Improvement of White Spruce Wood Dimensional Stability by Organosilanes Sol-Gel Impregnation and Heat Treatment
Abstract
1. Introduction
- One is to fill the empty spaces in the wood, this is densification using thermosetting resins that could react under the temperature in the wood structure and would block the accessibility of the hydroxyl groups. Some densified woods with better dimensional stability are commercialized in Europe (Kebony© and Belmadur©) by using permeable species such as raiata pine (Pinus Radiata D. Don). In the literature, densification has also been combined with nanomaterials to improve the physical properties of sugar maple (Acer saccharum, S.M) and red oak (Quercus Rubra, R.O) [8]. However, these densifications could not be applied to softwood Canadian species such as the white spruce used for siding applications due to its low permeability. In addition, densified wood is not used for siding application in Quebec because of the nailing system used.
- The other chemical treatment is the use of a chemical bond. In fact, chemical products could react to form some chemical bonds with the wood’s hydroxyls groups [9]. Some commercially modified woods are already known to have better dimensional stability, such as Accoya titan wood©. However, they are only used on permeable species such as radiata pine (Pinus Radiata D. Don). In the literature, some authors observed an improvement of up to 64% in the dimensional stability of spruce wood by acetylation using microwaves [10]. Pepin et al. worked on treating white spruce with organic fungicides, and dimensional stability increased by 27% [11].
2. Materials and Methods
2.1. Materials
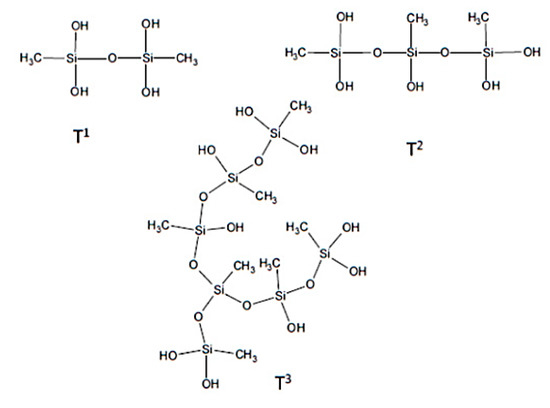
2.2. Organosilanes Sol-Gel Preparation
2.3. Wood Treatment
- The first step was daytime storage at 80% RH; the idea for this was to hydrolyse the organosilanes before the heat treatment.
- The second step was the heat treatment:
- ○
- A heat treatment of 95 °C for 24 h to condense the organosilanes with themselves and the wood.
- ○
- After the first result, the heat treatment test was modified by performing the first step at 50 °C for 24 h and then at 103 °C for 18 h. The purpose of this was to evaporate the solvent (ethanol) at 50 °C and then increase the temperature to 103 °C for the organosilanes condensation. An increase of temperature was expected to intensify the condensation of organosilanes within the wood (OWSSiT2 and OWSSiHT2).
2.4. Wood Characterization
2.5. Dimensional Stability
2.6. Vapor Sorption Analysis
3. Results and Discussion
3.1. Effect of Organosilanes Treatment Depending on Wood Moisture Content
3.1.1. Mass Gain, Dimensions Changes of Organosilanes-Treated Wood
3.1.2. Wood Morphology and Chemistry Study after Organosilanes Impregnation
3.1.3. Dimensional Stability and Water Vapor Sorption of Organosilane-Treated Wood
3.2. Modification of Organosilanes Treatment on Oven Dried White Spruce Wood
- The concentration of organosilanes was doubled to ensure the reaction of a maximum of wood hydroxyls (OWSSi2T and OWSSi2HT)
- The heat treatment was modified by performing a first step at 50 °C for 24 h and then a second step at 103 °C for 18 h. The purpose being the evaporation of the solvent (ethanol) at 50 °C then at 103 °C for the condensation of the organosilanes. An increase of the temperature was supposed to intensify the condensation of the organosilanes with the wood (OWSSiT2 and OWSSiHT2)
- A combination of these two modifications (increase of the concentration and modification of the heat treatment after impregnation) (ESSi2T2 and ESSi2HT2) was used to treat the wood
4. Conclusions
Author Contributions
Funding
Acknowledgments
Conflicts of Interest
References
- Guy-Plourde, S.; Blanchet, P.; De Blois, M.; Robichaud, F.; Barbuta, C. Cladding Materials in Non-Residential Construction: Consideration Crietria for Stakeholder in the Province of Quebec. J. Facade Des. Eng. 2018, 6, 71–88. [Google Scholar]
- Esteves, B.M.; Pereira, H.M. Wood Modification by Heat Treatment: A review. Bioresources 2009, 4, 370–404. [Google Scholar]
- Behkta, P.; Niemz, P. Effect of High Temperature on the Change in Color, Dimensional Stability and Mechanical Properties of Spruce Wood. Holzforschung 2003, 57, 539–546. [Google Scholar]
- Ahmed, S.A.; Morén, T.; Sehlstedt-Persson, M.; Blom, A. Effect of oil impregnation on water repellency dimensional stability and mold susceptibility of thermally modified European aspenand downy birch wood. J. Wood Sci. 2017, 63, 74–82. [Google Scholar] [CrossRef]
- Lekounougou, S.; Kocaefe, D. Effect of thermal modification temperature on the mechanical properties, dimensional stability, and biological durability of black spruce (Picea mariana). Wood Mater. Eng. 2014, 9, 59–66. [Google Scholar] [CrossRef]
- Rassam, G.; Taghiyari, H.R.; Ghofrani, M.; Jamnani, B. Mechanical performance and dimensional stability of nano-silver impregnated densified spruce wood. Holz Als Roh Werkst. 2011, 70, 595–600. [Google Scholar] [CrossRef]
- Welzbacher, C.R.; Wehsner, J.; Rapp, A.O.; Haller, P. Thermomechanical densification combined with thermal modification of Norway spruce (Picea abis Karst) in industrial scale—Dimensional stbility an durability aspects. Holz Als Roh Werkst. 2008, 66, 39–49. [Google Scholar] [CrossRef]
- Cai, X.; Blanchet, P. Effect of vaccum time, formulation and nanoparticles on properties of surface-densified wood products. Wood Fiber Sci. 2011, 43, 326–335. [Google Scholar]
- Sandberg, D.; Kutnar, A.; Mantanis, G. Wood Modification Technologies—A review. IForest Biogeosci. For. 2017, 10, 895–908. [Google Scholar] [CrossRef]
- Brelid, L.P.; Simonson, R.; Risman, P.O. Acetylation of solid wood using microwave heating Part 1: Studies of dielectric properties. Holz Als Roh Werkst. 1999, 57, 259–263. [Google Scholar] [CrossRef]
- Pepin, S.; Blanchet, P.; Landry, V. Performances of white pine and white spruce treated with organic fungicides using an aqueous buffered amine oxide preservation system. Bioresources 2019, 14, 264–288. [Google Scholar]
- Bayani, S.; Taghiyari, H.R.; Papadopoulos, A.N. Physical and Mechanical Properties of Thermally-Modified Beech Wood Impregnated with Silver Nano-Suspension and Their Relationship with the Crystallinity of Cellulose. Polymers 2019, 11, 1538. [Google Scholar] [CrossRef] [PubMed]
- Papadopoulos, A.N.; Bikiaris, D.N.; Mitropoulos, A.C.; Kyzas, G.Z. Nanomaterials and chemical modificaitions for enhanced keywood properties: A review. Nanomaterials 2019, 9, 607. [Google Scholar] [CrossRef] [PubMed]
- Fufa, S.M.; Hovde, P.J. Nano-Based Modifications of Wood and Their Environmental Impact: Review. 2010. Available online: http://support.sbcindustry.com/Archive/2010/june/Paper_356.pdf (accessed on 20 February 2020).
- Xie, Y.; Hill, C.A.S.; Xiao, Z.; Militz, H.; Mai, C. Silane Coupling agents used for natural fiber/polymer composites: A review. Compos. Part A 2010, 41, 806–819. [Google Scholar] [CrossRef]
- Cappelletto, E.; Maggini, S.; Girardi, F.; Bochicchio, G.; Tessadri, B.; Di Maggio, R. Wood surface protection with different alkoxysilanes: A hydrophobic barrier. Cellulose 2013, 20, 3131–3141. [Google Scholar] [CrossRef]
- Wang, X.; Chai, Y.; Liu, J. Formation of highly hydrophobic wood surfacces using silica nanoparticles modified with long-chain alkylsilane. Holzforschung 2013, 67, 667–672. [Google Scholar] [CrossRef]
- Donath, S.; Militz, H.; Mai, C. Wood modification with alkoxysilanes. Wood Sci. Technol. 2004, 38, 555–566. [Google Scholar] [CrossRef]
- De Vetter, L.; Van Den Bulcke, J.; Van Acker, J. Impact of Organosilicon Treatments on the Wood-water Relationship of Solid Wood. Holzforschung 2010, 64, 463–468. [Google Scholar] [CrossRef]
- Giudice, C.A.; Alfieri, P.V.; Canosa, G. Siloxanes synthesized “in situ” by sol-gel process for fire control in wood of Araucaria Angustifolia. Fire Saf. J. 2013, 61, 348–354. [Google Scholar] [CrossRef]
- Hung, K.-C.; Wu, J.-H. Characteristics and thermal Decomposition Kinetics of Wood-SiO2 Composites Derived by the sol-gel Process. Holzforschung 2016, 71, 233–240. [Google Scholar] [CrossRef]
- Broda, M.; Majika, J.; Olek, W.; Mazela, B. Dimensional Stability and Hygroscopic Properties of Waterlogged Archaeological Wood Treated with Alkoxysilanes. Int. Biodeterior. Biodegrad. 2018, 133, 34–41. [Google Scholar] [CrossRef]
- Hung, K.-C.; Wu, J.-H. Comparison of Physical and Thermal Properties of Various Wood-inorganic Composites (WICs) Derived by the sol-gel Process. Holzforschung 2018, 72, 379–386. [Google Scholar] [CrossRef]
- Xie, Y.; Hill, C.A.S.; Sun, D.; Jalaludin, Z.; Wang, Q.; Mai, C. Effects of dynamic aging (hydrolysis and condensation) behaviour of organofunctional silanes in the aqueous solution on their penetrability into the cell walls of wood. Bioresources 2011, 6, 2323–2339. [Google Scholar]
- Lu, Y.; Feng, M.; Zhan, H. Preparation of SiO2-wood composites by an ultrasonic-assisted sol-gel technique. Cellulose 2014, 21, 4393–4403. [Google Scholar] [CrossRef]
- Miranda, I.; Sousa, V.; Ferreira, J.; Pereira, H. Chemical characterization and extractives composition of heartwood and sapwood from Quercus faginea. PLoS ONE 2017, 12, e0179268. [Google Scholar] [CrossRef] [PubMed]
- Robles, E.; Csoka, L.; Labidi, J. Effect of reaction conditions on the surface modification of cellulose nanofibrils with aminopropyl triethoxysilane. Coatings 2018, 8, 139. [Google Scholar] [CrossRef]
- Siuda, J.; Perdoch, W.; Mazela, B.; Zborowska, M. Catalyzed reaction of Cellulose and Lignin with Methyltrimethoxysilane—FT-IR, 13C NMR and 29Si NMR studies. Materials 2019, 12, 2006. [Google Scholar] [CrossRef]
- Rao, J.; Zhou, Y.; Fan, M. Revealing the interface structure and bonding mechanism of coupling agent treated WPC. Polymers 2018, 10, 266. [Google Scholar] [CrossRef]
- Sugahara, Y.; Okada, S.; Sato, S.; Kuroda, K.; Kato, C. 29Si-NMR study of hydrolysis and initial polyconensation processes of organoalkoxysilanes. II Methyltriethoxysilane. J. Non Cryst. Solids 1994, 167, 21–28. [Google Scholar] [CrossRef]
- Baur, S.I.; Easteal, A.J. Improved photoprotection of wood by chemical modification with silanes: NMR and ESR studies. Polym. Adv. Technol. 2013, 24, 97–103. [Google Scholar] [CrossRef]
- Alma, M.H.; Hafizo[gtidle]lu, H.; Maldas, D. Dimensional Stability of Several Wood Species Treated with Vinyl Monomers and Polyethylene Glycol-1000. Int. J. Polym. Biomater. 1996, 32, 93–99. [Google Scholar] [CrossRef]
- Meier, E. Wood! Identifying and Using Hundreds of Woods Worldwide, Wood Database. 2015. Available online: https://www.wood-database.com/ (accessed on 20 February 2020).
- Brochier Salon, M.-C.; Belgacem, M.N. Hydrolysis-condensation kinetics of different silane coupling agents. Phosphorus Sulfur Silicon 2011, 186, 240–254. [Google Scholar] [CrossRef]
- Bak, M.; Molnar, F.; Németh, R. Improvement of dimensional stability of wood by silica nanoparticles. Wood Mater. Sci. Eng. 2019, 14, 48–58. [Google Scholar] [CrossRef]
- Canosa, G.; Alfieri, P.V.; Giudice, C.A. Low density wood impregnation water-repellent organosilicic compounds. J. Mater. Sci. Chem. Eng. 2018, 6, 39–51. [Google Scholar] [CrossRef][Green Version]
- Rowell, R.M.; Pettersen, R.; Han, J.S.; Rowell, J.S.; Tshabalala, M.A. Cell Wall Chemistry. In Handbook of Wood Chemistry and Wood Composite; CRC Press: Boca Raton, FL, USA, 2005; pp. 35–74. ISBN 0-8493-1588-3. [Google Scholar]








| Factor 1 | Factor 2 | Factor3 | Abbreviations |
|---|---|---|---|
| Organosilanes | Humidity Step | Heat Treatment | |
| Without organosilanes treatment | – | Thermal treatment, 95 °C for 24 h | T |
| One day (24 h) storage at 80% RH and 20 °C | Thermal treatment, 95 °C for 24 h | HT | |
| – | Thermal treatment, 50 °C for 24 h then at 103 °C for 18 h | T2 | |
| organosilanes solution (MTMOS/ethanol/acetic acid): (0.12/1/0.005) | – | Thermal treatment, 95 °C for 24 h | SiT |
| One day (24 h) storage at 80% RH and 20 °C | Thermal treatment, 95 °C for 24 h | SiHT | |
| – | Thermal treatment, 50 °C for 24 h then at 103 °C for 18 h | SiT2 | |
| One day (24 h) storage at 80% RH and 20 °C | Thermal treatment, 50 °C for 24 h then at 103 °C for 18 h | SiHT2 | |
| organosilanes solution (MTMOS/ethanol/acetic acid): (0.24/1/0.005) | – | Thermal treatment, 95 °C for 24 h | Si2T |
| One day (24 h) storage at 80% RH and 20 °C | Thermal treatment, 95 °C for 24 h | Si2HT | |
| – | Thermal treatment, 50 °C for 24 h then at 103 °C for 18 h | Si2T2 | |
| One day (24 h) storage at 80% RH and 20 °C | Thermal treatment, 50 °C for 24 h then at 103 °C for 18 h | Si2HT2 |
| WVS Max | ΔWVS | %Improvement | |
|---|---|---|---|
| Oven dried white spruce (14% MC) | |||
| OWS | 18.2% | 0.2% | - |
| OWST | 17.1% | 0.3% | 6% |
| OWSHT | 18.3% | 0.4% | 0% |
| OWSSiT | 14.2% | 0.3% | 22% |
| OWSSiHT | 13.6% | 0.2% | 25% |
| Air dried white spruce (19% MC) | |||
| AWS | 17.8% | 0.3% | - |
| AWST | 18.4% | 0.3% | -3% |
| AWSHT | 18.2% | 0.0% | -2% |
| AWSSiT | 13.5% | 0.1% | 24% |
| AWSSiHT | 14.0% | 1.2% | 22% |
| Green white spruce (41% MC) | |||
| GWS | 20.6% | 0.1% | - |
| GWST | 20.2% | 0.8% | 2% |
| GWSHT | 19.5% | 0.7% | 5% |
| GWSSiT | 16.7% | 0.6% | 19% |
| GWSSiHT | 15.9% | 0.5% | 23% |
© 2020 by the authors. Licensee MDPI, Basel, Switzerland. This article is an open access article distributed under the terms and conditions of the Creative Commons Attribution (CC BY) license (http://creativecommons.org/licenses/by/4.0/).
Share and Cite
Schorr, D.; Blanchet, P. Improvement of White Spruce Wood Dimensional Stability by Organosilanes Sol-Gel Impregnation and Heat Treatment. Materials 2020, 13, 973. https://doi.org/10.3390/ma13040973
Schorr D, Blanchet P. Improvement of White Spruce Wood Dimensional Stability by Organosilanes Sol-Gel Impregnation and Heat Treatment. Materials. 2020; 13(4):973. https://doi.org/10.3390/ma13040973
Chicago/Turabian StyleSchorr, Diane, and Pierre Blanchet. 2020. "Improvement of White Spruce Wood Dimensional Stability by Organosilanes Sol-Gel Impregnation and Heat Treatment" Materials 13, no. 4: 973. https://doi.org/10.3390/ma13040973
APA StyleSchorr, D., & Blanchet, P. (2020). Improvement of White Spruce Wood Dimensional Stability by Organosilanes Sol-Gel Impregnation and Heat Treatment. Materials, 13(4), 973. https://doi.org/10.3390/ma13040973

