

Today, the European Union (EU) acknowledges that bio-based materials play a key role in the transition from a fossil to a bio-based economy, and they are essential to the development of a more circular and decarbonized economy fossil fuel carbon intensity. The use of fossil sources as raw materials in the industry is not circular and exhibits high carbon intensity [1]. Yet raw materials from natural resources have virtually infinite renewability. Regarding sustainability, bio-based feedstocks are viewed as suitable for the circular economy model and as a way to reduce the carbon footprint [1,2,3].
One of the most suitable raw materials for the production of bio-based plastics are fatty acids that are found in plants in the form of triglycerides. The high appropriateness mainly comes from their chemical modification opportunities, ready availability, low toxicity, and especially their attractive cost [4,5,6]. The global production of vegetable oils amounted to 205 million metric tons (Mt) in 2019 [7]. The most commonly used vegetable oils are palm oil (74 Mt), soybean oil (57 Mt), rapeseed oil (27 Mt), and sunflower seed oil (21 Mt) [8,9].
The use of vegetable oil for industrial purposes competes with food and feed production [10,11]. However, there are plant oils that do not compete with food production; a good example is tall oil (TO) [12]. Crude tall oil (CTO) (which is about 38–53% fatty acids, 38–53% rosin acids, including 6–20% unsaponifiables and other residues [13]) is the third-largest side stream of the softwood Kraft pulping process after lignin and hemicellulose [14]. The separation of CTO components by fractional distillation allows obtaining tall oil fatty acids (TOFAs), which contain at least 97% fatty acids (mainly 48–52% oleic acid and 43–48% linoleic acid) and less than 3% other components, such as rosin acids and unsaponifiables [15]. TOFAs have a high content of unsaturation and this allows converting the carbon–carbon double bonds relatively easily to more useful functional groups [16]. One such easily introducible functional groups in unsaturated compounds are hydroxyl groups which are essential for producing polyurethanes (PUs) by polycondensation reaction between diverse hydroxyl groups containing compounds (polyols) and isocyanates [2,4,17,18,19].
PUs are a class of polymers that have been widely used to manufacture high-performance materials in a wide range of applications. The main applications of PUs are for flexible and rigid foams, coatings, adhesives, sealants, and elastomers [20,21,22]. In almost 80 years of its existence, the production growth of PUs has on average been quite constant [23]. In 2016, with aggregate production of 18 Mt, PUs ranked sixth in the annual worldwide polymer production [20,24]. Forecasts for the future of PUs are very optimistic due to the new markets opened in Eastern Europe, Asia, and South America [23].
Regarding polyols based on plant oil feedstock, they have attracted considerable interest throughout the world as bio-based alternatives for PU production from fossil-based polyols, thus showing a great perspective towards a greener and more sustainable future [20,25].
In recent years, a variety of methods to obtain polyols from plant oils have been studied, including: epoxidation and oxirane ring-opening [2,4,26,27,28,29,30,31,32,33,34,35,36,37,38]; hydroformylation and hydrogenation [2,4,16,36,37,39]; ozonolysis [2,4,16,36,37]; air oxidation [16,40]; dihydroxylation [16]; thiol-ene coupling [4,19,37,41,42,43]; transesterification and transamidation [4,20,26,27,28,37,38,44,45], and photochemical epoxidation (Schenck-ene reaction) [46,47,48]. However, nearly all of the published papers about polyol synthesis from plant oils are focused just on low or medium functionality/hydroxyl value polyol synthesis. Rigid PU foam production requires polyols with high average OH group functionality to ensure high mechanical, dimensional, and thermal stability of the material [49].
The most commonly used pathway for bio-polyol synthesis involves the epoxidation of plant oil fatty acid ester (triglyceride or alkyl) and subsequent oxirane ring-opening. The synthesis of the oxirane group containing intermediates is especially useful as the functionality of developed bio-polyol can be changed by using appropriate oxirane ring-opening reagents. For elastomer and flexible PU foam manufacturing, polyols with secondary OH groups and lower average functionality (fn = 2–3) are more suited [49,50,51]. Polyols obtained from epoxy group opening with diethylene glycol (DEG) are more preferable for rigid PU foam production as they deliver higher functionality, fn = 3–5. Furthermore, polyols with an even higher average functionality of fn = 4–8 are necessary for the development of rigid PU foam formulations where polyols are used as crosslinking reagents [49,52,53]. Usually, such crosslinking polyols are obtained from petrochemical feedstock. The development of crosslinking polyols from bio-based feedstock would allow increasing the sustainable material content in the end product. Moreover, such polyols would be easier to up-scale to industrial production, as they would deliver additional benefits of material properties besides their valorization of bio-based feedstock.
Polyurethane is the sixth most used polymer on a global scale with an annual production of more than 18 million tons [54]. The majority of produced PU materials are flexible and rigid foams that are applied in various industries. The main application of rigid PU foam is as thermal insulation material in civil engineering and refrigerator appliances. Closed cell rigid PU foam thermal insulation applied in civil engineering usually has an apparent density of 40–60 kg/m3 with thermal conductivity of 20–30 mW/(m·K) [22,54,55]. Various sustainable feedstocks have been successfully used to develop rigid PU foams with low thermal conductivity wales, such as rapeseed oil [28,56], soybean oil [57], lignin [58], and recycled polyethylene terephthalate (PET) waste [53,59]. Although materials derived from sustainable feedstock have been used in the mentioned rigid PU foam formulations, the addition of petrochemical-based crosslinking reagents was required to develop a material with satisfactory properties.
The aim of this study was to develop rigid PU foam formulations with the end application as thermal insulation material using only bio-based polyols in the polyol component. In this study, a second-generation bio-based feedstock, TOFA, was used to develop four different bio-polyols with high average functionality. TOFA-based bio-polyols were obtained by a two-step process wherein the first step TOFA was epoxidized to introduce oxirane rings into the fatty acid backbone. In the next step of the TOFA-based bio-polyol synthesis, the oxirane rings were opened with different reagents. Furthermore, simultaneously with oxirane ring-opening, esterification of carboxylic groups of fatty acids was used to further increase the OH group functionality of the developed bio-polyols. The developed formulations were optimized to achieve rigid PU foams with an apparent density of 40 kg/m3, closed cell content >90%, low thermal conductivity values, typical for industry foaming parameters as well as maximal sustainable material content in the end material.

2. Materials and Methods

2.1. Materials

TOFAs (trade name FOR2) with a high content of fatty acids (>96%), and low content of rosin acids (1.9%) and unsaponifiables (1.8%) was ordered from Forchem Oyj (Rauma, Finland). Hydrogen peroxide, purum p.a., ≥35%; glacial acetic acid (EtOOH), puriss, ≥99.8%; 4-(dimethylamino)pyridine (DMAP), reagent plus, ≥99%; acetanhydride, puriss, ≥99%; dichloromethane, puriss p.a., ACS reagent; N,N-dimethylformamide (DMF), ACS reagent, ≥99.8%, water content ≤150 ppm; potassium hydroxide, puriss, ≥85%; potassium iodide, ACS reagent, ≥99%; tetraethylammonium bromide, reagent grade, 98%; perchloric acid, ACS reagent, 70%; anhydrous sodium sulfate, puriss; trimethylolpropane (TMP), reagent grade, 97%; diethylene glycol (DEG) puriss. p.a., ≥99.0% (GC), colorless; lithium perchlorate, ACS reagent, ≥95.0% were ordered from Sigma-Aldrich (Schnelldorf, Germany). Amberlite IR-120 H, strongly acidic, hydrogen form and sodium thiosulphate fixanals 0.1 M were ordered from Fluka (Bucharest, Romania). Diethanolamine (DEOA) 99.2% and triethanolamine (TEOA) 99.2% (Huntsman, Rotterdam, Netherlands) were used as purchased.
For the production of rigid PU foams the following materials were used as purchased: tris (1-chloro-2-propyl phosphate 99% (TCPP) as a flame retardant (Albermarle, Louvain-la-Neuve, Belgium); two tertiary amine-based catalysts Polycat® 5 and PC CAT Q7-2 as well as 30 wt.% of potassium acetate in DEG (PC CAT TKA 30) (Air Products and Chemicals Inc., Halfweg, Netherlands); Niax Silicone L-6915 as a surfactant (Momentive Performance Materials Inc., Rotterdam, Germany); and c-pentane as a physical blowing agent (Sigma-Aldrich, Schnelldorf, Germany). In addition, the isocyanate (NCO) component for all PU materials Desmodur 44V20 L (Covestro, Krefeld, Germany) was used. It is a solvent-free mixture of 4,4′-diphenylmethane diisocyanate (MDI) oligomers with high average functionality of 2.8–2.9 and NCO content of 30.5–32.5 wt.%.

2.2. Epoxidation of Tall Oil Fatty Acids

The epoxidation of TOFAs was achieved by in-situ generated peroxyacetic acid which forms from acetic acid and hydrogen peroxide in the presence of an acidic catalyst. TOFA (140.0 g, 0.855 mol of C=C, 155 g I2/100 g) was poured into a 4 neck round bottom flask. Acetic acid (25.7 g, 0.427 mol) and an ion exchange resin Amberlite IR-120 H (28.0 g, 20% of TOFA weight) was added to the flask. The flask was immersed in a thermostatic water bath (preheated to 40 °C). A mechanical stirrer, thermocouple, and a reflux condenser were attached to the necks of the flask. The speed of the mechanical stirrer was set to 600 rpm and the mixture started to stir. Hydrogen peroxide 35% water solution (127.7 g, 1.282 mol) was poured into a dropping funnel and the funnel was attached to the round bottom flask. When the content of the flask reached 40 °C, hydrogen peroxide solution was added dropwise to the round bottom flask in a time interval of 30 min; meanwhile, the temperature of the reaction medium was slowly increased to 60 °C. After the complete addition of hydrogen peroxide, the reaction medium continued to stir for 6 h at constant conditions. Afterwards, the reaction mixture was poured into a separating funnel and washed 4 times with warm (T = 60 °C) water. The organic layer was dried on a rotatory vacuum evaporator to remove water residues. As a result, pomegranate red product, epoxidized tall oil fatty acids (ETOFAs), was obtained exhibiting the acid value of 142 mg KOH/g, oxirane content 2.31 mmol/g, and iodine value of 26.5 g I2/100 g.

2.3. Synthesis of Polyols

High functionality polyols were synthesized by functionalizing previously obtained ETOFAs. The oxirane ring-opening of ETOFAs and subsequent esterification with different polyfunctional alcohols, such as TMP, DEG, TEOA, and DEOA, were used to obtain bio-based polyols. The following acronyms were used for each polyol: ETOFA/TMP, ETOFA/DEG, ETOFA/TEOA, and ETOFA/DEOA.
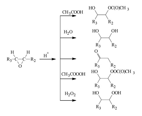
To obtain TOFA-based bio-polyols, first the oxirane ring-opening was carried in the four neck round bottom flask to which the multifunctional alcohol/amine (0.6776 mol; see Table 1 for corresponding mass) and lithium perchlorate LiClO4 as a catalyst (0.7 g; 0.5% of ETOFA mass) were added. The flask was put into an oil bath and a mechanical stirrer was inserted into the central neck. A Liebig condenser, purge gas tube, and a thermocouple were attached to the vacant necks. The mixer was set to 200 rpm and the flow of purge gas (argon) through the flask was provided, while the content of the flask was heated up to 120 °C. When the required temperature for oxirane ring-opening was reached, 140 g ETOFA (0.323 mol oxirane, 0.354 mol –COOH) was added dropwise to the flask in a time interval of 20 min. After the complete addition of ETOFA, the reaction medium continued to stir for 1 h at the temperature of 120 °C to completely open the oxirane rings. Afterwards, the synthesis temperature was increased to carry out the esterification/amidation reactions (see the corresponding temperature for each alcohol/amine used in Table 1). The stirring of the reaction medium and the argon gas flow was retained for at least five more hours until the acid value of the product decreased below 10 mg KOH/g. The idealized scheme of four high functionality bio-polyol synthesis pathways and the chemical structure of developed bio-polyols are depicted in Figure 1.

2.4. Characterization of Polyols and Their Precursors

The obtained bio-polyols were characterized by hydroxyl and acid values which were determined using titrimetric methods according to DIN 53240-2:2007 and DIN 53402:1990 testing standards. Epoxide content was determined according to ASTM D1652-04:2004. Iodine value was determined by the Hanus method ISO 3961:2013. The viscosity of polyols was analyzed at 25 °C using Thermo Scientific HAAKE (Medium-High Range Rotational Viscometer, Thermo Fisher Scientific, Waltham, MA, USA). Polyol density was determined by using a set of hydrometers. A graduated cylinder filled with polyol was immersed into a thermostatic bath at 20 °C. Density was measured 20 min after hydrometer immersion. The moisture content was determined by Karl Fisher titration using Denver Instrument Model 275KF automatic titrator (Denver Instrument, Bohemia, NY, USA).
Polyol structure was analyzed by Fourier transform infrared (FTIR) spectrometry data, which were obtained with a Thermo Scientific Nicolet iS50 spectrometer (Thermo Fisher Scientific, Waltham, MA, USA) at a resolution of 4 cm−1, 32 scans. The FTIR data were collected using attenuated total reflectance technique with ZnSe and diamond crystals. Size exclusion chromatography (SEC) from Knauer equipped with refractive index detector (Detector RI) and polystyrene/divinylbenzene matrix gel column with a measurement range up to 30,000 Da at tetrahydrofuran (THF) eluent flow of 1.0 mL/min was used to analyze the number-average molecular weight (Mn) and number-average functionality (fn) of the synthesized bio-polyols. Poly(methyl methacrylate) standards with molecular mass in-between 102–18,700 Da were used to create a calibration curve. The polyols’ fn was calculated based on hydroxyl values, and Mn as seen in Equation (1) [60].
f n = M n · OH val 56110
where fn is the number-average functionality; Mn is the number-average molecular weight; OHval is the hydroxyl value of the polyol.

2.5. Rigid PU Foam Development and Formulation Optimization

The four TOFA-based bio-polyols were used for rigid PU foam development. The developed rigid PU foam formulations are depicted in Table 2. Bio-polyol with lower functionality based on tall oil (TO) esterification with TEOA (ester polyol TO_TEOA) previously developed by our research group was also used in PU foam formulations [61,62]. Varied mass ratios of the TO_TEOA with OHval of 334 mg KOH/g, water content of 0.45 wt.%, viscosity of 280 mPa⋅s at 25 °C, fn = 2.4 and Mn = 391, and newly synthesized bio-polyols were used to find optimal rigid PU foam formulations. Previous experience showed that it is necessary to add polyether type polyol into rigid PU foam formulations to enhance the bio-polyol miscibility with water. Thus, a small amount of glycerol was used. Glycerol can also be derived from renewable feedstock and thus would form the third bio-based crosslink polyol in PU formulations [63]. A combination of two blowing agents, a chemical blowing agent (distilled water) and a physical blowing agent (c-pentane) was used. The chemical blowing agent content was kept constant at 2 parts by weight (pbw) as its variation would impact the chemical composition of the rigid PU foam polymer matrix. The amount of physical blowing agent was varied between 0–15 pbw and its influence on the apparent density of the developed rigid PU foam was studied. A constant amount of TCPP flame retardant (8 wt.%) of PU foam mass was selected for all developed rigid PU foam formulations. TCPP is commonly used in rigid PU foams that are applied in civil engineering. Lastly, all rigid PU foam formulations had a set isocyanate index of 150. The catalyst package was adjusted for each of the TOFA-based bio-polyol series to ensure good PU foam properties.
Furthermore, sustainable material content, as well as the green carbon content of the developed materials were calculated. The sustainable material content was expressed as the total mass of renewable feedstock in PU formulation divided by the total mass of PU formulation; the value was multiplied by a factor of 100, and result expressed in percent (%). The sustainable material content of each synthesized bio-polyol is depicted in Table 1, whereas tall oil content in TO_TEOA polyol was 60%. The green carbon content was expressed as the total mass of green carbon in renewable feedstock divided by the total amount of carbons in PU formulation; the value was multiplied by a factor of 100 and expressed in percent (%). For bio-polyols, the idealized structure was assumed in the calculation. The green carbon content was slightly higher than sustainable material content because the non-renewable raw materials contain many non-carbon elements, such as nitrogen, phosphorous, and chlorine.
The substances listed in Table 2 (green polyols, catalyst, blowing agent, surfactant, and flame retardant) were used to prepare the polyol component of the rigid PU foams by stirring them for 1 min with a mechanical stirrer at 2000 rpm. Afterwards, the polyol component was conditioned at room temperature for at least 2 h to release mixed in air. Rigid PU foams were obtained by mixing polyol and isocyanate (pMDI) components with a mechanical stirrer at 2000 rpm for 15 s and the reacting PU foam mass was poured into an open-top mold.
As seen in Table 2, a few of the used reagents are depicted as a range between certain values. This depicts the experimental matrix of the rigid PU foam formulation optimization. Three factors of the rigid PU foam formulations were changed: the content of the newly developed TOFA-based bio-polyols, the content of the low functionality TO_TEOA polyol, and the content of the physical blowing agent c-pentane in part by weight ratios of 0–95, 95–0, and 0–15, respectively. The experiment matrix of the changed factors is depicted in Table 3. Following c-pentane content for each new TOFA-based bio-polyol and TO_TEOA polyol ratios were tested at 0, 3, 6, 9, 12, and 15 pbw. In total, 36 rigid PU foam formulations were tested for each of the four different TOFA-based bio-polyols amounting to 144 tested formulations.
The altered factor influence on rigid PU foam properties was optimized using response surface modeling (RSM) which was done with the help of Design Expert software (Version V12.0.7.0, Stat-Ease, Inc. Minneapolis, MN, USA). The following responses were investigated which were tested according to respective testing standards: apparent density ISO 845:2006, closed cell content ISO 4590:2016, and technological rigid PU foam foaming parameters (start time, string time, tack-free time, and rise time—cup test methodology). A linear or polynomic model was fitted for each response that optimized rigid PU foam formulation in targeted constraints and delivered a desirability surface. The most optimal rigid PU foam formulation and a few others in the area of highest desirability were selected to obtain larger scale rigid PU foam samples to test the thermal conductivity and compression strength. The thermal conductivity was measured according to ISO 8301:1991 at an average temperature of 10 °C (cold plate: 0 °C and hot plate: +20 °C, sample dimensions: 200 × 200 × 30 mm). The compression strength of rigid PU foams was tested perpendicular and parallel to the foaming direction using Zwick/Roell Z100 testing machine (Zwick Roell Group, Ulm, Germany), standard EN ISO 844:2014, maximum load-cell capacity 1 kN, the deformation rate: 10%/min) for cylinder specimens with diameter and height of ~20 mm. Six specimens were analyzed for each formulation. The optimization of rigid PU foam formulation resulted in several systems that could be applied as thermal insulation material in the construction industry.

3. Results and Discussion

3.1. Characterization of Synthesized TOFA-Based Bio-Polyols

Two subsequent processes carried out high functionality TOFA-based bio-polyol synthesis from ETOFAs. The first step of high functionality TOFA-based bio-polyol synthesis was TOFA epoxidation using in-situ formed peroxyacetic acid; this step was described in a previous study by Vanags et al. [64]. The epoxidized TOFA was used as a raw material for the subsequent bio-polyol synthesis. The second step was ETOFA oxirane ring-opening and esterification/amidation of fatty acid carboxyl groups with various molecular sub-units, such as TMP, DEG, TEOA, and DEOA. As epoxy ring-opening catalyst LiClO4 was used, but the esterification/amidation reaction was insured by the increase of the reaction medium temperature as described in Table 1. The extent of the novelty consisted in the principle that the carboxylic groups of TOFAs were not blocked before TOFA epoxidation. The described synthesis approach complied with the principles of Green chemistry and simplifyied the overall process by circumventing an additional synthesis step. Unfortunately, this resulted in undesired side reactions of oxirane ring-opening with carboxylic groups of TOFAs, which formed dimers, trimers, and further higher molecular mass oligomers.
The chemical structures of ETOFAs and possible side reaction products, as well as their average molecular mass, are depicted in Figure 2. Side reaction formation is clearly seen in SEC analysis when neat TOFAs are compared with ETOFAs (Figure 2.). In addition, other possible side reactions may occur during the epoxidation process (Figure 3). The formation of oligomerization products is undesired because it reduces the overall content of oxirane groups along with increasing the viscosity of ETOFAs and subsequent bio-polyols. The selectivity of the TOFA epoxidation was estimated to be only 54% (please see our previous publication [64]). Nevertheless, the obtained ETOFAs can be considered as a suitable raw material for bio-polyol synthesis as they exhibit relatively high oxirane oxygen content of 2.21 mmol/g or 3.54% of oxirane oxygen.
The main characteristics of synthesized TOFA-based bio-polyols, such as hydroxyl value, viscosity, acid value, moisture content, density, number average functionality, average molar mass, and polydispersity, are summarized in Table 4. The synthesized TOFA bio-polyols have a relatively high OH value that is necessary and typical for polyols to be used for rigid PU foam development. The high viscosity of bio-polyols could be problematic for further upscale of the technology as it will limit their application due to limitations of the processing equipment. However, the viscosity of synthesized polyols is comparable with Lupranol®3422, a sorbitol-based polyol with fn = 6, produced by BASF which has a viscosity of 22,750 mPa·s [65]. Synthesized high functionality bio-polyols can be compared to Lupranol®3422 and other polyols that are obtained from propyl oxidation of sorbitol, such as R-4720 from Repsol, Voranol™ RN 482 from Dow, and Rokopol® RF55 from PCC Rokita, as the number average functionality of synthesized polyols is quite high at fn = 5.0–9.3. The high fn of the synthesized bio-polyols makes them suitable as crosslinking reagents in PU material development.
All four TOFA bio-polyols are a mixture of several oligomerization products as seen from SEC analysis depicted in Figure 4. The largest peak area for the polyol structures is depicted in Figure 1. Each consecutive peak is for the dimerization, trimerization, and oligomerization products that are obtained due to TOFA dimerization during epoxidation as well as oligomerization during the oxirane ring-opening reaction. The presence of several different molecular mass products together with the branched structure of the TOFA-based bio-polyols is the reason for the relatively high viscosity. Nevertheless, this does not hinder their application in the rigid PU foam development. It must be mentioned that ETOFA_TME, ETOFA_DEG, and ETOFA_TEOA polyols contain a significant number of unreacted reagents used for oxirane ring-opening and esterification of TOFA carboxylic groups: 11.5%, 6.1%, and 16.9%, respectively. In the case of ETOFA_DEOA polyol, the amount of free DEOA is only ~2.3%, indicating that DEOA is significantly more selective towards ETOFA oxirane ring-opening and carboxylic group amidation. This is also confirmed by a much lower amount of oligomerization products and lower polydispersity (pd = 1.28) of ETOFA_DEOA polyol. The significantly higher viscosity of ETOFA_DEOA polyol is explained by the hydrogen bonding of the polar amide groups present in the bio-polyol structure.

3.2. Characterization of the Chemical Structure of Synthesized Bio-Polyols Using FTIR

The conversion of functional groups during each step of polyol synthesis was studied by FTIR spectroscopy. The FTIR spectra of TOFA, ETOFA, and resulting bio-polyols are presented in Figure 5. The broad absorption peak between 3600–3125 cm−1 for all spectra of synthesized polyols is characteristic for stretching vibrations of OH and NH groups. The intensity of OH group absorption band correlates with titrimetric OH value results presented in Table 4 where ETOFA_DEG polyol has the lowest height peak. TOFA, ETOFA, and the obtained bio-polyols had typical peaks of –CH2 symmetric and asymmetric stretching at ~2930 and 2860 cm−1.
TOFA-based bio-polyol synthesis can be followed by the change in oxirane ring vibration peak and by the change of C=O stretching position. The oxirane ring vibration peak at 823 cm−1 of ETOFA disappeared in TOFA bio-polyol FTIR spectra which confirms the conversion towards the desired reaction. Moreover, the oxirane ring-opening was confirmed by the titrimetric analysis method where the oxirane oxygen content in all four TOFA-based bio-polyols was below 0.01 mmol/g. The side reactions during TOFA epoxidation depicted in Figure 2 are confirmed by the development of a shoulder peak of C=O ester stretching at 1736 cm−1 for ETOFA intermediate product. The carboxylic group C=O stretching vibration at 1707 cm−1 of TOFAs disappeared for ETOFA_TMP, ETOFA_DEG, and ETOFA_TEOA polyols as it shifted towards C=O stretching vibration of esters at ~1733 cm−1.
ETOFA_TEOA and ETOFA_DEOA polyols have a significant difference in FTIR spectra when compared with ETOFA_TMP and ETOFA_DEG polyols. A tertiary amine group was identified at ~1036 cm−1 that could provide autocatalytic properties of the developed bio-polyols. Furthermore, the amide structure of ETOFA_DEOA was confirmed by C=O stretching vibration peak shift to 1625 cm−1. ETOFA_DEOA polyol contains a mixture of DEOA esters as well as amides similar to structures reported by Stirna et al. [66].

3.3. Development of ETOFA_TMP Polyol Based Rigid PU Foam

All four developed high functionality TOFA-based bio-polyols have the potential to be applied as crosslinking reagents in the rigid PU foam material formulations due to higher than average OH group functionality at a relatively low molecular weight. Three factors were optimized for each PU foam series, the content of TOFA-based bio-polyol, the content of TO_TEOA polyol, and the content of physical c-pentane blowing agent. Experimental factors were changed according to the matrix described in Table 3. Six different responses were evaluated, such as apparent density of rigid PU foam, closed cell content, sustainable material content in rigid PU foams, foaming start time, PU foam string time, and PU foam tack-free time. The emphasis was put to obtain rigid PU foams with an apparent density of 40 ± 5 kg/m3, closed cell content above >90%, and maximum sustainable material content in rigid PU foams.
The data were analyzed employing multiple regression techniques to develop RSM. The altered factor influence on the selected responses was approximated using the linear or second-order polynomial model at the 95% confidence level. The developed models were further optimized to remove non-significant terms of the model (p-value less than 0.05). TOFA-based bio-polyol and TO_TEOA polyol content in rigid PU foam formulations are mutually dependent in the selected experimental matrix, thus only the content of one polyol can be used as a factor in the model development. The obtained response surface of ETOFA_TMP polyol and c-pentane influence on rigid PU foam apparent density and closed cell content is presented in Figure 6 where determined values are depicted as the red points above the response surface and pink points below the response surface. The determined coefficients for the rigid PU foam parameter response surface models are summarized in Table 5. The developed models fit reasonably well in the experimental data with R2 values larger or close to 0.9. The developed models can be used to predict rigid PU foam foaming parameters and optimize desired properties. An example of the response surface equation for one of the parameters is described by Equation (2), where A is the content of TOFA-based bio-polyols, but B is the content of c-pentane in pbw.
Response = X1 + X2·A + X3·B + X4·A·B + X5·A2 + X6·B2
The decrease of the apparent density of ETOFA_TMP rigid PU foam series with the increase of c-pentane content is self-evident (Figure 6). Furthermore, the polyol composition also had a slight influence on the apparent density of the developed rigid PU foams. It decreased with the decrease of ETOFA_TMP polyol content. It can be explained by two aspects; first, the viscosity of ETOFA_TMP polyol is much higher than the viscosity of TO_TEOA: 77,000 and 280 mPa⋅s, respectively. The higher viscosity of ETOFA_TMP hinders the rigid PU foam bubble expansion, and thus the increase of apparent density of rigid PU foam with the increase of ETOFA_TMP polyol content. The second aspect is related to the chemical structure of both polyols. ETOFA_TMP polyol does not have tertiary amine groups in its structure (see Figure 5), whereas TO_TEOA does. Higher reactivity and autocatalytic properties of TO_TEOA polyol along with its lower viscosity decreased the apparent density of the developed rigid PU foam. Apparent density is a paramount parameter of rigid PU foam as it influences not only physical properties of the material, but also is important as an economical factor. A thermal insulation producer would be interested to use as little of the material as possible while maintaining good thermal insulation performance. The closed cell structure of rigid PU foam is also essential to reach low thermal conductivity values as they directly correlate with the blowing agent gas content locked inside rigid PU foam cells. The closed cell content was only slightly changed by different c-pentane content as depicted in Figure 6. The polyol type used in rigid PU foam formulation had the largest influence on the closed cell content of the material. Figure 6 shows that it is necessary to use high functionality polyols in rigid PU foam formulation to obtain a material with closed cell morphology. This is directly related to the chemical structure of PU polymer matrix and its crosslinking density. It was possible to obtain rigid PU foams with closed cell content above 90% with an apparent density as low as 31 kg/m3 when ~44 pbw of ETOFA_TMP polyol was used in rigid PU foam formulation.
Rigid PU foam foaming parameter RSM analysis is depicted in Figure 7. C-pentane content had little influence on the start time of PU foam foaming. It decreased with decreasing content of ETOFA_TMP polyol and increasing content of TO_TEOA polyol due to the autocatalytic properties of the latter. The increase of c-pentane content slightly increased PU foam string and tack-free time as the physical blowing agent cools down the PU foam mass during the foaming process, thus reducing the reactivity of the material. The sustainable material content in rigid PU foam is also depicted in Figure 7. This parameter was not measured but calculated from the mass of tall oil used in the different polyol synthesis. Sustainable material content decreased with the addition of c-pentane and ETOFA_TMP polyol.
Similar data were obtained for the other three TOFA-based bio-polyols. The response surface figures of ETOFA_DEG polyol, ETOFA_TEOA, ETOFA_DEOA, and c-pentane influence on the developed rigid PU foam apparent density, closed cell content start time, string time, tack-free time, and sustainable material content are depicted in Figures S1–S3 of the Supplementary Material, respectively. Moreover, the RSM model coefficients of ETOFA_DEG polyol, ETOFA_TEOA, ETOFA_DEOA polyol series are summarized in Tables S1–S3, respectively. The influence of the other three TOFA-based bio-polyols on rigid PU foam properties was similar to ETOFA_TMP polyol with a few exceptions. ETOFA_TEOA and ETOFA_DEOA bio-polyols did not significantly change the rigid PU foam foaming parameters, because their chemical structure contains tertiary amine groups, the same as for TO_TEOA polyol. Rigid PU foam developed using ETOFA_DEOA had decreased closed cell content of ~70% which is not satisfactory. The main issue was ETO_DEOA polyol miscibility with other components due to its high viscosity. Furthermore, ETOFA_DEOA polyol mixing with isocyanate was also problematic which resulted in very low dimensional stability of the PU foam. In the present formulations, ETOFA_DEOA polyol was not suitable for further thermal insulation material development. The obtained ETOFA_TMP, ETOFA_DEG, and ETOFA_TEOA polyol RSM surface models were used to optimize rigid PU foam formulations.

3.4. Optimization of Developed Rigid PU Foam Formulations

Multiple response optimization was done by using an objective function D(X), called the desirability function. It is a function of the desirable range for each response (di). Each response is described by a desirable range from one to zero, where one is the most desirable and zero is the least desirable. The simultaneous objective function is a geometric mean of all transformed responses described by Equation (3), where n is the number of responses. Furthermore, different values of importance were assigned to each response relative to the other responses. The importance (ri) was varied from least important at the value of 1, to the most important at the value of 5. If the response or factors fall outside their desirability range, the overall function becomes zero [67].
D = ( d 1 r 1 · d 2 r 2 · · d n r n ) 1 r i = ( i = 1 n d i r i ) 1 r i
For simultaneous optimization, target values were selected for each response which are summarized in Table 6. Furthermore, the different importance level values were assigned for each target value. Rigid PU foams with an apparent density of 40 ± 5 kg/m3 were targeted as such material is most commonly used in civil engineering applications. The closed cell content above 90% and the maximal sustainable material content was prioritized. Lastly, rigid PU foam foaming parameters in the typical range for hand-mixed formulations were selected.
The obtained desirability response from Equation (3) can be plotted as a surface in-between changed content of TOFA bio-polyol and c-pentane. For ETOFA_DEOA polyol series the desirability analysis was not done, because it was not possible to obtain rigid PU foams with closed cell content above 90% due to high viscosity of the polyol and miscibility problems with other components. The obtained desirability responses are depicted in Figure 8. The highest value of desirability and few additional formulations in the area of high desirability response were selected to produce larger rigid PU foam samples for further testing. The selected formulations with corresponding flag numbers from Figure 8 and their desirability response are presented in Table 7. The other components of rigid PU foam formulation were selected the same as described in Table 2. The isocyanate index for all rigid PU foams was 150.

3.5. Development of Rigid PU Foam Thermal Insulation Using Optimized Formulations

Rigid PU foam formulations described in Table 7 were used to obtain larger samples of rigid PU foam material to measure the thermal conductivity. The apparent density between all samples was in the range of 37.7–40.5 kg/m3 which closely fits with the predictions made by the developed model from Table 5, and Tables S1 and S2. Furthermore, the closed cell content for all of the larger rigid PU foam samples was as expected, above 90%. The main goal of the study was to obtain good quality thermal insulation material with a low value of thermal conductivity coefficient λ, which was achieved (Figure 9). The obtained λ values were in direct correlation with the content of the physical blowing agent c-pentane used in the foam material. The λ values were as low as 20.5–23.7 mW/(m·K) which is considered acceptable for industrial application. Unfortunately, rigid PU foam formulation from ETOFA_TEOA polyol at 35 pbw and c-pentane content at 5 pbw had a quite high initial λ value of 27.6 mW/(m·K), which is not satisfactory. A higher λ value directly correlates with comparably low c-pentane content and with the chemical structure of used polyol. ETOFA_TEOA polyol content of 35 pbw is deemed to be too low to obtain a highly crosslinked PU polymer matrix which is required to retain a blowing agent inside of the closed cells. The crosslink density influence on rigid PU foam thermal conductivity can also be judged from the λ values of ETOFA_TMP polyol series. They were the lowest when compared to the other two TOFA bio-polyols which correlates with the high average OH group functionality of the polyol.
The compression strength was measured for ETO_TMP polyol based rigid PU foams because they showed the best thermal conductivity performance in comparison with other TOFA-based bio-polyols. This was done to identify the most commonly used characteristics of developed thermal insulation material and to compare them with industrially used reference material. The compression strength and compression modulus data for ETOFA_TMP based rigid PU foams were measured parallel and perpendicular to the foaming direction, as depicted in Figure 10. The developed ETOFA_TMP polyol based rigid PU formulations had especially good agreement with predicted values of the apparent density. Average values of apparent density between all tested compression strength materials were 39.1 ± 1.3 kg/m3 which is very close to the desired value of 40 kg/m3. Rigid PU foam compression strength and compression modulus had an almost linear correlation with the content of ETOFA_TMP polyol in the formulation. This is explained by the increase in the crosslink density of the PU polymer matrix due to high ETOFA_TMP polyol functionality. The different content of c-pentane had little effect on the rigid PU foam mechanical properties, although it is expected that it could decrease the mechanical properties because c-pentane acts as a plasticizer.
The common properties of the developed rigid PU foam formulations were compared to typical commercially used spray, applied rigid PU foam thermal insulation material from BASF (Table 8) and a commercial mixture of polyester polyol from Purinova. Furthermore, the developed rigid PU foams were compared to other rigid PU foams developed using sustainable feedstocks, such as PPWC-0T—tall oil based polyol; RO/PET_150—polyol from recycled PET and rapeseed oil, and F0—formulation based on sucrose/glycerin initiated polyether polyols. The chosen rigid PU foam formulations from literature data were selected, because they had similar apparent density and isocyanate index to developed rigid PU foam. The initial thermal conductivity of the developed rigid PU foam formulations was similar or better than for compared materials. It must be mentioned that the comparison material was foamed using hydrofluorocarbon (HFO) blowing agents. HFO blowing agents usually deliver superior thermal conductivity properties because c-pentane tends to leak from rigid PU foam over time. The long term stability of thermal conductivity for developed materials must be tested for further upscale of the technology. The high functionality of ETOFA_TMP polyol obtained rigid PU foams with much higher compression properties at the same apparent density when compared to reference foams. The developed rigid PU foam had sustainable material content of 19.4% which can be considered relatively high as more than half of PU material mass is derived from polyisocyanate. The high viscosity of ETOFA_TMP polyol could be problematic for further upscale. Unfortunately, the viscosity of the polyol component was not measured, but it is expected that it will be lower than for neat ETOFA_TMP polyol.

4. Conclusions

Tall oil fatty acids were used as a second-generation feedstock to obtain four different high functionality bio-polyols. Bio-polyols were synthesized without solvent and harmful byproducts did not form during the synthesis. The obtained TOFA-based bio-polyols were characterized with a high number average functionality of 5.0–9.3 and relatively low molecular mass of 569–1215 g/mol. It was demonstrated that it is possible to obtain good quality rigid PU foam thermal insulation using only bio-polyols in the polyol component of the material. Synthesized high functionality bio-polyols are required to obtain rigid PU foams with closed cell structure. The chemical structure of developed bio-polyols had a direct influence on the foaming parameter of the developed polyurethane formulations as bio-polyols containing tertiary amine groups delivered autocatalytic properties. The obtained bio-polyols were used to develop rigid PU foam thermal insulation with an apparent density of ~40 kg/m3 and thermal conductivity as low as 20.5–23.7 mW/(m·K). Best quality rigid PU foams for civil engineering application were obtained using ETO_TMP with lower thermal conductivity values when compared to other TOFA-based bio-polyols. A response surface model that predicts the apparent density of rigid polyurethane foams when the content of bio-polyols and blowing agent is changed was developed. The developed rigid polyurethane foams had similar thermal conductivity as commercially used alternatives but ~46% higher compression strength properties.

Supplementary Materials

The following are available online at https://www.mdpi.com/1996-1944/13/8/1985/s1, Figure S1: The influence of ETOFA_DEG polyol and c-pentane on the developed rigid PU foam apparent density, closed cell content start time, string time, tack free time and sustainable material content, Figure S2: The influence of ETOFA_TEOA polyol and c-pentane on the developed rigid PU foam apparent density, closed cell content start time, string time, tack-free time and sustainable material content, Figure S3: The influence of ETOFA_DEOA polyol and c-pentane on the developed rigid PU foam apparent density, closed cell content start time, string time, tack-free time and sustainable material content, Table S1: The coefficients of the response surface model for rigid PU foams developed using ETOFA_DEG polyol and the R2 values of the model, Table S2: The coefficients of the response surface model for rigid PU foams developed using ETOFA_TEOA polyol and the R2 values of the model., Table S3: The coefficients of the response surface model for rigid PU foams developed using ETOFA_DEOA polyol and the R2 values of the model.

Author Contributions

Conceptualization, M.K.; investigation, M.K., E.V., A.A., and S.M.; writing—original draft preparation, M.K. and E.V.; supervision, U.C.; formal analysis, M.K.; writing—review and editing, A.F. and U.C. All authors have read and agreed to the published version of the manuscript.

Funding

This research was funded by the European Regional Development Fund, Grant No. 1.1.1.1/16/A/031 project “Rigid Polyurethane/Polyisocyanurate Foam Thermal Insulation Material Reinforced with Nano/MicroSize Cellulose”.

Conflicts of Interest

The authors declare no conflicts of interest. The funders had no role in the design of the study; in the collection, analyses, or interpretation of data; in the writing of the manuscript, or in the decision to publish the results.

References

  1. Sikdar, S. Circular economy: Is there anything new in this concept? Clean Technol. Environ. Policy 2019, 21, 1173–1175. [Google Scholar] [CrossRef]
  2. Alagi, P.; Hong, S.C. Vegetable oil-based polyols for sustainable polyurethanes. Macromol. Res. 2015, 23, 1079–1086. [Google Scholar] [CrossRef]
  3. Ionescu, M. Chemistry and Technology of Polyols for Polyurethanes; Rapra Technology: Shropshire, UK, 2005; ISBN 9781859575017. [Google Scholar]
  4. Li, Y.Y.; Luo, X.; Hu, S. Bio-Based Polyols and Polyurethanes; Sharma, S.K., Ed.; Springer: Berlin/Heidelberg, Germany, 2015; ISBN 9783319215396. [Google Scholar]
  5. Noreen, A.; Zia, K.M.; Zuber, M.; Tabasum, S.; Zahoor, A.F. Bio-based polyurethane: An efficient and environment friendly coating systems: A review. Prog. Org. Coatings 2016, 91, 25–32. [Google Scholar] [CrossRef]
  6. Lomège, J.; Negrell, C.; Robin, J.J.; Lapinte, V.; Caillol, S. Oleic acid-based poly(alkyl methacrylate) as bio-based viscosity control additive for mineral and vegetable oils. Polym. Eng. Sci. 2019, 59, E164–E170. [Google Scholar] [CrossRef]
  7. Foreign Agricultural Service. United States Department of Agriculture Report: Oilseeds: World Markets and Trade; Foreign Agricultural Service: Washington, DC, USA, 2019.
  8. Lawson, H.; Lawson, H. The Basic Chemistry of Oils and Fats. In Food Oils and Fats: Technology, Utilization, and Nutrition; Springer: Boston, MA, USA, 1995; pp. 3–14. ISBN 978-1-4757-2351-9. [Google Scholar]
  9. Hubertus, G. OECD-FAO Agricultural Outlook 2019–2028; OECD Publishing: Paris, France, 2019; pp. 1–326. [Google Scholar]
  10. Poku, A.-G. Governance of Emerging Biomass-Based Value Webs in Africa: Case Studies from Ghana. Ph.D. Thesis, University of Hohenheim, Stuttgart, Germany.
  11. Maisonneuve, L.; Chollet, G.; Grau, E.; Cramail, H. Vegetable oils: A source of polyols for polyurethane materials. OCL—Oilseeds Fats Crop. Lipids 2016, 23, 10. [Google Scholar] [CrossRef]
  12. Hachemi, I.; Kumar, N.; Mäki-Arvela, P.; Roine, J.; Peurla, M.; Hemming, J.; Salonen, J.; Murzin, D.Y. Sulfur-free Ni catalyst for production of green diesel by hydrodeoxygenation. J. Catal. 2017, 347, 205–221. [Google Scholar] [CrossRef]
  13. Aro, T.; Fatehi, P. Tall oil production from black liquor: Challenges and opportunities. Sep. Purif. Technol. 2017, 175, 469–480. [Google Scholar] [CrossRef]
  14. Ren, H.; Xin, D.; Omori, S. Preparation of Biodiesel and Separation of Hemicellulose from Soap Skimmings. Cellul. Chem. Technol. 2016, 50, 247–255. [Google Scholar]
  15. Himadri Panda. Handbook on Tall Oil Rosin Production, Processing and Utilization; Asia Pacific Business Press: Delhi, India, 2013. [Google Scholar]
  16. Lubguban, A.A.; Ruda, R.J.G.; Aquiatan, R.H.; Paclijan, S.; Magadan, K.O.; Balangao, J.K.B.; Escalera, S.T.; Bayron, R.R.; Debalucos, B.; Lubguban, A.A.; et al. Soy-Based Polyols and Polyurethanes. KIMIKA 2017, 28, 1–19. [Google Scholar] [CrossRef]
  17. Omrani, I.; Farhadian, A.; Babanejad, N.; Shendi, H.K.; Ahmadi, A.; Nabid, M.R. Synthesis of novel high primary hydroxyl functionality polyol from sunflower oil using thiol-yne reaction and their application in polyurethane coating. Eur. Polym. J. 2016, 82, 220–231. [Google Scholar] [CrossRef]
  18. Fridrihsone-Girone, A.; Stirna, U.; Misane, M.; Lazdiņa, B.; Deme, L. Spray-applied 100% volatile organic compounds free two component polyurethane coatings based on rapeseed oil polyols. Prog. Org. Coatings 2016, 94, 90–97. [Google Scholar] [CrossRef]
  19. Alagi, P.; Ghorpade, R.; Jang, J.H.; Patil, C.; Jirimali, H.; Gite, V.; Hong, S.C. Functional soybean oil-based polyols as sustainable feedstocks for polyurethane coatings. Ind. Crops Prod. 2018, 113, 249–258. [Google Scholar] [CrossRef]
  20. Pfister, D.P.; Xia, Y.; Larock, R.C. Recent advances in vegetable oil-based polyurethanes. ChemSusChem 2011, 4, 703–717. [Google Scholar] [CrossRef]
  21. Akindoyo, J.O.; Beg, M.D.H.; Ghazali, S.; Islam, M.R.; Jeyaratnam, N.; Yuvaraj, A.R. Polyurethane types, synthesis and applications-a review. RSC Adv. 2016, 6, 114453–114482. [Google Scholar] [CrossRef]
  22. Furtwengler, P.; Avérous, L. Renewable polyols for advanced polyurethane foams from diverse biomass resources. Polym. Chem. 2018, 9, 4258–4287. [Google Scholar] [CrossRef]
  23. Ionescu, M. Chemistry and Technology of Polyols for Polyurethanes; Rapra Technology: Shropshire, UK, 2007; Volume 56, ISBN 9781847350350. [Google Scholar]
  24. Cornille, A.; Auvergne, R.; Figovsky, O.; Boutevin, B.; Caillol, S. A perspective approach to sustainable routes for non-isocyanate polyurethanes. Eur. Polym. J. 2017, 87, 535–552. [Google Scholar] [CrossRef]
  25. Zhang, C.; Ding, R.; Kessler, M.R. Reduction of epoxidized vegetable oils: A novel method to prepare bio-based polyols for polyurethanes. Macromol. Rapid Commun. 2014, 35, 1068–1074. [Google Scholar] [CrossRef]
  26. Kirpluks, M.; Kalnbunde, D.; Walterova, Z.; Cabulis, U. Rapeseed Oil as Feedstock for High Functionality Polyol Synthesis. J. Renew. Mater. 2017, 5, 1–23. [Google Scholar] [CrossRef]
  27. Zhou, W.; Jia, P.; Zhou, Y.; Zhang, M. Preparation and characterization of tung oil-based flame retardant polyols. Chin. J. Chem. Eng. 2018, 26, 2664–2671. [Google Scholar] [CrossRef]
  28. Kirpluks, M.; Kalnbunde, D.; Benes, H.; Cabulis, U. Natural oil based highly functional polyols as feedstock for rigid polyurethane foam thermal insulation. Ind. Crops Prod. 2018, 122, 627–636. [Google Scholar] [CrossRef]
  29. Kirpluks, M.; Vanags, E.; Abolins, A.; Fridrihsone, A.; Cabulis, U. Chemo-enzymatic oxidation of tall oil fatty acids as a precursor for further polyol production. J. Clean. Prod. 2019, 215, 390–398. [Google Scholar] [CrossRef]
  30. Fang, Z.; Qiu, C.; Ji, D.; Yang, Z.; Zhu, N.; Meng, J.; Hu, X.; Guo, K. Development of High-Performance Biodegradable Rigid Polyurethane Foams Using Full Modified Soy-Based Polyols. J. Agric. Food Chem. 2019, 67, 2220–2226. [Google Scholar] [CrossRef] [PubMed]
  31. Prociak, A.; Malewska, E.; Kurańska, M.; Bąk, S.; Budny, P. Flexible polyurethane foams synthesized with palm oil-based bio-polyols obtained with the use of different oxirane ring opener. Ind. Crops Prod. 2018, 115, 69–77. [Google Scholar] [CrossRef]
  32. Saalah, S.; Abdullah, L.C.; Aung, M.M.; Salleh, M.Z.; Biak, D.R.A.; Basri, M.; Jusoh, E.R.; Mamat, S. Physicochemical Properties of jatropha oil-based polyol produced by a two steps method. Molecules 2017, 22, 551. [Google Scholar] [CrossRef] [PubMed]
  33. Kurańska, M.; Prociak, A.; Kirpluks, M.; Cabulis, U. Polyurethane-polyisocyanurate foams modified with hydroxyl derivatives of rapeseed oil. Ind. Crops Prod. 2015, 74, 849–857. [Google Scholar] [CrossRef]
  34. Saalah, S.; Abdullah, L.C.; Aung, M.M.; Salleh, M.Z.; Awang Biak, D.R.; Basri, M.; Jusoh, E.R. Waterborne polyurethane dispersions synthesized from jatropha oil. Ind. Crops Prod. 2015, 64, 194–200. [Google Scholar] [CrossRef]
  35. Abril-Milán, D.; Valdés, O.; Mirabal-Gallardo, Y.; de la Torre, A.F.; Bustamante, C.; Contreras, J. Preparation of renewable bio-polyols from two species of Colliguaja for Rigid polyurethane foams. Materials 2018, 11, 2244. [Google Scholar] [CrossRef]
  36. Sawpan, M.A. Polyurethanes from vegetable oils and applications: A review. J. Polym. Res. 2018, 25, 184. [Google Scholar] [CrossRef]
  37. Ghasemlou, M.; Daver, F.; Ivanova, E.P.; Adhikari, B. Polyurethanes from seed oil-based polyols: A review of synthesis, mechanical and thermal properties. Ind. Crops Prod. 2019, 142, 111841. [Google Scholar] [CrossRef]
  38. Arniza, M.Z.; Hoong, S.S.; Idris, Z.; Yeong, S.K.; Hassan, H.A.; Din, A.K.; Choo, Y.M. Synthesis of transesterified palm olein-based Polyol and rigid polyurethanes from this polyol. JAOCS J. Am. Oil Chem. Soc. 2015, 92, 243–255. [Google Scholar] [CrossRef]
  39. Hong, J.; Radojčić, D.; Yang, X.; Wan, X.; Petrović, Z.S. Tough thermosetting polyurethanes and adhesives from rubber seed oil by hydroformylation. J. Appl. Polym. Sci. 2020, 137, 48509. [Google Scholar] [CrossRef]
  40. Ourique, P.A.; Gril, J.M.L.; Guillaume, G.W.; Wanke, C.H.; Echeverrigaray, S.G.; Bianchi, O. Synthesis and characterization of the polyols by air oxidation of soybean oil and its effect on the morphology and dynamic mechanical properties of poly(vinyl chloride) blends. J. Appl. Polym. Sci. 2015, 132, 1–8. [Google Scholar] [CrossRef]
  41. Elbers, N.; Ranaweera, C.K.; Ionescu, M.; Wan, X.; Kahol, P.K.; Gupta, R.K. Synthesis of Novel Biobased Polyol via Thiol-Ene Chemistry for Rigid Polyurethane Foams. J. Renew. Mater. 2017, 5, 74–83. [Google Scholar] [CrossRef]
  42. Alagi, P.; Choi, Y.J.; Seog, J.; Hong, S.C. Efficient and quantitative chemical transformation of vegetable oils to polyols through a thiol-ene reaction for thermoplastic polyurethanes. Ind. Crops Prod. 2016, 87, 78–88. [Google Scholar] [CrossRef]
  43. Yang, Z.; Feng, Y.; Liang, H.; Yang, Z.; Yuan, T.; Luo, Y.; Li, P.; Zhang, C. A Solvent-Free and Scalable Method to Prepare Soybean-Oil-Based Polyols by Thiol-Ene Photo-Click Reaction and Biobased Polyurethanes Therefrom. ACS Sustain. Chem. Eng. 2017, 5, 7365–7373. [Google Scholar]
  44. Tahir, S.M.; Norfirdaus, W.; Salleh, W.; Syahamatun, N.; Hadid, N.; Enderus, N.F. Synthesis of Waste Cooking Oil-Based Polyol Using Sugarcane Bagasse Activated Carbon and Transesterification Reaction for Rigid Polyurethane Foam. Mater. Sci. 2016, 846, 690–696. [Google Scholar]
  45. Gaidukova, G.; Ivdre, A.; Fridrihsone, A.; Verovkins, A.; Cabulis, U.; Gaidukovs, S. Polyurethane rigid foams obtained from polyols containing bio-based and recycled components and functional additives. Ind. Crops Prod. 2017, 102, 133–143. [Google Scholar] [CrossRef]
  46. Unverferth, M.; Meier, M.A.R. A sustainable tandem catalysis approach to plant oil based polyols via Schenck-Ene reaction and epoxidation. Eur. J. Lipid Sci. Technol. 2018, 120, 1800015. [Google Scholar] [CrossRef]
  47. Bayer, P.; Pérez-Ruiz, R.; Von Wangelin, A. Stereoselective Photooxidations by the Schenck Ene Reaction. ChemPhotoChem 2018, 2, 559–570. [Google Scholar] [CrossRef]
  48. Llevot, A.; Dannecker, P.K.; von Czapiewski, M.; Over, L.C.; Söyler, Z.; Meier, M.A.R. Renewability is not Enough: Recent Advances in the Sustainable Synthesis of Biomass-Derived Monomers and Polymers. Chem.-A Eur. J. 2016, 22, 11510–11521. [Google Scholar] [CrossRef]
  49. Szycher, M. Szycher’s Handbook of Polyurethanes, 1st ed.; CRC Press: Boca Raton, FL, USA, 1999; ISBN 9780849306020. [Google Scholar]
  50. Marcovich, N.E.; Kurańska, M.; Prociak, A.; Malewska, E.; Kulpa, K. Open cell semi-rigid polyurethane foams synthesized using palm oil-based bio-polyol. Ind. Crops Prod. 2017, 102, 88–96. [Google Scholar] [CrossRef]
  51. Rojek, P.; Prociak, A. Effect of different rapeseed-oil-based polyols on mechanical properties of flexible polyurethane foams. J. Appl. Polym. Sci. 2012, 125, 2936–2945. [Google Scholar] [CrossRef]
  52. Kurańska, M.; Prociak, A. The influence of rapeseed oil-based polyols on the foaming process of rigid polyurethane foams. Ind. Crops Prod. 2016, 89, 182–187. [Google Scholar] [CrossRef]
  53. Kairytė, A.; Kremensas, A.; Balčiūnas, G.; Członka, S.; Strąkowska, A. Closed Cell Rigid Polyurethane Foams Based on Low Functionality Polyols: Research of Dimensional Stability and Standardised Performance Properties. Materials 2020, 13, 1438. [Google Scholar] [CrossRef] [PubMed]
  54. Leng, W.; Pan, B. Thermal Insulating and Mechanical Properties of Cellulose Nanofibrils Modified Polyurethane Foam Composite as Structural Insulated Material. Forests 2019, 10, 200. [Google Scholar] [CrossRef]
  55. Jelle, B.P. Traditional, state-of-the-art and future thermal building insulation materials and solutions—Properties, requirements and possibilities. Energy Build. 2011, 43, 2549–2563. [Google Scholar] [CrossRef]
  56. Kuranska, M.; Prociak, A. Porous polyurethane composites with natural fibres. Compos. Sci. Technol. 2012, 72, 299–304. [Google Scholar] [CrossRef]
  57. Tan, S.; Abraham, T.; Ference, D.; Macosko, C.W. Rigid polyurethane foams from a soybean oil-based Polyol. Polymer 2011, 52, 2840–2846. [Google Scholar] [CrossRef]
  58. Zhang, X.; Kim, Y.; Eberhardt, T.L.; Shmulsky, R. Lab-scale structural insulated panels with lignin-incorporated rigid polyurethane foams as core. Ind. Crops Prod. 2019, 132, 292–300. [Google Scholar] [CrossRef]
  59. Ivdre, A.; Abolins, A.; Sevastyanova, I.; Kirpluks, M.; Cabulis, U. Rigid Polyurethane Foams with Various Isocyanate Indices Based on Polyols from Rapeseed Oil and PET waste. Polymers 2020, 12, 738. [Google Scholar] [CrossRef]
  60. Kurańska, M.; Cabulis, U.; Auguścik, M.; Prociak, A.; Ryszkowska, J.; Kirpluks, M. Bio-Based Polyurethane-Polyisocyanurate Composites with an Intumescent Flame Retardant. Polym. Degrad. Stab. 2016, 127, 11–19. [Google Scholar] [CrossRef]
  61. Cabulis, U.; Kirpluks, M.; Stirna, U.; Lopez, M.J.J.; Vargas-Garcia, M.C.D.C.D.C.; Suarez-Estrella, F.; Moreno, J.; Del Carmen Vargas-Garcia, M.; Suárez-Estrella, F.; Moreno, J.; et al. Rigid polyurethane foams obtained from tall oil and filled with natural fibers: Application as a support for immobilization of lignin-degrading microorganisms. J. Cell. Plast. 2012, 48, 500–515. [Google Scholar] [CrossRef]
  62. Kirpluks, M.; Cabulis, U.; Zeltins, V.; Stiebra, L.; Avots, A. Rigid polyurethane foam thermal insulation protected with mineral intumescent mat. Autex Res. J. 2014, 14, 259–269. [Google Scholar] [CrossRef]
  63. Hejna, A.; Kirpluks, M.; Kosmela, P.; Cabulis, U.; Haponiuk, J.; Piszczyk, Ł. The influence of crude glycerol and castor oil-based polyol on the structure and performance of rigid polyurethane-polyisocyanurate foams. Ind. Crops Prod. 2017, 95, 113–125. [Google Scholar] [CrossRef]
  64. Vanags, E.; Kirpluks, M.; Cabulis, U.; Walterova, Z. Highly functional polyol synthesis from epoxidized tall oil fatty acids. J. Renew. Mater. 2018, 6, 764–771. [Google Scholar] [CrossRef]
  65. BASF Technical Data Sheet; Lupranol 3422; BASF Polyurethanes GmbH: Lemförde, Germany, 17 July 2019.
  66. Stirna, U.; Fridrihsone, A.; Misane, M.; Vilsone, D.; State, L.; Chemistry, W. Rapeseed Oil as Renewable Resource for Polyol Synthesis. Environ. Clim. Technol. 2011, 6, 85–90. [Google Scholar] [CrossRef]
  67. Myers, R.H.; Monthgomery, D.C.; Anderson-Cook, C.M. Response Surface Methodology: Process and Product Optimization Using Designed Experiments, 4th ed.; Taylor Francis Group: Hoboken, NJ, USA, 2016; ISBN 9781118916018. [Google Scholar]
  68. Kairytė, A.; Kirpluks, M.; Ivdre, A.; Cabulis, U.; Vaitkus, S.; Pundienė, I. Cleaner production of polyurethane foam: Replacement of conventional raw materials, assessment of fire resistance and environmental impact. J. Clean. Prod. 2018, 183, 760–771. [Google Scholar] [CrossRef]
  69. Septevani, A.A.; Evans, D.A.C.; Annamalai, P.K.; Martin, D.J. The use of cellulose nanocrystals to enhance the thermal insulation properties and sustainability of rigid polyurethane foam. Ind. Crops Prod. 2017, 107, 114–121. [Google Scholar] [CrossRef]
  70. BASF—Technical Data Sheet TDS; Elastospray 1622/6; BASF Polyurethanes GmbH: Lemförde, Germany, 5 April 2012.
  71. Członka, S.; Strąkowska, A.; Strzelec, K.; Kairytė, A.; Kremensas, A. Bio-Based Polyurethane Composite Foams with Improved Mechanical, Thermal, and Antibacterial Properties. Materials 2020, 13, 1108. [Google Scholar] [CrossRef]
Figure 1. Idealized scheme of bio-polyol synthesis from TOFAs.
Figure 1. Idealized scheme of bio-polyol synthesis from TOFAs.
Materials 13 01985 g001
Figure 2. Size exclusion chromatography (SEC) graph of neat TOFAs and ETOFAs used for the bio-polyol synthesis.
Figure 2. Size exclusion chromatography (SEC) graph of neat TOFAs and ETOFAs used for the bio-polyol synthesis.
Materials 13 01985 g002
Figure 3. The possible side-reactions of epoxide rings in acidic medium.
Figure 3. The possible side-reactions of epoxide rings in acidic medium.
Materials 13 01985 g003
Figure 4. SEC analysis of TOFA bio-polyols. (a) ETOFA_TMP and ETOFA_DEG; (b) ETOFA_TEOA and ETOFA_DEOA.
Figure 4. SEC analysis of TOFA bio-polyols. (a) ETOFA_TMP and ETOFA_DEG; (b) ETOFA_TEOA and ETOFA_DEOA.
Materials 13 01985 g004
Figure 5. Fourier transform infrared (FTIR) spectra of TOFAs, ETOFAs, and the resulting four TOFA-based bio-polyols.
Figure 5. Fourier transform infrared (FTIR) spectra of TOFAs, ETOFAs, and the resulting four TOFA-based bio-polyols.
Materials 13 01985 g005
Figure 6. Response surfaces of ETOFA_TMP polyol and c-pentane influence on the developed rigid PU foam apparent density and closed cell content.
Figure 6. Response surfaces of ETOFA_TMP polyol and c-pentane influence on the developed rigid PU foam apparent density and closed cell content.
Materials 13 01985 g006
Figure 7. Response surfaces of ETOFA_TMP polyol and c-pentane influence on the developed rigid PU foam start time, string time, tack-free time, and sustainable material content.
Figure 7. Response surfaces of ETOFA_TMP polyol and c-pentane influence on the developed rigid PU foam start time, string time, tack-free time, and sustainable material content.
Materials 13 01985 g007
Figure 8. Desirability response of the rigid PU foam optimization: (a) ETOFA_TMP polyol series; (b) ETOFA_TMP polyol series plotted as three-dimensional (3D) surface; (c) ETOFA_DEG series; and (d) ETOFA_TEOA series.
Figure 8. Desirability response of the rigid PU foam optimization: (a) ETOFA_TMP polyol series; (b) ETOFA_TMP polyol series plotted as three-dimensional (3D) surface; (c) ETOFA_DEG series; and (d) ETOFA_TEOA series.
Materials 13 01985 g008
Figure 9. Thermal conductivity of the optimized rigid PU foam formulations.
Figure 9. Thermal conductivity of the optimized rigid PU foam formulations.
Materials 13 01985 g009
Figure 10. Compression properties of ETOFA_TMP polyol based rigid PU foams: (a) compression strength (b) compression modulus.
Figure 10. Compression properties of ETOFA_TMP polyol based rigid PU foams: (a) compression strength (b) compression modulus.
Materials 13 01985 g010
Table 1. Multifunctional alcohols/amines used in the bio-polyol syntheses.
Table 1. Multifunctional alcohols/amines used in the bio-polyol syntheses.
Multifunctional Alcohol for Oxirane Ring-Opening and Esterification of TOFA 1Mass, gEsterification/Amidation Temperature, °CTOFA Content in Bio-Polyol, %
TMP 190.920062.2
DEG 171.920067.9
TEOA 1101.118059.5
DEOA 171.214568.1
1 TOFA, tall oil fatty acid; TMP, trimethylolpropane; DEG, diethylene glycol; TEOA, triethanolamine; DEOA, diethanolamine.
Table 2. Rigid polyurethane (PU) foam formulations, green carbon, and sustainable material content in rigid PU foams.
Table 2. Rigid polyurethane (PU) foam formulations, green carbon, and sustainable material content in rigid PU foams.
ComponentsDifferent Reagents, pbw
ETOFA_TMPETOFA_DEGETOFA_TEOAETOFA_DEOA
PolyolsETOFA_TMP *95–0
ETOFA_DEG *95–0
ETOFA_TEOA *95–0
ETOFA_DEOA *95–0
TO_TEOA *0–950–950–950–95
Glycerol *5555
Blowing agentsWater *2.02.02.02.0
c-pentane0–150–150–150–15
CatalystsAmine Catalysts4.02.54.04.0
PC CAT TKA 301.51.51.51.5
SurfactantL69152.52.52.52.5
Flame retardantTCPP8 wt.%8 wt.%8 wt.%8 wt.%
IsocyanatepMDI155–183138–155163–209156–197
Green carbon content in %18.1–26.424.4–26.516.7–26.518.7–26.2
Sustainable material content in %15.8–23.220.8–23.715.1–23.516.3–23.1
* Feedstock partially or fully based on renewables. ETOFA, epoxidized tall oil fatty acid.
Table 3. Experimental matrix of the changed factors for rigid PU foam formulation optimization.
Table 3. Experimental matrix of the changed factors for rigid PU foam formulation optimization.
Changed FactorWeight Ratios of Changed Factors, pbw
New TOFA-based bio-polyols95755535150
TO_TEOA02040608095
c-pentane0–150–150–150–150–150–15
Table 4. The main characteristics of TOFA-based bio-polyols.
Table 4. The main characteristics of TOFA-based bio-polyols.
PolyolOH val., mg KOH/gViscosity
(25 °C), mPa⋅s
Acid val., mg KOH/gMoisture, %Density
(20 °C), g/cm3
fnMnpd
ETOFA/TMP390 ± 1577,000 ± 10007 ± 2<0.11.0569.312641.59
ETOFA/DEG260 ± 101060 ± 405 ± 2<0.11.0395.812151.53
ETOFA/TEOA500 ± 157400 ± 1003 ± 2<0.51.0477.98881.71
ETOFA/DEOA480 ± 15104,000 ± 20002 ± 2<0.21.0705.05691.28
Table 5. The coefficients of the response surface model for rigid PU foams developed using ETOFA_TMP polyols and the R2 values of the model.
Table 5. The coefficients of the response surface model for rigid PU foams developed using ETOFA_TMP polyols and the R2 values of the model.
ResponseX1X2X3X4X5X6R2
Apparent density+48.98633+0.129410−2.82320−0.0036430+0.0966140.9665
Closed cell content+72.43408+0.713941−0.3127390−0.00480000.9004
Start time+10.06081+0.090974+0.0367970000.8611
String time+15.89392+0.197703+0.3909990000.8743
Tack-free time+22.47031+0.090724+0.3837830+0.00161100.9200
Table 6. Targeted values of developed rigid PU foams for material optimization.
Table 6. Targeted values of developed rigid PU foams for material optimization.
Optimized ResponsesTargeted ValueImportance Level
Apparent free rise density40 ± 5 kg/m35
Closed cell contentMAX (>90%)5
Sustainable material content in the rigid PU foamMAX3
Start time~10–20 s0–1
String time~20–40 s0–1
Tack-free time~30–60 s0–1
Table 7. Rigid PU foam formulations selected from desirability response surfaces.
Table 7. Rigid PU foam formulations selected from desirability response surfaces.
Flag NrETOFA_TMP Polyol Content, pbwc-pentane Content, pbwTO_TEOA Polyol Content, pbwDesirability
1355600.20
2496440.60
3557400.68
4657300.74
5758200.77
6859100.71
Flag NrETOFA_DEG Polyol Content, pbwc-pentane Content, pbwTO_TEOA Polyol Content, pbwDesirability
1356600.40
2556.5400.63
3847110.62
Flag NrETOFA_TEOA Polyol Content, pbwc-pentane Content, pbwTO_TEOA Polyol Content, pbwDesirability
1355600.46
2556400.65
3757.5200.71
4838120.71
Table 8. ETOFA_TMP bio-polyol based rigid PU foam comparison with other materials.
Table 8. ETOFA_TMP bio-polyol based rigid PU foam comparison with other materials.
CharacteristicsETOFA_TMP—85
c-pentane—9
PPWS-0T 1RO/PET_150 2Rigid PU Foam F0 3Elastospray 1622/6 BASF System 4PU-0 5
Apparent density, kg/m337.738.839.137.437.039.0
Closed cell content, %94n.a.99869588
Thermal conductivity, mW/(m·K)20.527.420.725.520.5n.a.
Compression strength, MPa0.320.220.350.210.220.25
Compression modulus, MPa9.04.97.05.1n.a.6.4
Sustainable mat. content, %19.4n.a.~12.5n.a.n.a.n.a.
Average cell size, μm240 ± 84840 ± 50n.a.530 ± 170n.a.390 ± 9
Isocyanate index150150150110n.a.160
1 Data were taken from A. Kairyte et al. [68]; 2 Data were taken from A. Ivdre et al. [59]; 3 Data were taken from A. Septevani et al. [69]; 4 Data were taken from Elastospray 1622/6 BASF technical datasheet [70]; 5 Data were taken from S. Czlonka et al. [71].

Share and Cite

MDPI and ACS Style

Kirpluks, M.; Vanags, E.; Abolins, A.; Michalowski, S.; Fridrihsone, A.; Cabulis, U. High Functionality Bio-Polyols from Tall Oil and Rigid Polyurethane Foams Formulated Solely Using Bio-Polyols. Materials 2020, 13, 1985. https://doi.org/10.3390/ma13081985

AMA Style

Kirpluks M, Vanags E, Abolins A, Michalowski S, Fridrihsone A, Cabulis U. High Functionality Bio-Polyols from Tall Oil and Rigid Polyurethane Foams Formulated Solely Using Bio-Polyols. Materials. 2020; 13(8):1985. https://doi.org/10.3390/ma13081985

Chicago/Turabian Style

Kirpluks, Mikelis, Edgars Vanags, Arnis Abolins, Slawomir Michalowski, Anda Fridrihsone, and Ugis Cabulis. 2020. "High Functionality Bio-Polyols from Tall Oil and Rigid Polyurethane Foams Formulated Solely Using Bio-Polyols" Materials 13, no. 8: 1985. https://doi.org/10.3390/ma13081985

APA Style

Kirpluks, M., Vanags, E., Abolins, A., Michalowski, S., Fridrihsone, A., & Cabulis, U. (2020). High Functionality Bio-Polyols from Tall Oil and Rigid Polyurethane Foams Formulated Solely Using Bio-Polyols. Materials, 13(8), 1985. https://doi.org/10.3390/ma13081985

Note that from the first issue of 2016, this journal uses article numbers instead of page numbers. See further details here.

Article Metrics

Back to TopTop