Effects of Silicon Content and Tempering Temperature on the Microstructural Evolution and Mechanical Properties of HT-9 Steels
Abstract
1. Introduction
2. Experimental
3. Results
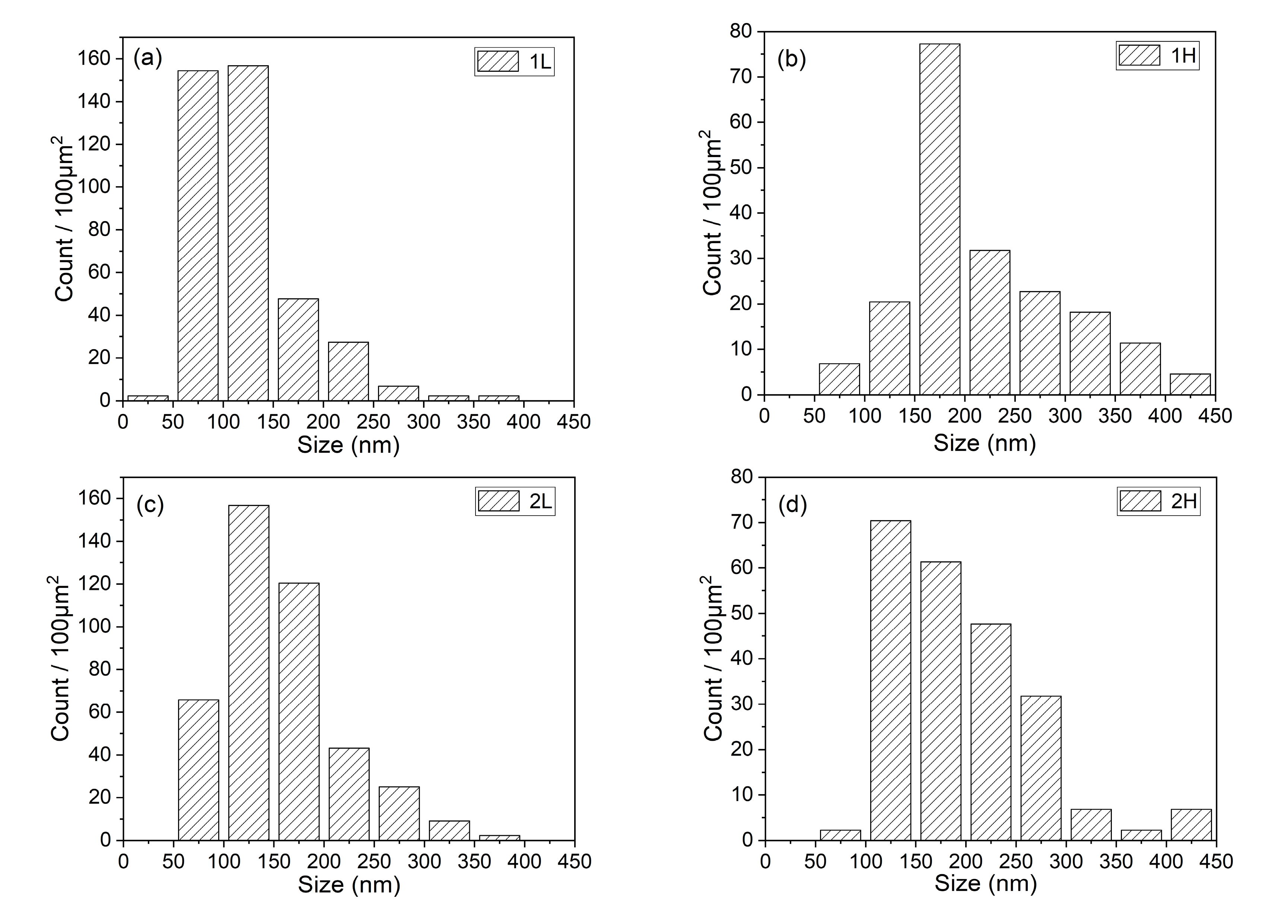
3.1. Microstructures
3.2. Mechanical Tests Results
3.3. Fractography
4. Discussion
4.1. Effects of Si Content on Microstructure and Mechanical Properties
4.2. Effects of Tempering Temperature on Microstructure and Mechanical Properties
5. Conclusions
Author Contributions
Funding
Acknowledgments
Conflicts of Interest
Data Availability
References
- Klueh, R.; Nelson, A. Ferritic/martensitic steels for next-generation reactors. J. Nucl. Mater. 2007, 371, 37–52. [Google Scholar] [CrossRef]
- Abe, F.; Noda, T.; Araki, H.; Okada, M. Development of reduced-activation martensitic 9Cr steels for fusion reactor. J. Nucl. Sci. Technol. 1994, 31, 279–292. [Google Scholar] [CrossRef]
- Mansur, L.K.; Rowcliffe, A.F.; Nanstad, R.K.; Zinkle, S.J.; Corwin, W.R.; Stoller, R.E. Materials needs for fusion, Generation IV fission reactors and spallation neutron sources – similarities and differences. J. Nucl. Mater. 2004, 329–333, 166–172. [Google Scholar] [CrossRef]
- Giroux, P.-F.; Dalle, F.; Sauzay, M.; Malaplate, J.; Fournier, B.; Gourgues-Lorenzon, A. Mechanical and microstructural stability of P92 steel under uniaxial tension at high temperature. Mater. Sci. Eng. A 2010, 527, 3984–3993. [Google Scholar] [CrossRef]
- Murty, K.L.; Charit, I. Structural materials for Gen-IV nuclear reactors: Challenges and opportunities. J. Nucl. Mater. 2008, 383, 189–195. [Google Scholar] [CrossRef]
- Dong, Z.; Li, M.; Behnamian, Y.; Luo, J.-L.; Chen, W.; Amirkhiz, B.S.; Liu, P.; Pang, X.; Li, J.; Zheng, W.; et al. Effects of Si, Mn on the corrosion behavior of ferritic–martensitic steels in supercritical water (SCW) environments. Corros. Sci. 2020, 108432. [Google Scholar] [CrossRef]
- Zheng, C.; Reese, E.R.; Field, K.G.; Liu, T.; Marquis, E.A.; Maloy, S.A.; Kaoumi, D. Microstructure response of ferritic/martensitic steel HT9 after neutron irradiation: Effect of temperature. J. Nucl. Mater. 2020, 528, 151845. [Google Scholar] [CrossRef]
- Xia, L.; Ji, Y.; Liu, W.; Chen, H.; Yang, Z.; Zhang, C.; Chen, L.-Q. Radiation induced grain boundary segregation in ferritic/martensitic steels. Nucl. Eng. Technol. 2020, 52, 148–154. [Google Scholar] [CrossRef]
- Zheng, C.; Reese, E.R.; Field, K.G.; Marquis, E.; Maloy, S.A.; Kaoumi, D. Microstructure response of ferritic/martensitic steel HT9 after neutron irradiation: Effect of dose. J. Nucl. Mater. 2019, 523, 421–433. [Google Scholar] [CrossRef]
- Shi, Q.; Yan, W.; Li, Y.; Zhang, N.; Shan, Y.; Yang, K.; Abe, H. Oxidation behavior of ferritic/martensitic steels in flowing supercritical water. J. Mater. Sci. Technol. 2020. [Google Scholar] [CrossRef]
- Chen, Y. Irradiation effects of ht-9 martensitic steel. Nucl. Eng. Technol. 2013, 45, 311–322. [Google Scholar] [CrossRef]
- Bashu, S.; Singh, K.; Rawat, M. Effect of heat treatment on mechanical properties and fracture behaviour of a 12CrMoV steel. Mater. Sci. Eng. A 1990, 127, 7–15. [Google Scholar] [CrossRef]
- Lechtenberg, T. The effect of microstructure on the mechanical properties of a commercial 12Cr-1Mo steel (HT-9). J. Nucl. Mater. 1981, 104, 1133–1137. [Google Scholar] [CrossRef]
- Kai, J.-J.; Kulcinski, G. The effects of heat treatment on the microstructural evolution of HT-9 ferritic steel. Scr. Met. 1989, 23, 1151–1156. [Google Scholar] [CrossRef]
- Wilcox, R.C.; Chin, B.A. Austenitizing and microstructure of a HT-9 steel. Metallography 1984, 17, 285–298. [Google Scholar] [CrossRef][Green Version]
- Polekhina, N.; Litovchenko, I.; Tyumentsev, A.; Astafurova, E.; Chernov, V.M.; Leontyeva-Smirnova, M. The effect of tempering temperature on the features of phase transformations in the ferritic–martensitic steel EK-181. J. Nucl. Mater. 2014, 455, 496–499. [Google Scholar] [CrossRef]
- Prakash, P.; Vanaja, J.; Palaparti, D.R.; Reddy, G.P.; Laha, K.; Rao, G.V.S.N. Tensile flow and work hardening behavior of reduced activation ferritic martensitic steel subjected to thermo-mechanical treatment. J. Nucl. Mater. 2019, 520, 19–26. [Google Scholar] [CrossRef]
- Prakash, P.; Vanaja, J.; Reddy, G.P.; Laha, K.; Rao, G.N. On the effect of thermo-mechanical treatment on creep deformation and rupture behaviour of a reduced activation ferritic-martensitic steel. J. Nucl. Mater. 2019, 520, 65–77. [Google Scholar] [CrossRef]
- Liao, H.; Wang, X.; Yang, G.; Feng, Y.; Wang, P.; Feng, K. Recent progress of R&D activities on reduced activation ferritic/martensitic steel (CLF-1). Fusion Eng. Des. 2019, 147, 111235. [Google Scholar]
- De-Castro, D.; Rementeria, R.; Vivas, J.; Sourmail, T.; Poplawsky, J.; Urones-Garrote, E.; Jimenez, J.; Capdevila, C.; Caballero, F.G. Examining the multi-scale complexity and the crystallographic hierarchy of isothermally treated bainitic and martensitic structures. Mater. Charact. 2020, 160, 110127. [Google Scholar] [CrossRef]
- Ma, T.; Hao, X.; Liang, T.; Chen, B.; Wang, P.; Ma, Y.; Liu, K. Influence of Orthogonal Heat Treatments on Mechanical Properties of HT-9 Ferritic/Martensitic Steel. Springer Proc. Energy 2018, 85–94. [Google Scholar]
- Vanaja, J.; Laha, K.; Nandagopal, M.; Sam, S.; Mathew, M.D.; Jayakumar, T.; Kumar, E.R. Effect of tungsten on tensile properties and flow behaviour of RAFM steel. J. Nucl. Mater. 2013, 433, 412–418. [Google Scholar] [CrossRef]
- Chen, J.; Liu, Y.; Xiao, Y.; Liu, Y.; Liu, C.; Li, H. Improvement of High-Temperature Mechanical Properties of Low-Carbon RAFM Steel by MX Precipitates. Acta Met. Sin. (English Lett.) 2018, 31, 706–712. [Google Scholar] [CrossRef]
- Chun, Y.-B.; Lee, D.; Cho, S.; Rhee, C. Improvement of creep and impact resistance of reduced activation ferritic–martensitic steel by the addition of Zr. Mater. Sci. Eng. A 2015, 645, 286–291. [Google Scholar] [CrossRef]
- Ishitsuka, T.; Inoue, Y.; Ogawa, H. Effect of Silicon on the Steam Oxidation Resistance of a 9%Cr Heat Resistant Steel. Oxid. Met. 2004, 61, 125–142. [Google Scholar] [CrossRef]
- Schutze, M.; Renusch, D.; Schorr, M. Parameters determining the breakaway oxidation behaviour of ferritic martensitic 9%Cr steels in environments containing H2O. Corros. Eng. Sci. Technol. 2004, 39, 157–166. [Google Scholar] [CrossRef]
- Kurata, Y. Corrosion experiments and materials developed for the Japanese HLM systems. J. Nucl. Mater. 2011, 415, 254–259. [Google Scholar] [CrossRef]
- Roy, A.; Hossain, M. Cracking of Martensitic Alloy EP-823 under Controlled Potential. J. Mater. Eng. Perform. 2006, 15, 336–344. [Google Scholar] [CrossRef]
- Chen, S.; Rong, L. Effect of silicon on the microstructure and mechanical properties of reduced activation ferritic/martensitic steel. J. Nucl. Mater. 2015, 459, 13–19. [Google Scholar] [CrossRef]
- Anya, C.; Baker, T. The effect of silicon on the grain size and the tensile properties of low carbon steels. Mater. Sci. Eng. A 1989, 118, 197–206. [Google Scholar] [CrossRef]
- Abbasi, S.M.; Shokuhfar, A. Improvement of Mechanical Properties of Cr-Ni-Mo-Cu-Ti Stainless Steel with Addition of Vanadium. J. Iron Steel Res. Int. 2007, 14, 74–78. [Google Scholar] [CrossRef]
- Harrelson, K.; Rou, S.; Wilcox, R. Impurity element effects on the toughness of 9Cr-1Mo steel. J. Nucl. Mater. 1986, 141, 508–512. [Google Scholar] [CrossRef]
- Anderko, K.; Schäfer, L.; Materna-Morris, E. Effect of the δ-ferrite phase on the impact properties of martensitic chromium steels. J. Nucl. Mater. 1991, 179, 492–495. [Google Scholar] [CrossRef]
- Carrouge, D.; Bhadeshia, H.K.D.H.; Woollin, P. Effect ofδ -ferrite on impact properties of supermartensitic stainless steel heat affected zones. Sci. Technol. Weld Joi. 2013, 9, 377–389. [Google Scholar] [CrossRef]
- Schäfer, L. Influence of delta ferrite and dendritic carbides on the impact and tensile properties of a martensitic chromium steel. J. Nucl. Mater. 1998, 258, 1336–1339. [Google Scholar] [CrossRef]
- Kaneko, K.; Matsumura, S.; Sadakata, A.; Fujita, K.; Moon, W.-J.; Ozaki, S.; Nishimura, N.; Tomokiyo, Y. Characterization of carbides at different boundaries of 9Cr-steel. Mater. Sci. Eng. A 2004, 374, 82–89. [Google Scholar] [CrossRef]
- Aghajani, A.; Richter, F.; Somsen, C.; Fries, S.; Steinbach, I.; Eggeler, G. On the formation and growth of Mo-rich Laves phase particles during long-term creep of a 12% chromium tempered martensite ferritic steel. Scr. Mater. 2009, 61, 1068–1071. [Google Scholar] [CrossRef]
- Sibley, K.D.; Breyer, N.N. The effect of silicon on the impact and tensile properties of low-carbon steels. Met. Mater. Trans. A 1976, 7, 1602–1604. [Google Scholar] [CrossRef]
- Abramowitz, P.; Moll, R.A. Silicon-Carbon interaction and its effect on the notch toughness of mild steel. Met. Mater. Trans. A 1970, 1, 1773–1775. [Google Scholar] [CrossRef]
- Belomytsev, M.Y.; Obraztsov, S.M.; Molyarov, A.V. Effect of Ferrite Content on High-Temperature Strength of 12% Chromium Steels with a Ferritic-Martensitic Structure. Metallurgist 2018, 61, 758–764. [Google Scholar] [CrossRef]
- Wang, P.; Lu, S.; Xiao, N.; Li, D.; Li, Y. Effect of delta ferrite on impact properties of low carbon 13Cr–4Ni martensitic stainless steel. Mater. Sci. Eng. A 2010, 527, 3210–3216. [Google Scholar] [CrossRef]
- Cardoso, P.; Kwietniewski, C.E.F.; Porto, J.; Reguly, A.; Strohaecker, T. The influence of delta ferrite in the AISI 416 stainless steel hot workability. Mater. Sci. Eng. A 2003, 351, 1–8. [Google Scholar] [CrossRef]
- Korneev, A.E.; Gromov, A.F.; Kiselev, A.M. Effect of δ-Ferrite on the Properties of Martensitic Steels. Met. Sci. Heat Treat. 2013, 55, 445–450. [Google Scholar] [CrossRef]














| Element | Fe | C | Cr | Mo | Ni | Mn | V | W | Si |
|---|---|---|---|---|---|---|---|---|---|
| 1# | Balance | 0.22 | 10.92 | 1.05 | 0.57 | 0.47 | 0.24 | 0.57 | 0.19 |
| 2# | Balance | 0.21 | 11.62 | 1.06 | 0.55 | 0.47 | 0.26 | 0.6 | 0.42 |
| Samples | Type of Steel | Quenching | Tempering |
|---|---|---|---|
| 1L | 1# | 1050 °C/60 min/air cool | 710 °C/90 min/air cool |
| 1H | 1# | 1050 °C/60 min/air cool | 760 °C/90 min/air cool |
| 2L | 2# | 1050 °C/60 min/air cool | 710 °C/90 min/air cool |
| 2H | 2# | 1050 °C/60 min/air cool | 760 °C/90 min/air cool |
© 2020 by the authors. Licensee MDPI, Basel, Switzerland. This article is an open access article distributed under the terms and conditions of the Creative Commons Attribution (CC BY) license (http://creativecommons.org/licenses/by/4.0/).
Share and Cite
Liu, J.; Liu, W.; Hao, Z.; Shi, T.; Kang, L.; Cui, Z.; Yun, D. Effects of Silicon Content and Tempering Temperature on the Microstructural Evolution and Mechanical Properties of HT-9 Steels. Materials 2020, 13, 972. https://doi.org/10.3390/ma13040972
Liu J, Liu W, Hao Z, Shi T, Kang L, Cui Z, Yun D. Effects of Silicon Content and Tempering Temperature on the Microstructural Evolution and Mechanical Properties of HT-9 Steels. Materials. 2020; 13(4):972. https://doi.org/10.3390/ma13040972
Chicago/Turabian StyleLiu, Junkai, Wenbo Liu, Zhe Hao, Tiantian Shi, Long Kang, Zhexin Cui, and Di Yun. 2020. "Effects of Silicon Content and Tempering Temperature on the Microstructural Evolution and Mechanical Properties of HT-9 Steels" Materials 13, no. 4: 972. https://doi.org/10.3390/ma13040972
APA StyleLiu, J., Liu, W., Hao, Z., Shi, T., Kang, L., Cui, Z., & Yun, D. (2020). Effects of Silicon Content and Tempering Temperature on the Microstructural Evolution and Mechanical Properties of HT-9 Steels. Materials, 13(4), 972. https://doi.org/10.3390/ma13040972

