Silica Gel Impregnated by Deep Eutectic Solvents for Adsorptive Removal of BTEX from Gas Streams
Abstract
1. Introduction
2. Materials and Methods
2.1. Materials
2.2. Apparatus
2.3. Methods
2.3.1. Synthesis of Deep Eutectic Solvents
2.3.2. Preparation of Silica Gel Modified by Deep Eutectic Solvents
2.3.3. Adsorbents Characterization
2.3.4. Adsorption and Regeneration Process
2.3.5. Chromatographic Analysis
3. Results and Discussion
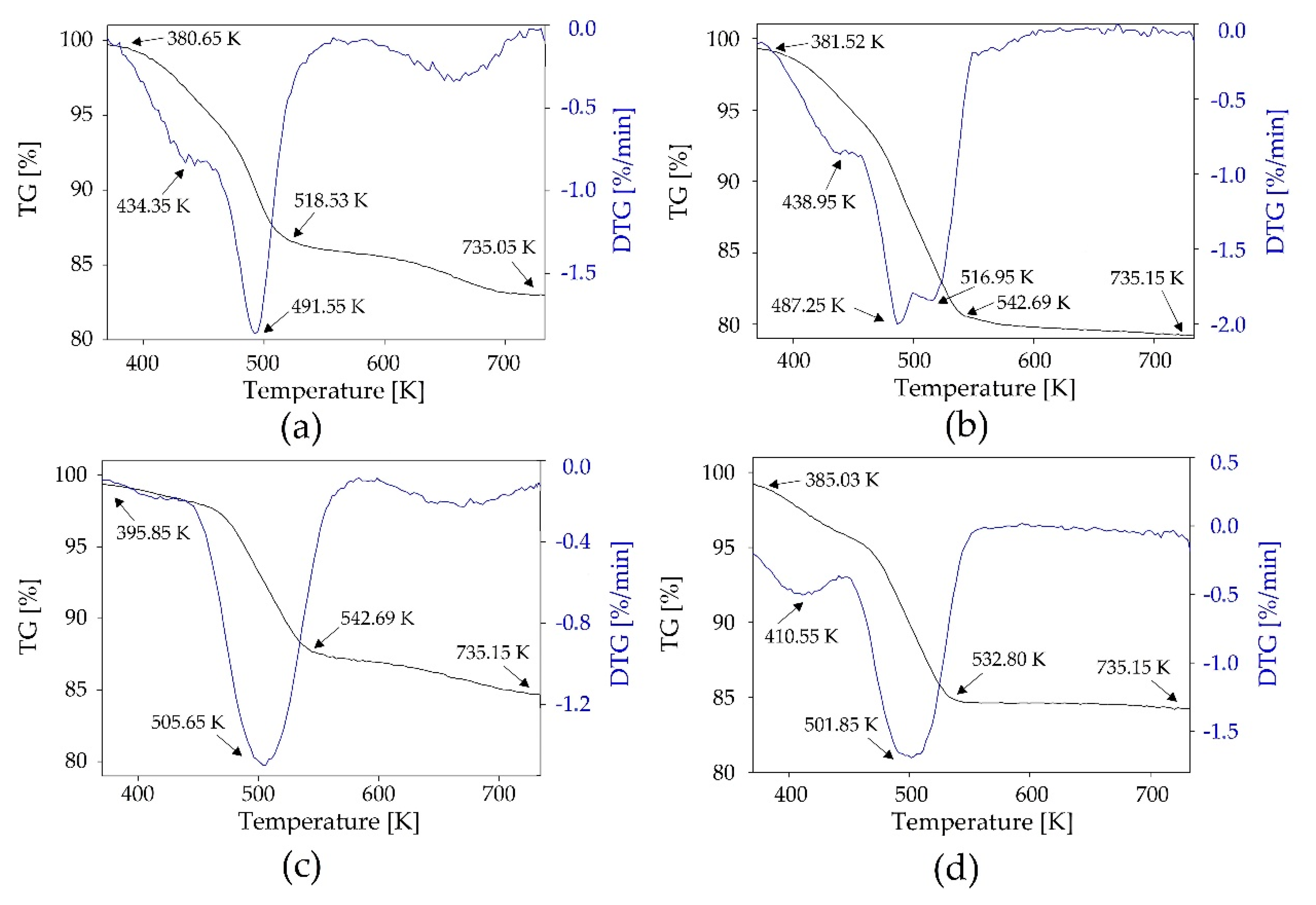
3.1. Characterization of Adsorbents
3.2. Adsorption Process
3.2.1. Effect of Different DESs on the Sum of BTEX Adsorption by SiO2-DES
3.2.2. Effect of BTEX Initial Concentration
3.2.3. Effect of Flow Rate
3.2.4. Recycling and Regeneration of SiO2-DES
4. Conclusions
Author Contributions
Funding
Conflicts of Interest
References
- Makoś, P.; Fernandes, A.; Boczkaj, G. Method for the simultaneous determination of monoaromatic and polycyclic aromatic hydrocarbons in industrial effluents using dispersive liquid–liquid microextraction with gas chromatography–mass spectrometry. J. Sep. Sci. 2018, 41, 2360–2367. [Google Scholar] [CrossRef] [PubMed]
- Słomińska, M.; Król, S.; Namieśnik, J. Removal of BTEX compounds from waste gases; Destruction and recovery techniques. Crit. Rev. Environ. Sci. Technol. 2013, 43, 1417–1445. [Google Scholar] [CrossRef]
- Darwish, N.A.; Al-Mehaideb, R.A.; Braek, A.M.; Hughes, R. Computer simulation of BTEX emission in natural gas dehydration using PR and RKS equations of state with different predictive mixing rules. Environ. Model. Softw. 2004, 19, 957–965. [Google Scholar] [CrossRef]
- Arrhenius, K.; Yaghooby, H.; Rosell, L.; Büker, O.; Culleton, L.; Bartlett, S.; Murugan, A.; Brewer, P.; Li, J.; van der Veen, A.M.H.; et al. Suitability of vessels and adsorbents for the short-term storage of biogas/biomethane for the determination of impurities–Siloxanes, sulfur compounds, halogenated hydrocarbons, BTEX. Biomass Bioenergy 2017, 105, 127–135. [Google Scholar] [CrossRef]
- Ncube, T.; Suresh Kumar Reddy, K.; Al Shoaibi, A.; Srinivasakannan, C. Benzene, Toluene, m-Xylene Adsorption on Silica-Based Adsorbents. Energy Fuels 2017, 31, 1882–1888. [Google Scholar] [CrossRef]
- An, Y.J. Toxicity of Benzene, Toluene, Ethylbenzene, and Xylene (BTEX) Mixtures to Sorghum bicolor and Cucumis sativus. Bull. Environ. Contam. Toxicol. 2004, 72, 1006–1011. [Google Scholar] [CrossRef]
- Vohra, M.S. Adsorption-Based Removal of Gas-Phase Benzene Using Granular Activated Carbon (GAC) Produced from Date Palm Pits. Arab. J. Sci. Eng. 2015, 40, 3007–3017. [Google Scholar] [CrossRef]
- Xu, L.; Li, Y.; Zhu, J.; Liu, Z. Removal of Toluene by Adsorption/Desorption Using Ultra-stable Y Zeolite. Trans. Tianjin Univ. 2019, 25, 312–321. [Google Scholar] [CrossRef]
- Banaei, A.; Ebrahimi, S.; Vojoudi, H.; Karimi, S.; Badiei, A.; Pourbasheer, E. Adsorption equilibrium and thermodynamics of anionic reactive dyes from aqueous solutions by using a new modified silica gel with 2,2″-(pentane-1,5-diylbis(oxy))dibenzaldehyde. Chem. Eng. Res. Des. 2017, 123, 50–62. [Google Scholar] [CrossRef]
- Prokopowicz, M.; Szewczyk, A.; Łunio, R.; Sawicki, W. Monolithic polydimethylsiloxane-modified silica composites prepared by a low-temperature sol–gel micromolding technique for controlled drug release. React. Funct. Polym. 2017, 114, 136–145. [Google Scholar] [CrossRef]
- Banaei, A.; Samadi, S.; Karimi, S.; Vojoudi, H.; Pourbasheer, E.; Badiei, A. Synthesis of silica gel modified with 2,2′-(hexane-1,6-diylbis(oxy)) dibenzaldehyde as a new adsorbent for the removal of Reactive Yellow 84 and Reactive Blue 19 dyes from aqueous solutions: Equilibrium and thermodynamic studies. Powder Technol. 2017, 319, 60–70. [Google Scholar] [CrossRef]
- Flieger, J.; Tatarczak-Michalewska, M.; Groszek, A.; Blicharska, E.; Kocjan, R. Adsorption kinetics at silica gel/ionic liquid solution interface. Molecules 2015, 20, 22058–22068. [Google Scholar] [CrossRef] [PubMed]
- Raja Shahrom, M.S.; Nordin, A.R.; Wilfred, C.D. Activated Carbon Supported Amine Functionalized Ionic Liquids for CO 2 Sorption. J. Phys. Conf. Ser. 2018, 1123, 012069. [Google Scholar] [CrossRef]
- Yusuf, N.Y.; Masdar, M.S.; Isahak, W.N.R.W.; Nordin, D.; Husaini, T.; Majlan, E.H.; Rejab, S.A.M.; Chew, C.L. Ionic liquid-impregnated activated carbon for biohydrogen purification in an adsorption unit. IOP Conf. Ser. Mater. Sci. Eng. 2017, 206, 012071. [Google Scholar] [CrossRef]
- Zhang, Q.; De Oliveira Vigier, K.; Royer, S.; Jérôme, F. Deep eutectic solvents: Syntheses, properties and applications. Chem. Soc. Rev. 2012, 41, 7108–7146. [Google Scholar] [CrossRef]
- Abbott, A.P.; Capper, G.; Davies, D.L.; Rasheed, R.K.; Tambyrajah, V. Novel Solvent Properties of Choline Chloride /Urea Mixtures. Chem. Commun. 2003, 1, 70–71. [Google Scholar] [CrossRef] [PubMed]
- Makoś, P.; Słupek, E.; Gębicki, J. Hydrophobic deep eutectic solvents in microextraction techniques–A review. Microchem. J. 2020, 152, 104384. [Google Scholar] [CrossRef]
- Makoś, P.; Przyjazny, A.; Boczkaj, G. Hydrophobic deep eutectic solvents as “green” extraction media for polycyclic aromatic hydrocarbons in aqueous samples. J. Chromatogr. A 2018, 1570, 28–37. [Google Scholar] [CrossRef]
- Makoś, P.; Fernandes, A.; Przyjazny, A.; Boczkaj, G. Sample preparation procedure using extraction and derivatization of carboxylic acids from aqueous samples by means of deep eutectic solvents for gas chromatographic-mass spectrometric analysis. J. Chromatogr. A 2018, 1555, 10–19. [Google Scholar] [CrossRef]
- Makoś, P.; Boczkaj, G. Deep eutectic solvents based highly efficient extractive desulfurization of fuels–Eco-friendly approach. J. Mol. Liq. 2019, 296, 111916–111927. [Google Scholar] [CrossRef]
- Smink, D.; Kersten, S.R.A.; Schuur, B. Recovery of lignin from deep eutectic solvents by liquid-liquid extraction. Sep. Purif. Technol. 2019, 235, 116127. [Google Scholar] [CrossRef]
- Makoś, P.; Słupek, E.; Gębicki, J. Extractive detoxification of feedstocks for the production of biofuels using new hydrophobic deep eutectic solvents–Experimental and theoretical studies. J. Mol. Liq. 2020, in press. [Google Scholar]
- Florindo, C.; Branco, L.C.; Marrucho, I.M. Development of hydrophobic deep eutectic solvents for extraction of pesticides from aqueous environments. Fluid Phase Equilib. 2017, 448, 135–142. [Google Scholar] [CrossRef]
- Zubeir, L.F.; Van Osch, D.J.G.P.; Rocha, M.A.A.; Banat, F.; Kroon, M.C. Carbon Dioxide Solubilities in Decanoic Acid-Based Hydrophobic Deep Eutectic Solvents. J. Chem. Eng. Data 2018, 63, 913–919. [Google Scholar] [CrossRef]
- Słupek, E.; Makoś, P.; Gębicki, J. Deodorization of model biogas by means of novel non- ionic deep eutectic solvent. Arch. Environ. Prot. 2020, 46, 41–46. [Google Scholar]
- Słupek, E.; Makoś, P. Absorptive Desulfurization of Model Biogas Stream Using Choline Chloride-Based Deep Eutectic Solvents. Sustainability 2020, 12, 1619. [Google Scholar] [CrossRef]
- Pätzold, M.; Siebenhaller, S.; Kara, S.; Liese, A.; Syldatk, C.; Holtmann, D. Deep Eutectic Solvents as Efficient Solvents in Biocatalysis. Trends Biotechnol. 2019, 37, 943–959. [Google Scholar] [CrossRef]
- Samarov, A.A.; Smirnov, M.A.; Sokolova, M.P.; Toikka, A.M. Liquid-Liquid Equilibrium Data for the System N-Octane + Toluene + DES at 293.15 and 313.15 K and Atmospheric Pressure. Theor. Found. Chem. Eng. 2018, 52, 258–263. [Google Scholar] [CrossRef]
- Kareem, M.A.; Mjalli, F.S.; Hashim, M.A.; Hadj-Kali, M.K.O.; Ghareh Bagh, F.S.; Alnashef, I.M. Phase equilibria of toluene/heptane with deep eutectic solvents based on ethyltriphenylphosphonium iodide for the potential use in the separation of aromatics from naphtha. J. Chem. Thermodyn. 2013, 65, 138–149. [Google Scholar] [CrossRef]
- Sander, A.; Rogošić, M.; Slivar, A.; Žuteg, B. Separation of Hydrocarbons by Means of Liquid-Liquid Extraction with Deep Eutectic Solvents. Solvent Extr. Ion Exch. 2016, 34, 86–98. [Google Scholar] [CrossRef]
- Hosseini, A.; Haghbakhsh, R.; Raeissi, S. Experimental Investigation of Liquid-Liquid Extraction of Toluene + Heptane or Toluene + Hexane Using Deep Eutectic Solvents. J. Chem. Eng. Data 2019, 64, 3811–3820. [Google Scholar] [CrossRef]
- Wang, Y.; Hou, Y.; Wu, W.; Liu, D.; Ji, Y.; Ren, S. Roles of a hydrogen bond donor and a hydrogen bond acceptor in the extraction of toluene from: N -heptane using deep eutectic solvents. Green Chem. 2016, 18, 3089–3097. [Google Scholar] [CrossRef]
- Mulyono, S.; Hizaddin, H.F.; Alnashef, I.M.; Hashim, M.A.; Fakeeha, A.H.; Hadj-Kali, M.K. Separation of BTEX aromatics from n-octane using a (tetrabutylammonium bromide + sulfolane) deep eutectic solvent-experiments and COSMO-RS prediction. RSC Adv. 2014, 4, 17597–17606. [Google Scholar] [CrossRef]
- Zulkurnai, N.Z.; Mohammad Ali, U.F.; Ibrahim, N.; Abdul Manan, N.S. Carbon Dioxide (CO2) Adsorption by Activated Carbon Functionalized with Deep Eutectic Solvent (DES). IOP Conf. Ser. Mater. Sci. Eng. 2017, 206, 012001. [Google Scholar] [CrossRef]
- Ghazali, Z.; Hassan, N.H.; Yarmo, M.A.; Peng, T.L.; Othaman, R. Immobilization of choline chloride: Urea onto mesoporous silica for carbon dioxide capture. Sains Malaysiana 2019, 48, 1025–1033. [Google Scholar] [CrossRef]
- Severa, G.; Bethune, K.; Rocheleau, R.; Higgins, S. SO2 sorption by activated carbon supported ionic liquids under simulated atmospheric conditions. Chem. Eng. J. 2015, 265, 249–258. [Google Scholar] [CrossRef]
- Zielińska-Jurek, A.; Bielan, Z.; Dudziak, S.; Wolak, I.; Sobczak, Z.; Klimczuk, T.; Nowaczyk, G.; Hupka, J. Design and application of magnetic photocatalysts for water treatment. The effect of particle charge on surface functionality. Catalysts 2017, 7, 360. [Google Scholar] [CrossRef]
- Brunauer, S.; Emmett, P.H.; Teller, E. Adsorption of Gases in Multimolecular Layers. J. Am. Chem. Soc. 1938, 60, 309–319. [Google Scholar] [CrossRef]
- Nowicki, W.; Piskuła, Z.; Kirszensztejn, P. Characterisation of acidic properties of the surface of SiO2–SnO2 obtained by sol-gel method in anhydrous conditions. Prot. Met. Phys. Chem. Surfaces 2016, 52, 786–792. [Google Scholar] [CrossRef]
- Diosa, J.; Guzman, F.; Bernal, C.; Mesa, M. Formation mechanisms of chitosan-silica hybrid materials and its performance as solid support for KR-12 peptide adsorption: Impact on KR-12 antimicrobial activity and proteolytic stability. J. Mater. Res. Technol. 2020, 9, 890–901. [Google Scholar] [CrossRef]
- Shafqat, S.S.; Khan, A.A.; Zafar, M.N.; Alhaji, M.H.; Sanaullah, K.; Shafqat, S.R.; Murtaza, S.; Pang, S.C. Development of amino-functionalized silica nanoparticles for efficient and rapid removal of COD from pre-treated palm oil effluent. J. Mater. Res. Technol. 2019, 8, 385–395. [Google Scholar] [CrossRef]
- Wang, W.; Li, J.; Wei, X.; Ding, J.; Feng, H.; Yan, J.; Yang, J. Carbon dioxide adsorption thermodynamics and mechanisms on MCM-41 supported polyethylenimine prepared by wet impregnation method. Appl. Energy 2015, 142, 221–228. [Google Scholar] [CrossRef]
- Sas, O.G.; Fidalgo, R.; Domínguez, I.; Macedo, E.A.; González, B. Physical properties of the pure deep eutectic solvent, [ChCl]:[Lev] (1:2) DES, and its binary mixtures with alcohols. J. Chem. Eng. Data 2016, 61, 4191–4202. [Google Scholar] [CrossRef]
- Florindo, C.; Oliveira, F.S.; Rebelo, L.P.N.; Fernandes, A.M.; Marrucho, I.M. Insights into the synthesis and properties of deep eutectic solvents based on cholinium chloride and carboxylic acids. ACS Sustain. Chem. Eng. 2014, 2, 2416–2425. [Google Scholar] [CrossRef]
- Hayyan, M.; Abo-Hamad, A.; AlSaadi, M.A.H.; Hashim, M.A. Functionalization of graphene using deep eutectic solvents. Nanoscale Res. Lett. 2015, 10, 324. [Google Scholar] [CrossRef]
- Wang, J.; Sun, J.; Li, Y.; Wang, F. Preparation, characterization and luminescent properties of dense nano-silica hybrids loaded with 1,8-naphthalic anhydride. Luminescence 2014, 29, 188–194. [Google Scholar] [CrossRef]
- Gomez, I.J.; Arnaiz, B.; Cacioppo, M.; Arcudi, F.; Prato, M. Nitrogen-doped Carbon Nanodots for bioimaging and delivery of paclitaxel. J. Mater. Chem. B 2018, 6, 5540–5548. [Google Scholar] [CrossRef]
- Musić, S.; Filipović-Vinceković, N.; Sekovanić, L. Precipitation of amorphous SiO2 particles and their properties. Brazilian J. Chem. Eng. 2011, 28, 89–94. [Google Scholar] [CrossRef]
- Sharma, R.K.; Puri, A.; Kumar, A.; Adholeya, A. Chemically modified silica gel with 1-{4-[(2-hydroxy-benzylidene)amino]phenyl}ethanone: Synthesis, characterization and application as an efficient and reusable solid phase extractant for selective removal of Zn(II) from mycorrhizal treated fly-ash sample. J. Environ. Sci. (China) 2013, 25, 1252–1261. [Google Scholar] [CrossRef]
- Sasaki, H.; Daicho, S.; Yamada, Y.; Nibu, Y. Comparable strength of OH-O versus OH-π hydrogen bonds in hydrogen-bonded 2,3-benzofuran clusters with water and methanol. J. Phys. Chem. A 2013, 117, 3183–3189. [Google Scholar] [CrossRef]








| No. | Type of Adsorbent | Type of DES (HBA:HBD mol ratio) | Melting Points of DES (°C) | Viscosity of DES at 25 °C (mPas) | Abbreviation of New Adsorbent | Impregnation Solution DES/MeOH (wt.% DES) | mDES (g) |
|---|---|---|---|---|---|---|---|
| 1 | SiO2 | − | − | − | SiO2 | 85% | − |
| 2 | SiO2 | ChCl:Lev (1:2) | Liquid at RT 1) | 255.8 1 | SiO2-ChCl:Lev | 85% | 0.58 |
| 3 | SiO2 | TPABr:LA (1:2) | −11 | >600 | SiO2-TPABr:LA | 85% | 0.57 |
| 4 | SiO2 | TPABr:Lev (1:3) | −7 | >600 | SiO2-TPABr:Lev | 85% | 0.61 |
| 5 | SiO2 | TPABr:Ph (1:2) | 24 | >600 | SiO2-TPABr:Ph | 85% | 0.60 |
| No. | Adsorbent | BET Surface Area (m2/g) | Pore Volume (cm3/g) |
|---|---|---|---|
| 1 | SiO2 | 299.41 | 0.1484 |
| 2 | SiO2-ChCl:Lev | 248.11 | 0.1196 |
| 3 | SiO2-TPABr:LA | 257.71 | 0.1238 |
| 4 | SiO2-TPABr:Lev | 253.45 | 0.1228 |
| 5 | SiO2-TPABr:Ph | 281.29 | 0.1358 |
| Adsorbent | Initial Concentration (mg/m3) | ||
|---|---|---|---|
| 50 | 100 | 300 | |
| SiO2 | 9.3 | 26.1 | 43.1 |
| SiO2-TPABr:Ph | 31.4 | 91.8 | 147.5 |
| SiO2-ChCl:Lev | 35.3 | 100.1 | 178.2 |
| SiO2-TPABr:Lev | 44.3 | 151.4 | 218.8 |
| SiO2-TPABr:LA | 50.3 | 188.5 | 254.9 |
| Adsorbent | Initial Concentration (mg/m3) | |||
|---|---|---|---|---|
| Benzene | Toluene | Ethylbenzene | p-xylene | |
| SiO2 | 40.1 | 42.4 | 44.7 | 46.2 |
| SiO2-TPABr:Ph | 138.2 | 140.8 | 150.1 | 154.2 |
| SiO2-ChCl:Lev | 155.9 | 165.4 | 174.9 | 189.9 |
| SiO2-TPABr:Lev | 202.7 | 211.2 | 215.5 | 228.4 |
| SiO2-TPABr:LA | 222.3 | 234.1 | 259.7 | 271.3 |
| Adsorbent | Flow Rate (m3/h) | ||
|---|---|---|---|
| 1 | 2.5 | 5 | |
| SiO2 | 9.1 | 36.2 | 43.1 |
| SiO2-TPABr:Ph | 35.0 | 114.1 | 147.5 |
| SiO2-ChCl:Lev | 38.8 | 127.4 | 178.2 |
| SiO2-TPABr:Lev | 40.0 | 181.6 | 218.8 |
| SiO2-TPABr:LA | 56.3 | 200.1 | 254.9 |
| Adsorbent | Number of Cycles | ||
|---|---|---|---|
| 1st | 3rd | 5th | |
| SiO2 | 43.1 | 41.2 | 39.8 |
| SiO2-TPABr:Ph | 147.5 | 146.0 | 145.4 |
| SiO2-ChCl:Lev | 178.2 | 177.2 | 176.4 |
| SiO2-TPABr:Lev | 218.8 | 216.1 | 215.5 |
| SiO2-TPABr:LA | 254.9 | 252.7 | 251.4 |
© 2020 by the authors. Licensee MDPI, Basel, Switzerland. This article is an open access article distributed under the terms and conditions of the Creative Commons Attribution (CC BY) license (http://creativecommons.org/licenses/by/4.0/).
Share and Cite
Makoś, P.; Słupek, E.; Małachowska, A. Silica Gel Impregnated by Deep Eutectic Solvents for Adsorptive Removal of BTEX from Gas Streams. Materials 2020, 13, 1894. https://doi.org/10.3390/ma13081894
Makoś P, Słupek E, Małachowska A. Silica Gel Impregnated by Deep Eutectic Solvents for Adsorptive Removal of BTEX from Gas Streams. Materials. 2020; 13(8):1894. https://doi.org/10.3390/ma13081894
Chicago/Turabian StyleMakoś, Patrycja, Edyta Słupek, and Aleksandra Małachowska. 2020. "Silica Gel Impregnated by Deep Eutectic Solvents for Adsorptive Removal of BTEX from Gas Streams" Materials 13, no. 8: 1894. https://doi.org/10.3390/ma13081894
APA StyleMakoś, P., Słupek, E., & Małachowska, A. (2020). Silica Gel Impregnated by Deep Eutectic Solvents for Adsorptive Removal of BTEX from Gas Streams. Materials, 13(8), 1894. https://doi.org/10.3390/ma13081894

