Improving Radiation Resistance of GaInP/GaInAs/Ge Triple-Junction Solar Cells Using GaInP Back-Surface Field in the Middle Subcell
Abstract
1. Introduction
2. Experiment
3. Results and Discussion
3.1. X-ray Diffraction Characterization of the GaxIn1−xP BSF Layer
3.2. Geosynchronous Orbit Anti-Irradiation Performance
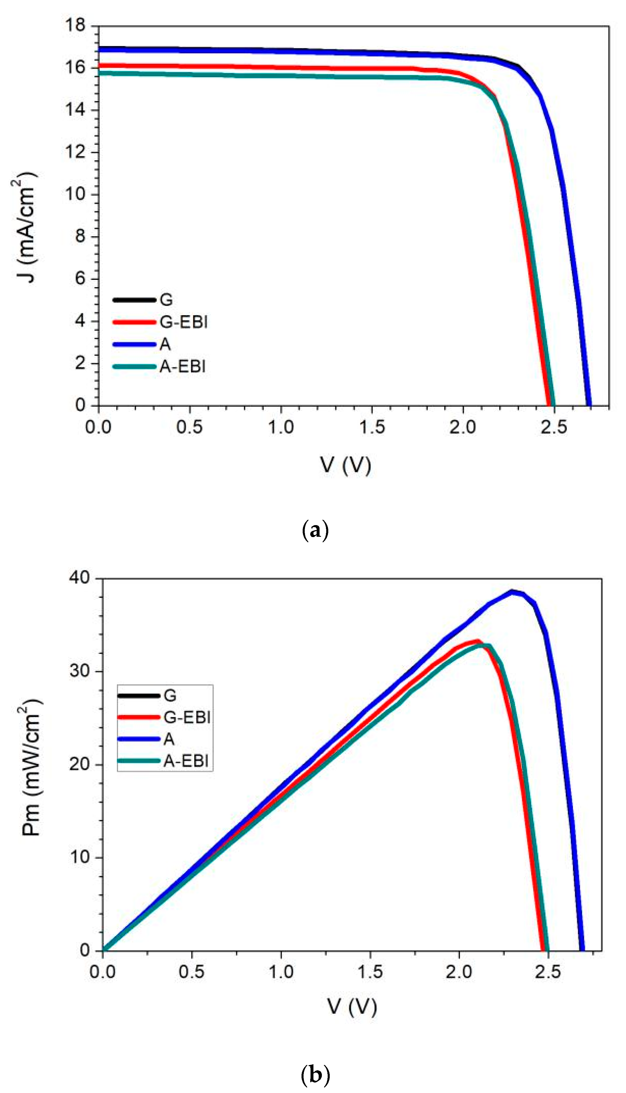
3.3. The Degradation Trends of I-V Characteristics under Different Irradiation Doses
4. Conclusions
Author Contributions
Funding
Conflicts of Interest
References
- Pakhanov, N.A.; Andreev, V.M.; Shvarts, M.; Pchelyakov, O.P. State-of-the-art Architectures and Technologies of High-Efficiency Solar Cells Based on III–V Heterostructures for Space and Terrestrial Applications. Optoelectron. Instrum. Data Process. 2018, 54, 187–202. [Google Scholar] [CrossRef]
- Green, M.A.; Dunlop, E.D.; Hohl-Ebinger, J.; Yoshita, M.; Kopidakis, N.; Ho-Baillie, A.W.Y. Solar cell efficiency tables (Version 55). Prog. Photovoltaics Res. Appl. 2019, 28, 3–15. [Google Scholar] [CrossRef]
- Yamaguchi, M. Radiation resistance of compound semiconductor solar cells. J. Appl. Phys. 1995, 78, 1476–1480. [Google Scholar] [CrossRef]
- Wang, J.L.; Yi, T.C.; Zheng, Y.; Wu, R.; Wang, R. 3.0 MeV proton-irradiation induced non-radiative recombination center in the GaAs middle cell and the GaInP top cell of triple-junction solar cells. IOP Conf. Ser. Earth Environ. Sci. 2017, 93, 012060. [Google Scholar] [CrossRef]
- Wang, Y.; Hu, J.; Wu, Y.; Xu, J.; Lu, J.; Zhao, H.; Qian, B. Radiation damage effects on double-junction GaInP2/GaAs solar cells. Nucl. Instrum. Methods Phys. Res. Sect. B Beam Interact. Mater. At. 2014, 330, 76–81. [Google Scholar] [CrossRef]
- Hongliang, G.; Linfeng, S.; Yiyong, W.; Qiang, S.; Hui, Y.; Jingdong, X.; Bin, G. Degradation analyses of GaInP/GaAs/Ge solar cells irradiated by 70 keV and 150 keV protons by current-voltage curves under various intensities of light. Nucl. Instrum. Methods Phys. Res. Sect. B Beam Interact. Mater. Atoms 2018, 431, 1–5. [Google Scholar] [CrossRef]
- Aierken, A.; Fang, L.; Heini, M.; Zhang, Q.M.; Li, Z.; Zhao, X.; Sailai, M.; Liu, H.; Guo, Q.; Gao, W.; et al. Effects of proton irradiation on upright metamorphic GaInP/GaInAs/Ge triple junction solar cells. Sol. Energy Mater. Sol. Cells 2018, 185, 36–44. [Google Scholar] [CrossRef]
- Vagidov, N.Z.; Montgomery, K.H.; Bradshaw, G.K.; Wilt, D.A. Light trapping structures for radiation hardness enhancement of space solar cells. Sol. Energy Mater. Sol. Cells 2018, 182, 136–141. [Google Scholar] [CrossRef]
- Hirst, L.; Yakes, M.K.; Warner, J.H.; Bennett, M.F.; Schmieder, K.J.; Walters, R.J.; Jenkins, P.P. Intrinsic radiation tolerance of ultra-thin GaAs solar cells. Appl. Phys. Lett. 2016, 109, 33908. [Google Scholar] [CrossRef]
- Feng, S.L.; Krynicki, J.; Donchev, V.; Bourgoin, J.; Forte-Poisson, M.D.; Brylinski, C.; Delage, S.; Blanck, H.; Alaya, S. Band offset of GaAs-GaInP heterojunctions. Semicond. Sci. Technol. 1993, 8, 2092–2096. [Google Scholar] [CrossRef]
- Sasaki, T.; Arafune, K.; Metzger, W.; Romero, M.J.; Jones, K.; Al-Jassim, M.; Ohshita, Y.; Yamaguchi, M. Characterization of carrier recombination in lattice-mismatched InGaAs solar cells on GaAs substrates. Sol. Energy Mater. Sol. Cells 2009, 93, 936–940. [Google Scholar] [CrossRef]
- Demoulin, P.; Lundstrom, M.; Schwartz, R. Back-surface field design for n+p GaAs cells. Sol. Cells 1987, 20, 229–236. [Google Scholar] [CrossRef]
- Arzbin, H.; Ghadimi, A. Efficiency improvement of ARC less InGaP/GaAs DJ solar cell with InGaP tunnel junction and optimized two BSF layer in top and bottom cells. Optik 2017, 148, 358–367. [Google Scholar] [CrossRef]
- Galiana, B.; Rey-Stolle, I.; Baudrit, M.; Garcia, I.; Algora, C. A comparative study of BSF layers for GaAs-based single-junction or multijunction concentrator solar cells. Semicond. Sci. Technol. 2006, 21, 1387–1392. [Google Scholar] [CrossRef]
- Alhomoudi, I. Growth and Strain Evaluation of InGaP/InGaAs/Ge Triple-Junction Solar Cell Structures. J. Electron. Mater. 2016, 45, 4823–4832. [Google Scholar] [CrossRef]
- Denton, A.R.; Ashcroft, N.W. Vegard’s law. Phys. Rev. A 1991, 43, 3161–3164. [Google Scholar] [CrossRef] [PubMed]
- Von Roos, O. A simple theory of back surface field (BSF) solar cells. J. Appl. Phys. 1978, 49, 3503. [Google Scholar] [CrossRef]
- Tobbeche, S.; Kateb, M.N. Simulation and Optimization of Silicon Solar Cell Back Surface Field. Mater. Sci. 2015, 21, 491–496. [Google Scholar] [CrossRef][Green Version]
- Dharmarasu, N.; Yamaguchi, M.; Khan, A.; Yamada, T.; Tanabe, T.; Takagishi, S.; Takamoto, T.; Ohshima, T.; Itoh, H.; Imaizumi, M.; et al. High-radiation-resistant InGaP, InGaAsP, and InGaAs solar cells for multijuction solar cells. Appl. Phys. Lett. 2001, 79, 2399–2401. [Google Scholar] [CrossRef]






| Using GaInP BSF | Using AlGaAs BSF | |||||||
|---|---|---|---|---|---|---|---|---|
| Jsc mA/cm2 | Voc V | FF | Pm mW/cm2 | Jsc mA/cm2 | Voc V | FF | Pm mW/cm2 | |
| Before irradiation | 16.930 ± 0.017 | 2.6956 ± 0.001 | 0.8464 ± 0.0002 | 38.628 ± 0.0406 | 16.863 ± 0.013 | 2.6898 ± 0.002 | 0.8491 ± 0.0003 | 38.506 ± 0.1759 |
| After irradiation | 16.135 ± 0.021 | 2.4710 ± 0.0016 | 0.8375 ± 0.0018 | 33.311 ± 0.0135 | 15.762 ± 0.021 | 2.4960 ± 0.0028 | 0.8339 ± 0.0013 | 32.810 ± 0.0338 |
| Degradation ratio (%) | 4.7 | 8.4 | 1 | 13.6 | 6.6 | 7.4 | 1.1 | 14.5 |
© 2020 by the authors. Licensee MDPI, Basel, Switzerland. This article is an open access article distributed under the terms and conditions of the Creative Commons Attribution (CC BY) license (http://creativecommons.org/licenses/by/4.0/).
Share and Cite
Gao, H.; Yang, R.; Zhang, Y. Improving Radiation Resistance of GaInP/GaInAs/Ge Triple-Junction Solar Cells Using GaInP Back-Surface Field in the Middle Subcell. Materials 2020, 13, 1958. https://doi.org/10.3390/ma13081958
Gao H, Yang R, Zhang Y. Improving Radiation Resistance of GaInP/GaInAs/Ge Triple-Junction Solar Cells Using GaInP Back-Surface Field in the Middle Subcell. Materials. 2020; 13(8):1958. https://doi.org/10.3390/ma13081958
Chicago/Turabian StyleGao, Hui, Ruixia Yang, and Yonghui Zhang. 2020. "Improving Radiation Resistance of GaInP/GaInAs/Ge Triple-Junction Solar Cells Using GaInP Back-Surface Field in the Middle Subcell" Materials 13, no. 8: 1958. https://doi.org/10.3390/ma13081958
APA StyleGao, H., Yang, R., & Zhang, Y. (2020). Improving Radiation Resistance of GaInP/GaInAs/Ge Triple-Junction Solar Cells Using GaInP Back-Surface Field in the Middle Subcell. Materials, 13(8), 1958. https://doi.org/10.3390/ma13081958

