Effect of T-Shape Shoulder Fillet on the Plastic Deformation Properties of SS400 and LYS160 Steel
Abstract
1. Introduction
2. Research Plan
2.1. Test Plan
2.2. Test Setup
3. Results and Discussion
3.1. Failure Mode
3.1.1. Tension
3.1.2. Torsion
3.1.3. Fracture Surface
3.1.4. Cyclical Shear
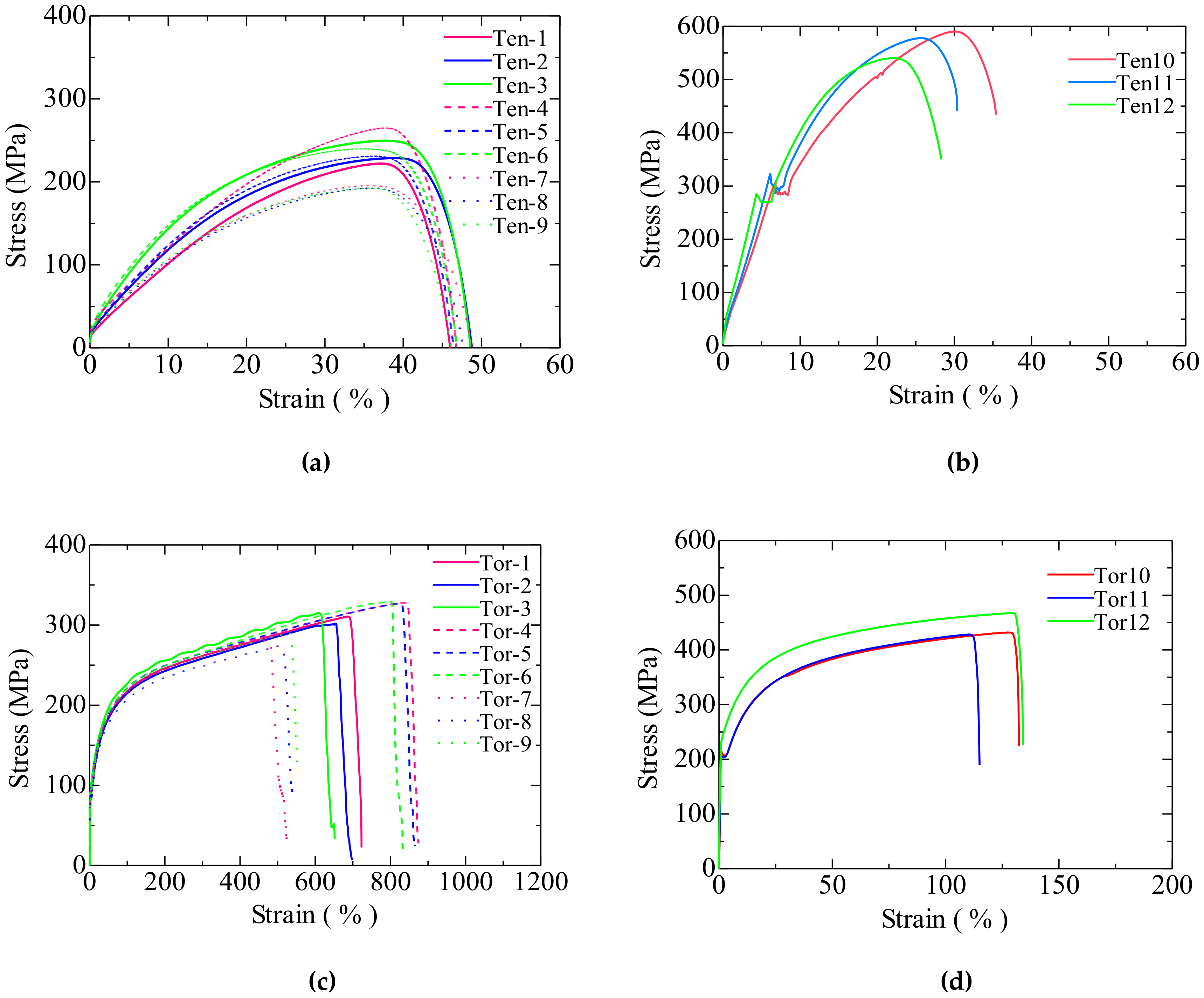
3.2. Stress–Strain Curve
3.2.1. Monotonic Loading
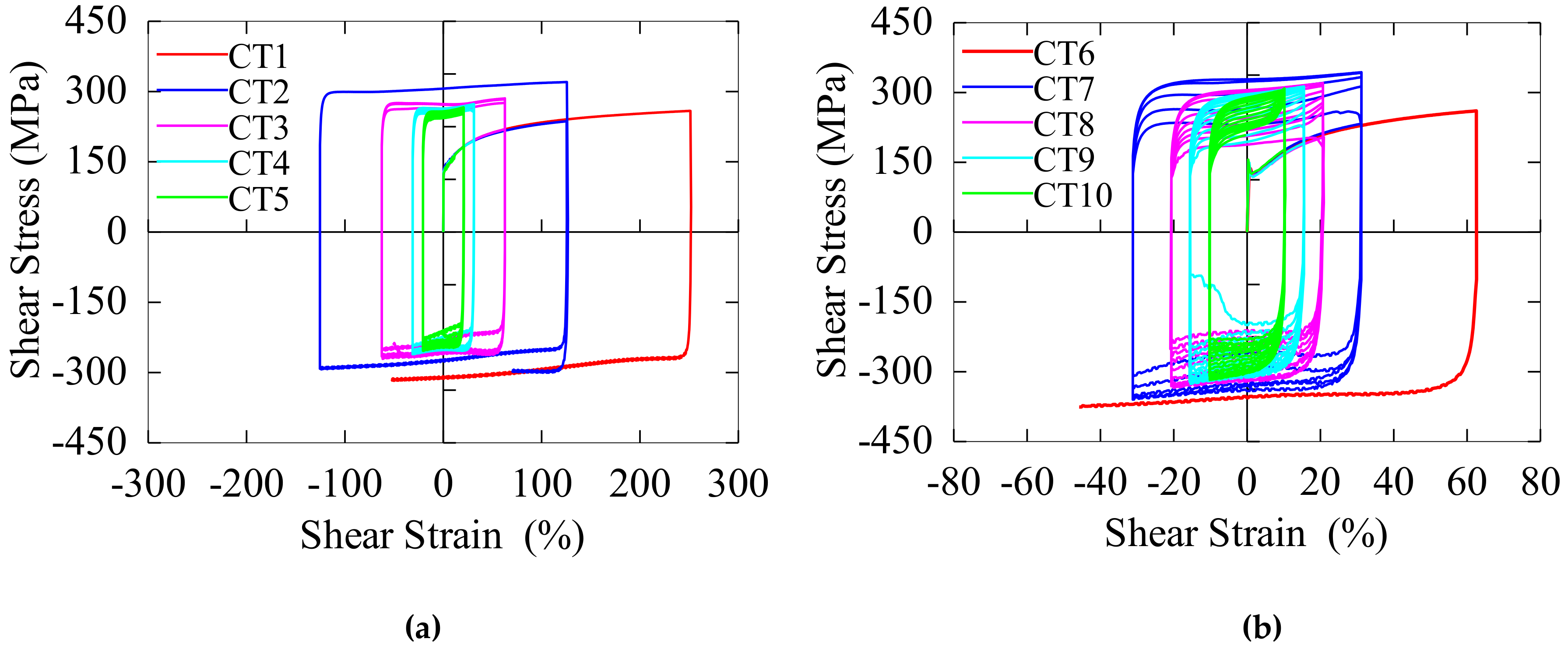
3.2.2. Cyclical Torsional Loading
3.3. Deformation Property
3.3.1. Deformation Capacity under Monotonic Loading
3.3.2. Deformation Capacity under Cyclical Loading
4. Conclusions
- (1)
- For LYS160 or SS400, its deformation capacity was not significantly affected by the transition form of fillets under tension loading.
- (2)
- The shear deformation capacity was affected by the fillet shape, while it was insensitive to the fillet radius.
- (3)
- Under reciprocating shear, the deformation capacity of large plastic material (LYS160) was affected by the T-shape fillet slightly, while the deformation capacity of small plastic material (SS400) was affected by the T-shape fillet greatly.
- (4)
- Under repeating shear, stable interlayer deformation could be obtained in the middle part, and the deformation capacity of LYS160 specimens depended on the T-shape fillet. There was no stable deformation in the middle part, the deformation capacity of SS400 specimens was not affected by the T-shape fillet.
- (5)
- When the fatigue cycle was 30, the corresponding amplitude of the LYS160 specimens with a T-shape fillet was 25% shear strain, which can meet most engineering applications.
Author Contributions
Funding
Conflicts of Interest
References
- Yu, J.-G.; Liu, L.-M.; Li, B.; Hao, J.-P.; Gao, X.; Feng, X.-T. Comparative study of steel plate shear walls with different types of unbonded stiffeners. J. Constr. Steel Res. 2019, 159, 384–396. [Google Scholar] [CrossRef]
- Ozcelik, R.; Dikiciasik, Y.; Erdil, E.F. The development of the buckling restrained braces with new end restrains. J. Constr. Steel Res. 2017, 138, 208–220. [Google Scholar] [CrossRef]
- Li, Z.; Shu, G.; Huang, Z. Development and cyclic testing of an innovative shear-bending combined metallic damper. J. Constr. Steel Res. 2019, 158, 28–40. [Google Scholar] [CrossRef]
- Zhang, C.; Aoki, T.; Zhang, Q.; Wu, M. The performance of low-yield-strength steel shear-panel damper with without buckling. J. Mater. Struct. 2015, 48, 1233–1242. [Google Scholar]
- Alinia, M.M. A study into optimization of stiffeners in panel subjected to shear loading, Thin-Walled. Structures 2005, 43, 845–860. [Google Scholar]
- Zhang, C.; Zhang, Z.; Shi, J. Development of high deformation capacity low yield strength steel shear panel damper. J. Constr. Steel Res. 2012, 75, 116–130. [Google Scholar] [CrossRef]
- Jin, S.; Bai, J.; Ou, J. Seismic behavior of a buckling-restrained steel panel shear wall with inclined slots. J. Constr. Steel Res. 2017, 129, 1–11. [Google Scholar] [CrossRef]
- Brando, G.; De Matteis, G. Design of low strength-high hardening metal multi-stiffened shear plates. Eng. Struct. 2014, 60, 2–10. [Google Scholar] [CrossRef]
- Wang, C.L.; Usami, T.; Funayama, J. Evaluating the influence of stoppers on the low-cycle fatigue properties of high-performance buckling-restrained braces. Eng. Struct. 2012, 41, 167–176. [Google Scholar] [CrossRef]
- Chen, S.J.; Chang, C.C. Experimental study of low yield point steel gusset plate connections. Thin-Walled Struct. 2012, 57, 62–69. [Google Scholar] [CrossRef]
- Liu, G.; Zhang, R.; Yi, Y.; Sun, L.; Shi, L.; Jiang, H.; Ma, S. Experimental and simulation study on stress concentration of graphite components in tension. Mech. Mater. 2019, 130, 88–94. [Google Scholar] [CrossRef]
- Waldman, W.; Heller, M.; Chen, G.X. Optimal free-form shapes for shoulder fillets in flat plates under tension and bending. Int. J. Fatigue 2001, 23, 509–523. [Google Scholar] [CrossRef]
- Sanchez-Marin, F.; Roda-Casanova, V.; Porras-Vazquez, A. A new analytical model to predict the transversal deflection under load of stepped shafts. Int. J. Mech. Sci. 2018, 147, 91–104. [Google Scholar] [CrossRef]
- Firat, M. A notch strain calculation of a notched specimen under axial-torsion loadings. Mater. Design 2011, 32, 3876–3882. [Google Scholar] [CrossRef]
- Liu, Y.; Masatoshi, S. Shape optimization of shear panel damper for improving the deformation ability under cyclic loading. Struct. Multidiscip. Optim. 2013, 48, 427–435. [Google Scholar] [CrossRef]
- Hamada, S.; Moriyama, T.; Noguchi, H. Dependence of fatigue limit on step height for stepped 0.45% carbon steel with singular stress field. Eng. Fract. Mech. 2018, 188, 20–35. [Google Scholar] [CrossRef]
- Lansard, R. Fillets without stress concentrations. Proc. Soc. Exp. Stress Anal. 1955, 13, 97–104. [Google Scholar]
- Wu, Z. An efficient approach for shape optimization of components. Int. J. Mech. Sci. 2005, 47, 1595–1610. [Google Scholar] [CrossRef]
- SBhavikatti, S.; Ramakrishnan, C. Optimum shape design of shoulder fillets in tension bars and T-heads. Int. J. Mech. Sci. 1979, 21, 29–39. [Google Scholar] [CrossRef]
- GB/T228-2002. In Metallic Materials: Tensile Testing at Ambient Temperature; China Standard Press: Beijing, China, 2002. (In Chinese)
- Hamada, S.; Ueda, M.; Hayashi, K.; Noguchi, H. Simple calculation method for stress concentration and stress intensity of T-shaped member. Int. J. Mech. Sci. 2013, 75, 8–15. [Google Scholar] [CrossRef]
- Zhang, C.; Wang, L.; Sun, C.; Wu, M. Feasibility of the evaluation of the deformation capacity of the shear panel damper by FEM. J. Constr. Steel Res. 2018, 147, 433–443. [Google Scholar] [CrossRef]
- Zhang, C.; Zhu, T.; Wang, L.; Wu, M. Ultra-low cycle fatigue performance evaluation of the miniaturized low yield strength steel shear panel damper. J. Constr. Steel Res. 2017, 135, 277–284. [Google Scholar] [CrossRef]
- Zhang, C.; Wang, L.; Wu, M.; Zhao, J. Plastic behavior of metallic damping materials under cyclical shear loading. Materials 2016, 9, 496. [Google Scholar] [CrossRef] [PubMed]












| Name | Material | Clamp Diameter (D) (mm) | Specimen Diameter (d) (mm) | Specimen Length (mm) | Fillet Height (mm) | Fillet Shape | Shoulder Angle (°) | Loading |
|---|---|---|---|---|---|---|---|---|
| Ten1 | LYS160 | 12 | 10 | 50 | 1 | T | 90 | Tension |
| Ten2 | 14 | 2 | ||||||
| Ten3 | 16 | 3 | ||||||
| Ten4 | 12 | 1 | Arc | 90 | Tension | |||
| Ten5 | 14 | 2 | ||||||
| Ten6 | 16 | 3 | ||||||
| Ten7 | 16 | 3 | Oblique T | 30 | Tension | |||
| Ten8 | 45 | |||||||
| Ten9 | 60 | |||||||
| Ten10 | SS400 | 12 | 1 | T | 90 | Tension | ||
| Ten11 | 14 | 2 | ||||||
| Ten12 | 16 | 3 | ||||||
| Tor1 | LYS160 | 12 | 1 | T | 90 | Torsion | ||
| Tor2 | 14 | 2 | ||||||
| Tor3 | 16 | 3 | ||||||
| Tor4 | 12 | 1 | Arc | 90 | Torsion | |||
| Tor5 | 14 | 2 | ||||||
| Tor6 | 16 | 3 | ||||||
| Tor7 | 16 | 3 | ObliqueT | 30 | Torsion | |||
| Tor8 | 45 | |||||||
| Tor9 | 60 | |||||||
| Tor10 | SS400 | 12 | 1 | T | 90 | Torsion | ||
| Tor11 | 14 | 2 | ||||||
| Tor12 | 16 | 3 |
| Name | Material | Clamp Diameter (mm) | Specimen Diameter (mm) | Specimen Length (mm) | Fillet Shape | Loading Angle (°) | Shear Strain (%) | Loading |
|---|---|---|---|---|---|---|---|---|
| CT1 | LYS160 | 16 | 10 | 50 | T | 1440 | 248 | Cyclical Torsion |
| CT2 | 720 | 124 | ||||||
| CT3 | 360 | 62 | ||||||
| CT4 | 180 | 31 | ||||||
| CT5 | 120 | 21 | ||||||
| CT6 | SS400 | 360 | 62 | |||||
| CT7 | 180 | 31 | ||||||
| CT8 | 120 | 21 | ||||||
| CT9 | 90 | 16 | ||||||
| CT10 | 60 | 11 |
© 2020 by the authors. Licensee MDPI, Basel, Switzerland. This article is an open access article distributed under the terms and conditions of the Creative Commons Attribution (CC BY) license (http://creativecommons.org/licenses/by/4.0/).
Share and Cite
Zhang, C.; Shixi, C.; Lin, X.; Zhao, J.; Wang, Q. Effect of T-Shape Shoulder Fillet on the Plastic Deformation Properties of SS400 and LYS160 Steel. Materials 2020, 13, 1528. https://doi.org/10.3390/ma13071528
Zhang C, Shixi C, Lin X, Zhao J, Wang Q. Effect of T-Shape Shoulder Fillet on the Plastic Deformation Properties of SS400 and LYS160 Steel. Materials. 2020; 13(7):1528. https://doi.org/10.3390/ma13071528
Chicago/Turabian StyleZhang, Chaofeng, Chen Shixi, Xuchuan Lin, Junhua Zhao, and Quanlong Wang. 2020. "Effect of T-Shape Shoulder Fillet on the Plastic Deformation Properties of SS400 and LYS160 Steel" Materials 13, no. 7: 1528. https://doi.org/10.3390/ma13071528
APA StyleZhang, C., Shixi, C., Lin, X., Zhao, J., & Wang, Q. (2020). Effect of T-Shape Shoulder Fillet on the Plastic Deformation Properties of SS400 and LYS160 Steel. Materials, 13(7), 1528. https://doi.org/10.3390/ma13071528
