Mechanical Characteristics of Cement-Based Grouting Material in High-Geothermal Tunnel
Abstract
1. Introduction
2. Experiment Design
2.1. Raw Materials and Specimen Preparation
2.2. Experimental Procedures
2.2.1. Curing Method for Samples
2.2.2. Uniaxial Compression Test
3. Results and Discussion
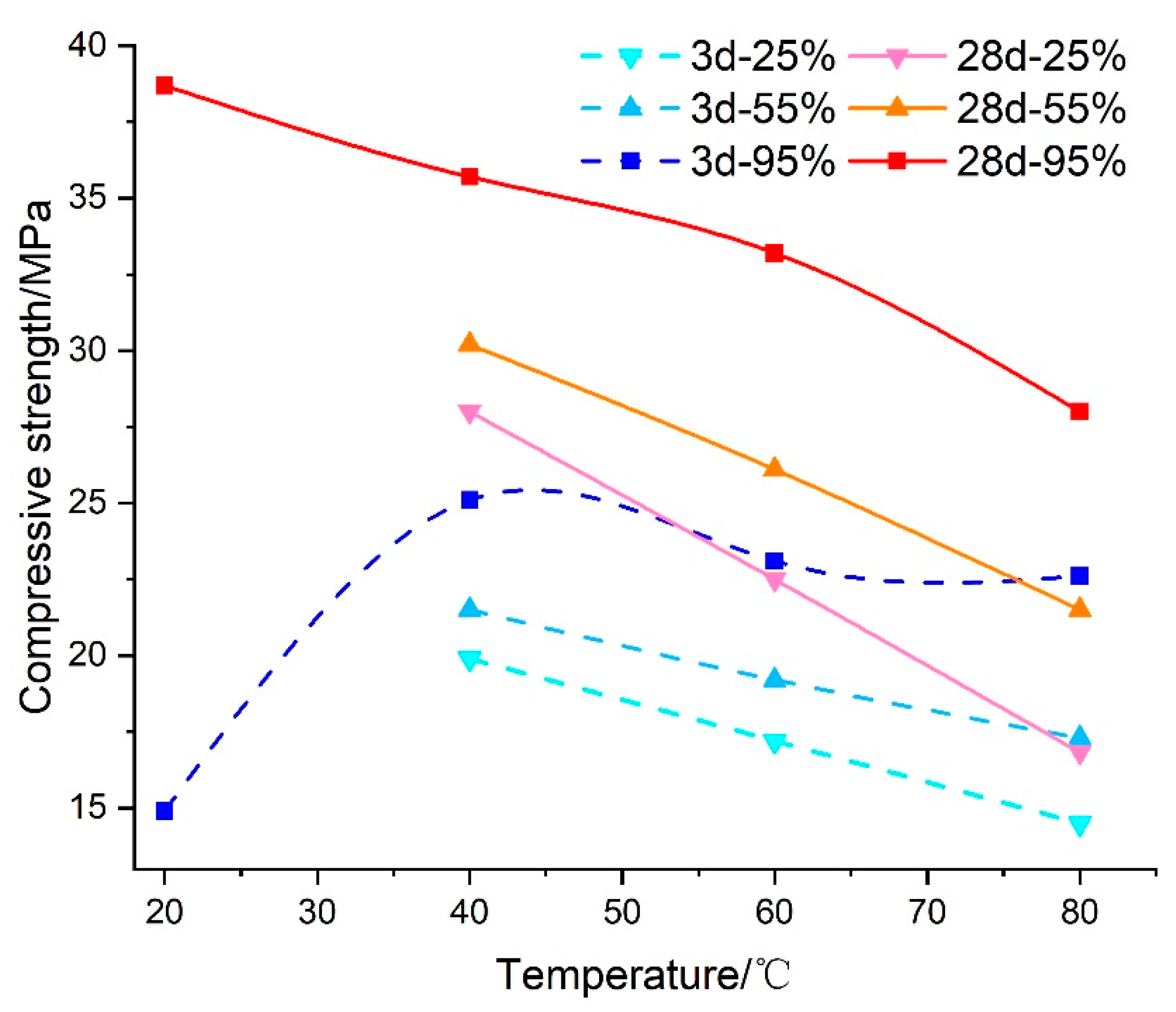
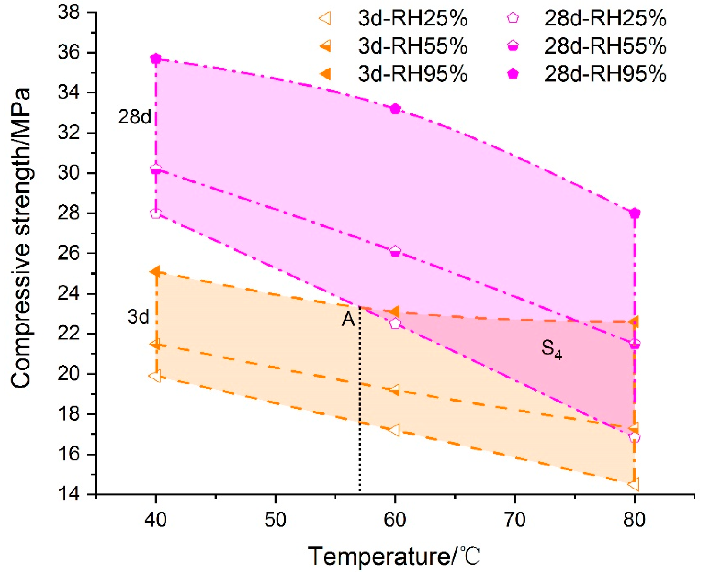
3.1. The Coupling Effect of Temperature and RH on Compressive Strength
3.2. Stress-Strain Characteristics in Compression
3.2.1. Fracture Failure Process
3.2.2. Peak Stress and Strain
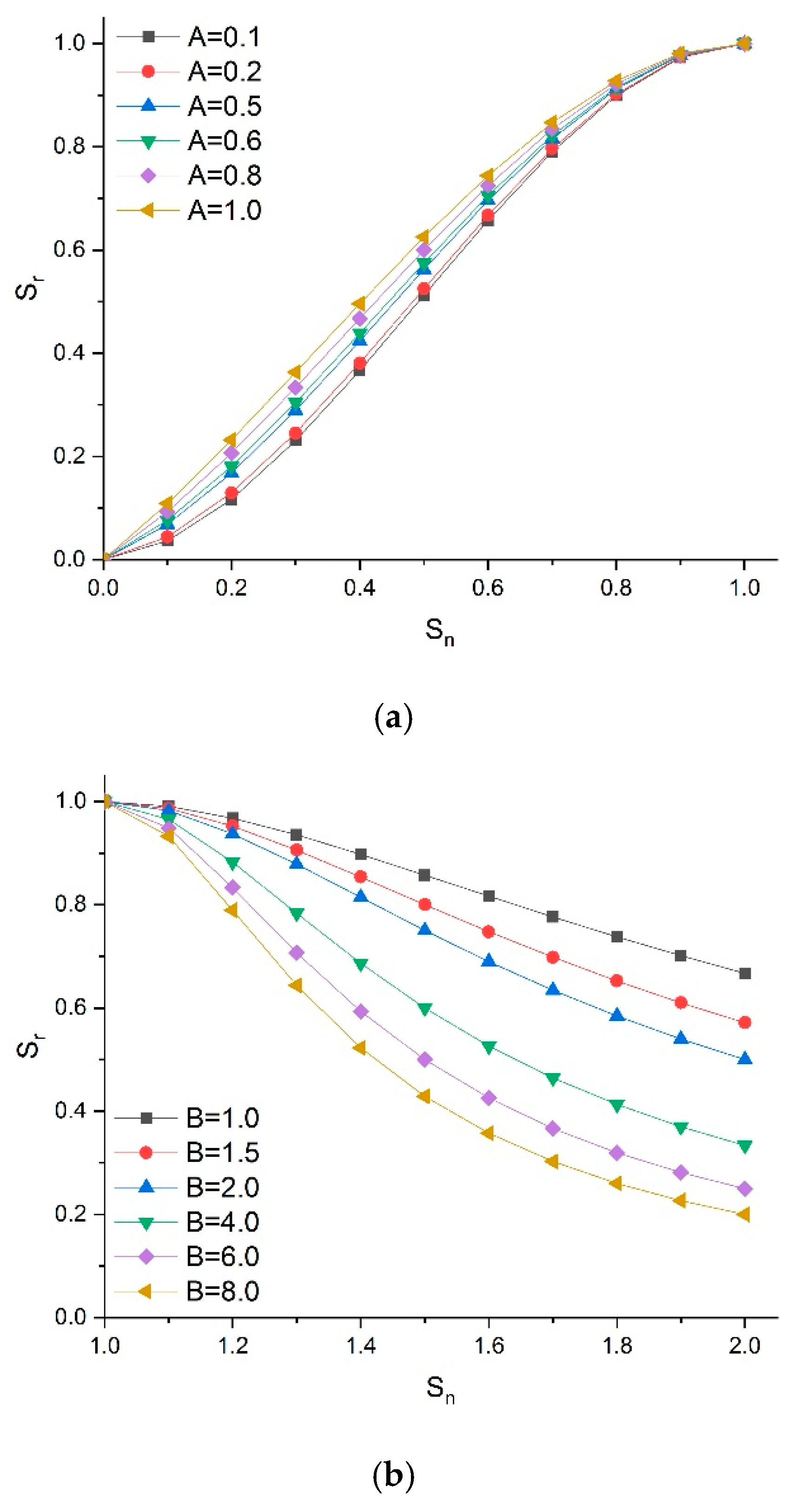
3.2.3. Quantitative Relationship between Curing Conditions and Relative Stress-Strain
3.3. Establishment of Constitutive Model
4. Conclusions
Author Contributions
Funding
Conflicts of Interest
References
- Jensen, O.M.; Hansen, P.F. Water-entrained cement-based materials: II. Experimental observations. Cem. Concr. Res. 2002, 32, 973–978. [Google Scholar] [CrossRef]
- Zong, Y.; Han, L.; Han, G. Mechanical characteristics of confined grouting reinforcement for cracked rock mass. J. Min. Saf. Eng. 2013, 30, 483–488. [Google Scholar]
- Gu, B. Countermeasures against high temperatures in a tunnel and the corresponding ventilation design—Feasibility study for the super-long Gaoligonshan tunnel. Mod. Tunn. Technol. 2007, 2, 66–71. [Google Scholar]
- Wang, M.; Tang, X.; Wu, Q.; Tong, J.; Dong, C. Temperature Field Variation Rules of Rock and Support Structure in High Rock Temperature Tunnel. J. China Railw. Soc. 2016, 38, 126–132. [Google Scholar]
- Byle, M.J. Verification of Geotechnical Grouting; American Society of Civil Engineers: New York, NY, USA, 1995. [Google Scholar]
- Skjølsvold, O.; Justnes, H. TIGHT-Prøving av Injiseringssementer, Laboratorieprøving; SINTEF: Trondheim, Norway, 2015. [Google Scholar]
- Li, H.; Yang, K.; Guan, X. Properties of sulfoaluminate cement-based grouting materials modified with LiAl-layered double hydroxides in the presence of PCE superplasticizer. Constr. Build. Mater. 2019, 226, 399–405. [Google Scholar] [CrossRef]
- Li, S.; Zhang, J.; Li, Z.; Gao, Y.; Qi, Y.; Li, H.; Zhang, Q. Investigation and practical application of a new cementitious anti-washout grouting material. Constr. Build. Mater. 2019, 224, 66–77. [Google Scholar] [CrossRef]
- Won, J.-P.; Hwang, U.-J.; Kim, C.-K.; Lee, S.-J. Mechanical performance of shotcrete made with a high-strength cement-based mineral accelerator. Constr. Build. Mater. 2013, 49, 175–183. [Google Scholar] [CrossRef]
- Wang, M.; Hu, Y.; Wang, Q.; Tian, H.; Liu, D. A study on strength characteristics of concrete under variable temperature curing conditions in ultra-high geothermal tunnels. Constr. Build. Mater. 2019, 229, 116989. [Google Scholar] [CrossRef]
- Widmann, R. International Society for Rock Mechanics Commission on Rock Grouting. In International Journal of Rock Mechanics and Mining Sciences & Geomechanics Abstracts; Elsevier: Amsterdam, The Netherlands, 1996; pp. 803–847. [Google Scholar]
- Mirza, J.; Saleh, K.; Langevin, M.-A.; Mirza, S.; Bhutta, M.A.R.; Tahir, M.M. Properties of microfine cement grouts at 4 C, 10 C and 20 C. Constr. Build. Mater. 2013, 47, 1145–1153. [Google Scholar] [CrossRef]
- Elkhadiri, I.; Palacios, M.; Puertas, F. Effect of curing temperature on cement hydration. Ceram Silik 2009, 53, 65–75. [Google Scholar]
- Holt, E.; Leivo, M. Cracking risks associated with early age shrinkage. Cem. Concr. Compos. 2004, 26, 521–530. [Google Scholar] [CrossRef]
- Bohloli, B.; Skjolsvold, O.; Justnes, H.; Olsson, R.; Grov, E.; Aarset, A. Cements for tunnel grouting—Rheology and flow properties tested at different temperatures. Tunn. Undergr. Space Technol. 2019, 91, 103011. [Google Scholar] [CrossRef]
- Chen, B.; Li, C.; Chen, L. Experimental study of mechanical properties of normal-strength concrete exposed to high temperatures at an early age. Fire Saf. J. 2009, 44, 997–1002. [Google Scholar] [CrossRef]
- Wang, L.; Yuan, G.-L.; Zhou, L.-X. Study on the mechanical property of early age concrete columns after high temperature. Concrete 2011, 265, 11–13. [Google Scholar]
- Li, Q.; Liu, L.; Huang, Z.; Yuan, G. Residual compressive strength of cement-based grouting material with early ages after fire. Constr. Build. Mater. 2017, 138, 316–325. [Google Scholar] [CrossRef]
- Li, Q.; Liu, L.; Huang, Z.; Yuan, G. Degradation of the elastic modulus of cement-based grouting material with early ages after fire. Constr. Build. Mater. 2018, 187, 510–518. [Google Scholar] [CrossRef]
- Hu, Y.; Wang, M.; Wang, Q.; Liu, D.; Tong, J. Field test of thermal environment and thermal adaptation of workers in high geothermal tunnel. Build. Environ. 2019, 160, 106174. [Google Scholar]
- Mingnian, W.; Yunpeng, H.U.; Jianjun, T.; Qiling, W.; Yicheng, W.; Congyu, D. Experimental study on shear mechanical properties and thermal damage model of shotcrete-rock interfaces under variable high temperatures. Chin. J. Rock Mech. Eng. 2019, 38, 63–79. [Google Scholar]
- Cui, S.; Xu, D.; Liu, P.; Ye, Y. Exploratory Study on Improving Bond Strength of Shotcrete in Hot and Dry Environments of High Geothermal Tunnels. KSCE J. Civ. Eng. 2017, 21, 2245–2251. [Google Scholar] [CrossRef]
- Cui, S.G.; Liu, P.; Su, J.; Cui, E.Q.; Guo, C.; Zhu, B. Experimental study on mechanical and microstructural properties of cement-based paste for shotcrete use in high-temperature geothermal environment. Constr. Build. Mater. 2018, 174, 603–612. [Google Scholar] [CrossRef]
- Common Portland Cement (GB175-2007); General Administration of Quality Supervision, Inspection and Quarantine of the Peoples’s Sepublic of China (AQSIQ); Standardization Administration of the People’s Republic of China (SA): Beijing, China, 2007.
- Goy, L.; Fabre, D.; Menard, G. Modelling of rock temperatures for deep alpine tunnel projects. Rock Mech. Rock Eng. 1996, 29, 1–18. [Google Scholar] [CrossRef]
- Wilhelm, J.; Rybach, L. The geothermal potential of Swiss Alpine tunnels. Geothermics 2003, 32, 557–568. [Google Scholar] [CrossRef]
- Koltzer, N.; Scheck-Wenderoth, M.; Bott, J.; Cacace, M.; Frick, M.; Sass, I.; Fritsche, J.-G.; Bär, K. The Effects of Regional Fluid Flow on Deep Temperatures (Hesse, Germany). Energies 2019, 12, 2081. [Google Scholar] [CrossRef]
- Liu, X.; Yao, Z.; Xue, W.; Li, X. Development, Performance, and Microscopic Analysis of New Anchorage Agent with Heat Resistance, High Strength, and Full Length. Adv. Mater. Sci. Eng. 2019, 2019, 4239486. [Google Scholar] [CrossRef]
- Abdus, S.; Cheng, X.; Huang, W.; Ahmed, A.; Hu, R. Bearing failure and influence factors analysis of metal-to-composite bolted joints at high temperature. J. Braz. Soc. Mech. Sci. Eng. 2019, 41, 298. [Google Scholar] [CrossRef]
- Yuan, P. Discussion on key technologies for construction of water diversion tunnel under super-high ground temperature. Water Resour. Hydropower Eng. (Chin.) 2014, 45, 101–106. [Google Scholar]
- Lan, S.R.; Guo, Z.H. Biaxial compression behavior of concrete under repeated loading. J. Mater. Civ. Eng. 1999, 11, 105–115. [Google Scholar] [CrossRef]
- Zhenhai, G. Strength and Deformation of Concrete—Experimental Basis and Constitutive Relationship; Tsinghua University Press: Beijing, China, 1997. [Google Scholar]


















| Item | <5 µm (%) | <10 µm (%) | 10~30 µm (%) | <30 µm (%) | Homogeneity Coefficient |
|---|---|---|---|---|---|
| Cement | 9.43 | 31.30 | 41.75 | 73.05 | 1.035 |
| Item | <0.15 µm (%) | <0.3 mm (%) | <0.6 mm (%) | <1.18 mm (%) | <2.36 mm (%) | <4.75 mm (%) |
|---|---|---|---|---|---|---|
| Sand | 3.75 | 27.05 | 49.24 | 70.36 | 96.14 | 100 |
| Item | Content (%) |
|---|---|
| SiO2 | 18.6 |
| Al2O3 | 6.2 |
| K2O | 1.0 |
| Na2O | 0.2 |
| Fe2O3 | 4.76 |
| MgO | 1.71 |
| CaO | 66 |
| Material loss | 1.53 |
| Testing Item | Temperature/°C | Relative Humidity/% | Curing Mode | Curing Age/Day |
|---|---|---|---|---|
| Compressive strength | 40, 60, 80 | 25, 55, 95 | VTC | 3, 28 |
| 20 | 95 | SC | 3, 28 |
| Relative Humidity | Testing Item | T-20 °C | T-40 °C | T-60 °C | T-80 °C |
|---|---|---|---|---|---|
| RH25% | Peak Stress (MPa) | - | 27.96 | 22.78 | 16.83 |
| Strain | - | 2.66 × 10−3 | 2.87 × 10−3 | 3.24 × 10−3 | |
| RH55% | Peak Stress (MPa) | - | 30.12 | 26.71 | 21.51 |
| Strain | - | 2.25 × 10−3 | 2.45 × 10−3 | 2.87 × 10−3 | |
| RH95% | Peak Stress (MPa) | 37.65 | 35.62 | 33.9 | 27.96 |
| Strain | 1.91 × 10−3 | 2.05 × 10−3 | 2.34 × 10−3 | 2.66× 10−3 |
| Curing Condition | Parameter A | R2 | Parameter B | R2 |
|---|---|---|---|---|
| SC–20 °C–RH95% | 0.979 | 0.996 | 3.708 | 0.997 |
| VTC–40 °C–RH25% | 0.749 | 0.99843 | 2.028 | 0.944 |
| VTC–40 °C–RH55% | 0.839 | 0.99584 | 2.19 | 0.9972 |
| VTC–40 °C–RH95% | 0.896 | 0.99611 | 2.916 | 0.989 |
| VTC–60 °C–RH25% | 0.527 | 0.99412 | 1.816 | 0.997 |
| VTC–60 °C–RH55% | 0.766 | 0.98942 | 1.958 | 0.999 |
| VTC–60 °C–RH95% | 0.831 | 0.999 | 2.358 | 0.980 |
| VTC–80 °C–RH25% | 0.305 | 0.99756 | 1.408 | 0.975 |
| VTC–80 °C–RH55% | 0.538 | 0.98387 | 1.568 | 0.995 |
| VTC–80 °C–RH95% | 0.755 | 0.99848 | 2.026 | 0.971 |
© 2020 by the authors. Licensee MDPI, Basel, Switzerland. This article is an open access article distributed under the terms and conditions of the Creative Commons Attribution (CC BY) license (http://creativecommons.org/licenses/by/4.0/).
Share and Cite
Wang, M.; Hu, Y.; Jiang, C.; Wang, Y.; Liu, D.; Tong, J. Mechanical Characteristics of Cement-Based Grouting Material in High-Geothermal Tunnel. Materials 2020, 13, 1572. https://doi.org/10.3390/ma13071572
Wang M, Hu Y, Jiang C, Wang Y, Liu D, Tong J. Mechanical Characteristics of Cement-Based Grouting Material in High-Geothermal Tunnel. Materials. 2020; 13(7):1572. https://doi.org/10.3390/ma13071572
Chicago/Turabian StyleWang, Mingnian, Yunpeng Hu, Cheng Jiang, Yicheng Wang, Dagang Liu, and Jianjun Tong. 2020. "Mechanical Characteristics of Cement-Based Grouting Material in High-Geothermal Tunnel" Materials 13, no. 7: 1572. https://doi.org/10.3390/ma13071572
APA StyleWang, M., Hu, Y., Jiang, C., Wang, Y., Liu, D., & Tong, J. (2020). Mechanical Characteristics of Cement-Based Grouting Material in High-Geothermal Tunnel. Materials, 13(7), 1572. https://doi.org/10.3390/ma13071572
