Enhancing Superconductivity of the Nonmagnetic Quasiskutterudites by Atomic Disorder
Abstract
1. Introduction
2. Experimental Details
3. The Meaning of Disorder in the System of Skutterudite-Related LaSn-Type Superconductors; Enhancing Superconductivity by Atomic Disorder
4. Superconductivity in the Presence of Atomic Disorder; Dirty Limit
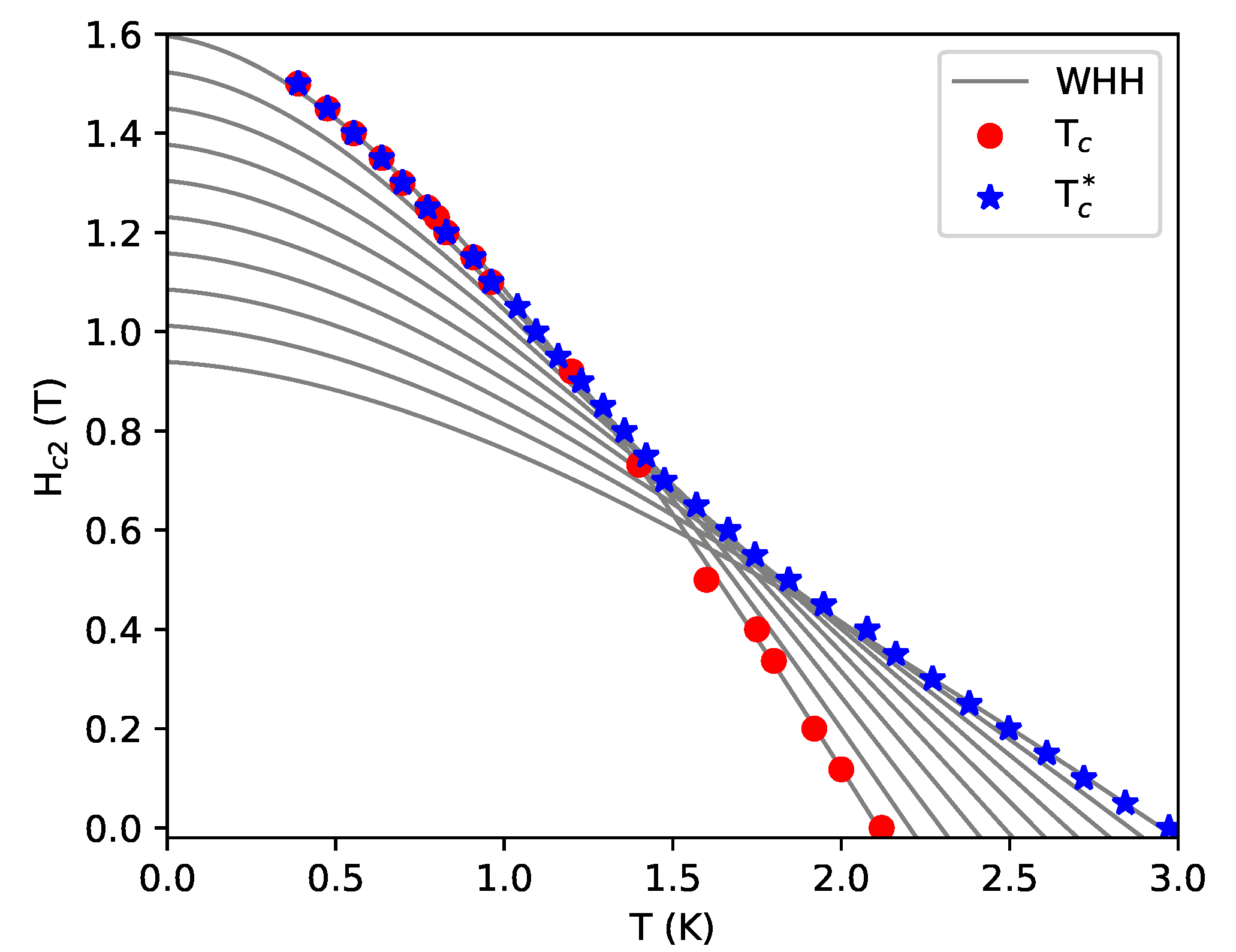
4.1. The Temperature Dependence of the Critical Field —Modeling on the Base of the Werthamer-Helfand-Hohenberg Theory
4.2. within the Percolation Modeling for Strongly Inhomogeneous Superconductors; the Case of LaRhSn
4.3. Phenomenology
5. Conclusions
Author Contributions
Funding
Conflicts of Interest
References
- Bardeen, J.; Cooper, L.N.; Schrieffer, J.R. Theory of Superconductivity. Phys. Rev. 1957, 108, 1175–1204. [Google Scholar] [CrossRef]
- Anderson, P.W. Theory of dirty superconductors. J. Phys. Chem. Solids 1959, 11, 26–30. [Google Scholar] [CrossRef]
- Abrikosov, A.A.; Gor’kov, L.P. Contribution to the theory of superconducting alloys with paramagnetic impurities. Sov. Phys. JETP 1961, 12, 1243–1263. [Google Scholar]
- Kim, Y.-J.; Overhauser, A.W. Theory of impure superconductors: Anderson versus Abrikosov and Gor’kov. Phys. Rev. B 1993, 47, 8025–8029. [Google Scholar] [CrossRef] [PubMed]
- Matthias, B.T.; Suhl, H.; Corenzwit, E. Spin Exchange in Superconductors. Phys. Rev. Lett. 1958, 1, 92–94. [Google Scholar] [CrossRef]
- Suhl, H.; Matthias, B.T. Impurity Scattering in Superconductors. Phys. Rev. 1959, 114, 977–988. [Google Scholar] [CrossRef]
- Hirschfeld, P.J.; Korshunov, M.M.; Mazin, I.I. Gap symmetry and structure of Fe-based superconductors. Rep. Prog. Phys. 2011, 74, 124508. [Google Scholar] [CrossRef]
- Maple, M.B.; Ho, P.-C.; Zapf, V.S.; Frederick, N.A.; Bauer, E.D.; Yuhasz, W.M.; Woodward, F.M.; Lynn, J.W. Heavy Fermion Superconductivity in the Filled Skutterudite Compound PrOs4Sb12. J. Phys. Soc. Jpn. Suppl. 2002, 71, 23–28. [Google Scholar] [CrossRef]
- Vollmer, R.; Faißt, A.; Pfleiderer, C.; Löhneysen, H.V.; Bauer, E.D.; Ho, P.-C.; Zapf, V.; Maple, M.B. Low-Temperature Specific Heat of the Heavy-Fermion Superconductor PrOs4Sb12. Phys. Rev. Lett. 2003, 90, 057001. [Google Scholar] [CrossRef]
- Seyfarth, G.; Brison, J.P.; Méasson, M.-A.; Braithwaite, D.; Lapertot, G.; Flouquet, J. Superconducting PrOs4Sb12: A Thermal Conductivity Study. Phys. Rev. Lett. 2006, 97, 236403. [Google Scholar] [CrossRef]
- McBriarty, M.E.; Kumar, P.; Stewart, G.R.; Andraka, B. Superconductivity and disorder in PrOs4Sb12. J. Phys. Condens. Matter 2009, 21, 385701. [Google Scholar] [CrossRef]
- Méasson, M.-A.; Braithwaite, D.; Lapertot, G.; Brison, J.-P.; Flouquet, J.; Bordet, P.; Sugawara, H.; Canfield, P.C. Double superconducting transition in the filled skutterudite PrOs4Sb12 and sample characterization. Phys. Rev. B 2008, 77, 134517. [Google Scholar] [CrossRef]
- Bianchi, A.; Movshovich, R.; Jaime, M.; Thompson, J.D.; Pagliuso, P.G.; Sarrao, J.L. Origin of the zero-resistance anomaly in heavy fermion superconducting CeIrIn5: A clue from magnetic-field and Rh-doping studies. Phys. Rev. B 2001, 64, 220504(R). [Google Scholar] [CrossRef]
- Kim, J.S.; Mixson, D.J.; Burnetta, D.J.; Jones, T.; Kumar, P.; Andraka, B.; Stewart, G.R.; Craciun, V.; Acree, W.; Yuan, H.Q.; et al. Spurious second transition in the heavy-fermion superconductor CePt3Si. Phys. Rev. B 2005, 71, 212505. [Google Scholar] [CrossRef]
- Cren, T.; Roditchev, D.; Sacks, W.; Klein, J.; Moussy, J.-B.; Deville-Cavellin, C.; Laguës, M. Influence of Disorder on the Local Density of States in High-Tc Superconducting Thin Films. Phys. Rev. Lett. 2000, 84, 147–150. [Google Scholar] [CrossRef]
- Andersen, B.M.; Melikyan, A.; Nunner, T.S.; Hirschfeld, P.J. Thermodynamic transitions in inhomogeneous d-wave superconductors. Phys. Rev. B 2006, 74. [Google Scholar] [CrossRef]
- Ślebarski, A.; Fijałkowski, M.; Maśka, M.M.; Mierzejewski, M.; White, B.D.; Maple, M.B. Superconductivity of La3Co4Sn13 and La3Rh4Sn13: A comparative study. Phys. Rev. B 2014, 89, 125111. [Google Scholar] [CrossRef]
- Ślebarski, A.; Maśka, M.M.; Fijałkowski, M.; McElroy, C.A.; Maple, M.B. Superconductivity in the presence of disorder in skutterudite-related La3Co4Sn13 and La3Ru4Sn13 compounds: Electrical transport and magnetic studies. J. Alloys Compd. 2015, 646, 866–872. [Google Scholar] [CrossRef]
- Ślebarski, A.; Goraus, J.; Maśka, M.M.; Witas, P.; Fijałkowski, M.; Wolowiec, C.T.; Fang, Y.; Maple, M.B. Effect od atomic disorder and Ce doping on superconductivity of Ca3Rh4Sn13: Electric transport properties under high pressure. Phys. Rev. B 2016, 93, 245126. [Google Scholar] [CrossRef]
- Ślebarski, A.; Zajdel, P.; Fijałkowski, M.; Maśka, M.M.; Witas, P.; Goraus, J.; Fang, Y.; Arnold, D.C.; Maple, M.B. The effective increase in atomic scale disorder by doping and superconductivity in Ca3Rh4Sn13. New J. Phys. 2018, 20, 103020. [Google Scholar] [CrossRef]
- Ślebarski, A.; Fijałkowski, M.; Zajdel, P.; Maśka, M.M.; Deniszczyk, J.; Zubko, M.; Pavlosiuk, O.; Sasmal, K.; Maple, M.B. Enhancing superconductivity of Y5Rh6Sn18 by atomic disorder. Phys. Rev. B 2020, 102, 054514. [Google Scholar] [CrossRef]
- Ślebarski, A.; Zajdel, P.; Maśka, M.M.; Deniszczyk, J.; Fijałkowski, M. Superconductivity of Y5Rh6Sn18; Coexistence of the high temperature thermal lattice relaxation process and superconductivity. J. Alloys Compd. 2020, 819, 152959. [Google Scholar] [CrossRef]
- Remeika, J.P.; Espinosa, G.P.; Cooper, A.S.; Barz, H.; Rowel, J.M.; McWhan, D.B.; Vandenberg, J.M.; Moncton, D.E.; Fizk, Z.; Woolf, L.D.; et al. A new family of ternary intermetallic superconducting/magnetic stannides. Sol. State Commun. 1980, 34, 923–926. [Google Scholar] [CrossRef]
- Hodeau, J.L.; Marezio, M.; Remeika, J.P.; Chen, C.H. Structural distortion in the primitive cubic phase of the superconducting/magnetic ternary rare-earth rhodium stannides. Sol. State Commun. 1982, 42, 97–102. [Google Scholar] [CrossRef]
- Gastiasoro, M.N.; Andersen, B.M. Enhancing superconductivity by disorder. Phys. Rev. B 2018, 98, 184510. [Google Scholar] [CrossRef]
- Maśka, M.M.; Śledź, Ż.; Czajka, K.; Mierzejewski, M. Inhomogeneity-Induced Enhancement of the Pairing Interaction in Cuprate Superconductors. Phys. Rev. Lett. 2007, 99, 147006. [Google Scholar] [CrossRef]
- Köhler, U.; Pikul, A.P.; Oeschler, N.; Westerkamp, T.; Strydom, A.M.; Steglich, F. Low-temperature study of the strongly correlated compound Ce3Rh4Sn13. J. Phys. Condens. Matter. 2007, 19, 386207. [Google Scholar] [CrossRef]
- Westerveld, J.P.A.; Casio, D.M.R.L.; Bakker, H. Arrhenius behaviour of the degradation of the transition temperature in the ternary superconductors Yb3Rh4Sn13 and Ca3Rh4Sn13. J. Phys. F Met. Phys. 1987, 17, 1963–1971. [Google Scholar] [CrossRef]
- Westerveld, J.P.A.; Casio, D.M.R.L.; Bakker, H.; Loopstra, B.O.; Goubitz, K. Atomic disorder and superconductivity in Ca3Rh4Sn13. J. Phys. Condens. Matter. 1989, 1, 5689–5702. [Google Scholar] [CrossRef]
- Seiden, P.E. Pressure Dependence of the Superconducting Transition Temperature. Phys. Rev. 1969, 179, 458–462. [Google Scholar] [CrossRef]
- Morel, P.; Anderson, P.W. Calculation of the Superconducting State Parameters with Retarded Electron-Phonon Interaction. Phys. Rev. 1962, 125, 1263–1271. [Google Scholar] [CrossRef]
- McMillan, W.L. Transition Temperature of Strong-Coupled Superconductors. Phys. Rev. 1968, 167, 331–344. [Google Scholar] [CrossRef]
- Hopfield, J.J. Angular Momentum and Transition-Metal Superconductivity. Phys. Rev. 1969, 186, 443–451. [Google Scholar] [CrossRef]
- Werthamer, N.R.; Helfand, E.; Hohenberg, P.C. Temperature and Purity Dependence of the Superconducting Critical Field, Hc2. III. Electron Spin and Spin-Orbit Effects Phys. Rev. 1966, 147, 295–302. [Google Scholar]
- Helfand, E.; Werthamer, N.R. Temperature and Purity Dependence of the Superconducting Critical Field, Hc2. Phys. Rev. Lett. 1964, 13, 686–688. [Google Scholar] [CrossRef]
- Helfand, E.; Werthamer, N.R. Temperature and Purity Dependence of the Superconducting Critical Field, Hc2. II. Phys. Rev. 1966, 147, 288–294. [Google Scholar] [CrossRef]
- de Gennes, P.G. Behavior of dirty superconductors in high magnetic fields. Phys. Kondens. Mater. 1964, 3, 79–90. [Google Scholar] [CrossRef]
- Maki, K. The magnetic properties of superconducting alloys I. Physics 1964, 1, 21–30. [Google Scholar] [CrossRef]
- DeGennes, P.G. Superconductivity in Metals and Alloys; Benjamin: New York, NY, USA, 1966. [Google Scholar]
- Gurevich, A. Enhancement of the upper critical field by nonmagnetic impurities in dirty two-gap superconductors. Phys. Rev. B 2003, 67, 184515. [Google Scholar] [CrossRef]
- Orlando, T.P.; McNiff, E.J., Jr.; Foner, S.; Beasley, M.R. Critical fields, Pauli paramagnetic limiting, and material parameters of Nb3Sn and V3Si. Phys. Rev. B 1979, 19, 4545–4561. [Google Scholar] [CrossRef]
- Palenskis, V. Drift Mobility, Diffusion Coefficient of Randomly Moving Charge Carriers in Metals and Other Materials with Degenerated Electron Gas. World J. Condens. Matter Phys. 2013, 3, 73–81. [Google Scholar] [CrossRef]
- Ma, M.; Lee, P.A. Localized superconductors. Phys. Rev. B 1985, 32, 5658–5667. [Google Scholar] [CrossRef] [PubMed]
- Zeimetz, B.; Glowacki, B.; Evetts, J. Application of percolation theory to current transfer in granular superconductors. Eur. Phys. J. B 2002, 29, 359–367. [Google Scholar] [CrossRef][Green Version]
- Bucheli, D.; Caprara, S.; Castellani, C.; Grilli, M. Metal–superconductor transition in low-dimensional superconducting clusters embedded in two-dimensional electron systems. New J. Phys. 2013, 15, 023014. [Google Scholar] [CrossRef]
- Dou, S.X. Nanoscale-SiC doping for enhancing and Jc and Hc2 in superconducting MgB2. J. Appl. Phys. 2004, 96, 7549. [Google Scholar] [CrossRef]
- Gitterman, M.; Shapiro, I.; Shapiro, B.Y. Shift of the superconducting critical parameters due to correlated disorder. Physica C 2012, 472, 83–86. [Google Scholar] [CrossRef]
- Wejgaard, W. Effect of pressure on the superconducting transition temperature of iridium. Phys. Lett. A 1969, 29, 396–397. [Google Scholar] [CrossRef]
- Méasson, M.-A.; Braithwaite, D.; Salce, B.; Flouquet, J.; Lapertot, G.; Sugawara, H.; Sato, H.; Onuki, Y. Pressure dependence of the double superconducting transition of the filled skutterudite PrOs4Sb12. J. Magn. Magn. Mater. 2007, 310, 626–628. [Google Scholar] [CrossRef]











| Superconductor | Structure | |||||||
|---|---|---|---|---|---|---|---|---|
| (mJ/mol K) | (K) | (K) | (K) | Gs/K | ||||
| LaCoSn | P | 27.9 | 220 | 1.95 | - | 0.40 | - | 0.89 |
| LaRhSn | P | 13.5 | 173 | 2.12 | 2.98 (2.06) | 0.43 | 0.45 | 0.95 (0.46) |
| LaRuSn | P | 9.9 | 150 | 1.58 | 3.76 | 0.41 | 0.53 | 1.29 (0.92) |
| LaRuCoSn | P | 11.1 | 166 | 3.9 | 6.05 (5.0) | 0.52 | 0.59 | 1.31 (1.20) |
| CaRhSn | P | 6.1 | 213 | 4.71 | 4.97 | 0.51 | 0.52 | 0.91 (0.78) |
| CaCeRhSn | P | 30.0 | 185 | 4.53 | 8.0 (7.4) | 0.50 | 0.59 | (0.53) |
| CaLaRhSn | P | 38.0 | 144 | 4.50 | 8.1 (7.7) | 0.57 | 0.72 | (0.54) |
| YRhSn | I | 9.3 | 200 | 3.08 | 3.19 | 0.46 | 0.47 | (1.80) |
| YCaRhSn | I | 16.3 | 150 | 3.10 | 3.72 | 0.51 | 0.52 | (1.92) |
| LuRhSn | I | 18 | 149 | 4.06 | 4.09 | 0.53 | 0.54 | (1.62) |
Publisher’s Note: MDPI stays neutral with regard to jurisdictional claims in published maps and institutional affiliations. |
© 2020 by the authors. Licensee MDPI, Basel, Switzerland. This article is an open access article distributed under the terms and conditions of the Creative Commons Attribution (CC BY) license (http://creativecommons.org/licenses/by/4.0/).
Share and Cite
Ślebarski, A.; Maśka, M.M. Enhancing Superconductivity of the Nonmagnetic Quasiskutterudites by Atomic Disorder. Materials 2020, 13, 5830. https://doi.org/10.3390/ma13245830
Ślebarski A, Maśka MM. Enhancing Superconductivity of the Nonmagnetic Quasiskutterudites by Atomic Disorder. Materials. 2020; 13(24):5830. https://doi.org/10.3390/ma13245830
Chicago/Turabian StyleŚlebarski, Andrzej, and Maciej M. Maśka. 2020. "Enhancing Superconductivity of the Nonmagnetic Quasiskutterudites by Atomic Disorder" Materials 13, no. 24: 5830. https://doi.org/10.3390/ma13245830
APA StyleŚlebarski, A., & Maśka, M. M. (2020). Enhancing Superconductivity of the Nonmagnetic Quasiskutterudites by Atomic Disorder. Materials, 13(24), 5830. https://doi.org/10.3390/ma13245830

