Effect of Electronic Correlations on the Electronic Structure, Magnetic and Optical Properties of the Ternary RCuGe Compounds with R = Tb, Dy, Ho, Er
Abstract
1. Introduction
2. Computational and Optical Methods
3. Crystal Structure
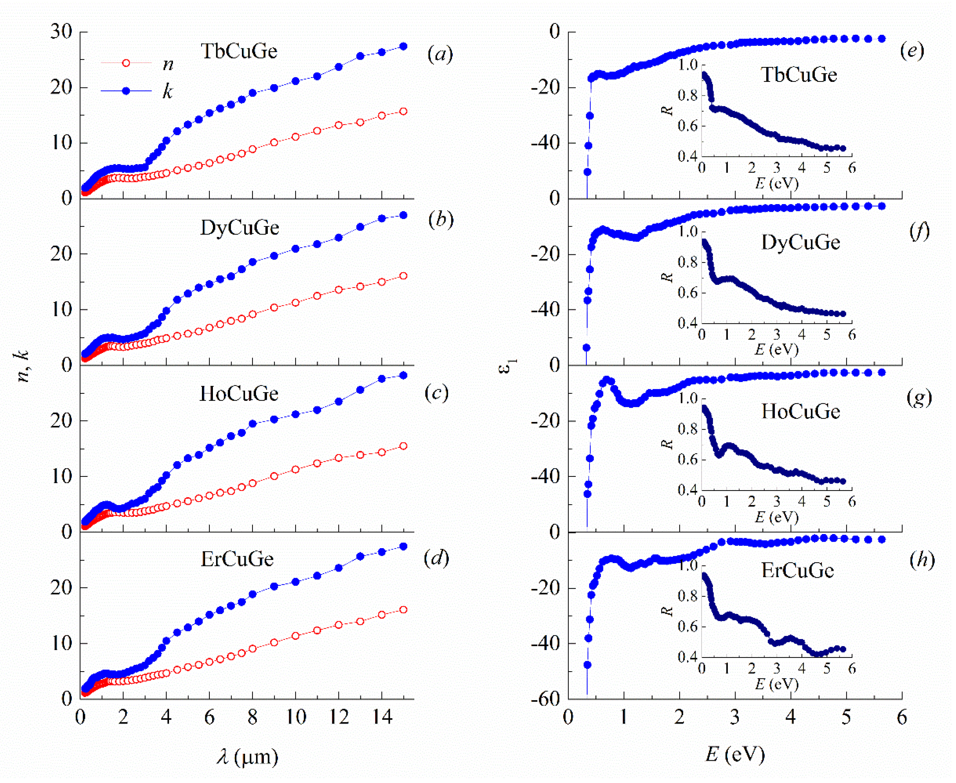
4. Results
5. Conclusions
Author Contributions
Funding
Conflicts of Interest
References
- Gupta, S.; Suresh, K.G. Review on magnetic and related properties of RTX compounds. J. Alloys Comp. 2015, 618, 562–606. [Google Scholar] [CrossRef]
- Hu, Z.; Bao-Gen, S. Magnetocaloric effects in RTX intermetallic compounds (R = Gd–Tm, T = Fe–Cu and Pd, X = Al and Si). Chin. Phys. B 2015, 24, 127504. [Google Scholar]
- Pöttgen, R.; Janka, O.; Chevalier, B. Cerium intermetallics CeTX—Review III Z. Naturforsch. B 2016, 71, 165–191. [Google Scholar] [CrossRef]
- Knyazev, Y.V.; Lukoyanov, A.V.; Kuz’min, Y.I.; Gupta, S.; Suresh, K.G. Electronic structure and spectral properties of RCuSi (R = Nd, Gd) compounds. Physica B 2016, 487, 85–89. [Google Scholar] [CrossRef]
- Franco, V.; Blázquez, J.S.; Ipus, J.J.; Law, J.Y.; Moreno-Ramírez, L.M.; Conde, A. Magnetocaloric effect: From materials research to refrigeration devices. Prog. Mater. Sci. 2018, 93, 112–232. [Google Scholar] [CrossRef]
- Zhang, H.; Li, Y.; Liu, E.; Ke, Y.; Jin, J.; Long, Y.; Shen, B. Giant rotating magnetocaloric effect induced by highly texturing in polycrystalline DyNiSi compound. Sci. Rep. 2015, 5, 11929. [Google Scholar] [CrossRef]
- Gupta, S.; Suresh, K.G. Observation of giant magnetocaloric effect in HoCoSi. Mater. Lett. 2013, 113, 195–197. [Google Scholar] [CrossRef]
- Zhang, Y.; Dong, Q.Y.; Wang, L.C.; Zhang, M.; Yan, H.T.; Sun, J.R.; Hu, F.X.; Shen, B.G. Giant low-field reversible magnetocaloric effect in HoCoGe compound. RSC Adv. 2016, 6, 106171. [Google Scholar] [CrossRef]
- Gupta, S.; Suresh, K.G. Giant low field magnetocaloric effect in soft ferromagnetic ErRuSi. Appl. Phys. Lett. 2013, 102, 022408. [Google Scholar] [CrossRef]
- Xu, J.W.; Zheng, X.Q.; Yang, S.X.; Xi, L.; Zhang, J.Y.; Wu, Y.F.; Wang, S.G.; Liu, J.; Wang, L.C.; Xu, Z.Y.; et al. Giant low field magnetocaloric effect in TmCoSi and TmCuSi compounds. J. Alloys Compd. 2020, 843, 155930. [Google Scholar] [CrossRef]
- Wang, Y.-X.; Zhang, H.; Wu, M.-L.; Tao, K.; Li, Y.-W.; Yan, T.; Long, K.-W.; Long, T.; Pang, Z.; Long, Y. Large reversible magnetocaloric effect induced by metamagnetic transition in antiferromagnetic HoNiGa compound. Chin. Phys. B 2016, 25, 127104. [Google Scholar] [CrossRef]
- Shen, B.; Zhang, Y.; Dong, Q.; Zheng, X.; Liu, Y.; Zuo, S.; Xiong, J.; Zhang, B.; Zhao, X.; Li, R.; et al. Complex magnetic properties and large magnetocaloric effects in RCoGe (R=Tb, Dy) compounds. AIP Adv. 2018, 8, 056418. [Google Scholar]
- Chen, X.; Mudryk, Y.; Pathak, A.K.; Feng, W.; Pecharsky, V.K. Magnetic and magnetocaloric properties of spin-glass material DyNi0.67Si1.34. J. Magn. Magn. Mater. 2017, 436, 91–96. [Google Scholar] [CrossRef]
- Guillou, F.; Pathak, A.K.; Hackett, T.A.; Paudyal, D.; Mudryk, Y.; Pecharsky, V.K. Crystal, magnetic, calorimetric and electronic structure investigation of GdScGe1−xSbx compounds. J. Phys. Condens. Matter 2017, 29, 485802. [Google Scholar] [CrossRef] [PubMed]
- Gupta, S.; Suresh, K.G.; Das, A.; Nigam, A.K.; Hoser, A. Effects of antiferro-ferromagnetic phase coexistence and spin fluctuations on the magnetic and related properties of NdCuSi. APL Mater. 2015, 3, 066102. [Google Scholar] [CrossRef]
- Gil, A. Magnetic phase transitions and magnetic structures in RTxX2, RSn1+xGe1−x and RSn2 compounds. Phase Trans. 2018, 91, 140–150. [Google Scholar] [CrossRef]
- Gupta, S.; Suresh, K.G.; Lukoyanov, A.V. Effect of complex magnetic structure on the magnetocaloric and magneto-transport properties in GdCuSi. J. Mater. Sci. 2015, 50, 5723–5728. [Google Scholar] [CrossRef]
- Oleaga, A.; Liubachko, V.; Manfrinetti, P.; Provino, A.; Vysochanskii, Y.; Salazar, A. Critical behavior study of NdScSi, NdScGe intermetallic compounds. J. Alloys Compd. 2017, 723, 559–566. [Google Scholar] [CrossRef]
- Ye, T.-N.; Lu, Y.; Li, J.; Nakao, T.; Yang, H.; Tada, T.; Kitano, M.; Hosono, H. Copper-based intermetallic electride catalyst for chemoselective hydrogenation reactions. J. Am. Chem. Soc. 2017, 139, 17089–17097. [Google Scholar] [CrossRef]
- Wu, J.; Gong, Y.; Inoshita, T.; Fredrickson, D.C.; Wang, J.; Lu, Y.; Kitano, M.; Hosono, H. Tiered electron anions in multiple voids of LaScSi and their applications to ammonia synthesis. Adv. Mater. 2017, 29, 1700924. [Google Scholar] [CrossRef]
- Tanida, H.; Muro, Y.; Matsumura, T. La substitution and pressure studies on CeCoSi: A possible antiferroquadrupolar ordering induced by pressure. J. Phys. Soc. Jpn. 2018, 87, 023705. [Google Scholar] [CrossRef]
- Debnath, J.C.; Nair, H.S.; Strydom, A.M.; Kumar, K.R.; Wang, J. Magnetocaloric effect in the metamagnet ErRhSi compound. J. Appl. Phys. 2016, 120, 233902. [Google Scholar] [CrossRef]
- Zhang, Y.; Wilde, G. Reversible table-like magnetocaloric effect in EuAuGe compound. J. Supercond. Nov. Magn. 2016, 29, 2159–2163. [Google Scholar] [CrossRef]
- França, E.L.T.; dos Santos, A.O.; Coelho, A.A.; da Silva, L.M. Magnetocaloric effect of the ternary Dy, Ho and Er platinum gallides. J. Magn. Magn. Mater. 2016, 401, 1088–1092. [Google Scholar] [CrossRef]
- Zhang, Z.; Stein, S.; Li, L.; Pöttgen, R. Magnetocaloric effect and critical behavior in ternary equiatomic magnesium compounds REPtMg (RE = Tb, Dy and Ho). Intermetallics 2019, 109, 24–29. [Google Scholar] [CrossRef]
- Gupta, S.; Suresh, K.G.; Nigam, A.K.; Lukoyanov, A.V. Magnetism in RRhGe (R = Tb, Dy, Er, Tm): An experimental and theoretical study. J. Alloys Compd. 2015, 640, 56–63. [Google Scholar] [CrossRef]
- Klenner, S.; Zhang, Z.; Pöttgen, R.; Li, L. Magnetic and magnetocaloric properties of the equiatomic europium intermetallics EuAgZn, EuAgCd, EuPtZn and EuAuCd. Intermetallics 2020, 120, 106765. [Google Scholar] [CrossRef]
- Zhang, Y.; Hou, L.; Ren, Z.; Li, X.; Wilde, G. Magnetic properties and magnetocaloric effect in TmZnAl and TmAgAl compounds. J. Alloys Compd. 2016, 656, 635–639. [Google Scholar] [CrossRef]
- Souza, R.L.; Monteiro, J.C.B.; dos Santos, A.O.; Cardoso, L.P.; da Silva, L.M. Large magnetocaloric effect in ErCoSn driven by metamagnetic phase transition and short-range ferromagnetic correlations. J. Magn. Magn. Mater. 2019, 492, 165653. [Google Scholar] [CrossRef]
- Herrero, A.; Oleaga, A.; Manfrinetti, P.; Provino, A.; Salazar, A. Study of the magnetocaloric effect in intermetallics RTX (R = Nd, Gd; T = Sc, Ti; X = Si, Ge). Intermetallics 2019, 110, 106495. [Google Scholar] [CrossRef]
- Hao, J.-Z.; Hu, F.-X.; Zhou, H.-B.; Liang, W.-H.; Yu, Z.-B.; Shen, F.-R.; Gao, Y.-H.; Qiao, K.-M.; Li, J.; Zhang, C.; et al. Large enhancement of magnetocaloric effect driven by hydrostatic pressure in HoCuSi compound. Scr. Mater. 2020, 186, 84–88. [Google Scholar] [CrossRef]
- Zhang, H.; Xing, C.; Zhou, H.; Zheng, X.; Miao, X.; He, L.; Chen, J.; Lu, H.; Liu, E.; Han, W.; et al. Giant anisotropic magnetocaloric effect by coherent orientation of crystallographic texture and rare-earth ion moments in HoNiSi ploycrystal. Acta Mater. 2020, 193, 210–220. [Google Scholar] [CrossRef]
- Li, L.; Yan, M. Recent progresses in exploring the rare earth based intermetallic compounds for cryogenic magnetic refrigeration. J. Alloys Compd. 2020, 823, 153810. [Google Scholar] [CrossRef]
- Gupta, S.; Suresh, K.G. Variations of magnetocaloric effect and magnetoresistance across RCuGe (R=Tb, Dy, Ho, Er) compounds. J. Magn. Magn. Mater. 2015, 391, 151–155. [Google Scholar] [CrossRef]
- Iandelli, A. The structure of ternary phases of rare earths with RCuGe composition. J. Alloys Compd. 1993, 198, 141–142. [Google Scholar] [CrossRef]
- Baran, S.; Szytuła, A.; Leciejewicz, J.; Stüsser, N.; Zygmunt, A.; Tomkowicz, Z.; Guillot, M. Magnetic structures of RCuGe (R = Pr, Nd, Tb, Dy, Ho and Er) compounds from neutron diffraction and magnetic measurements. J. Alloys Compd. 1996, 243, 111–119. [Google Scholar] [CrossRef]
- Dreyssé, H. Electronic Structure and Physical Properties of Solids: The Uses of the LMTO Method, Lecture Notes in Physics Volume 535; Springer: Berlin, Germany, 2000; pp. 3–84. [Google Scholar]
- Anisimov, V.I.; Aryasetiawan, F.; Lichtenstein, A.I. First-principles calculations of the electronic structure and spectra of strongly correlated systems: The LDA+U method. J. Phys. Condens. Matter 1997, 9, 767–808. [Google Scholar] [CrossRef]
- Shorikov, A.O.; Lukoyanov, A.V.; Korotin, M.A.; Anisimov, V.I. Magnetic state and electronic structure of the δ and α phases of metallic Pu and its compounds. Phys. Rev. B 2005, 72, 024458. [Google Scholar] [CrossRef]
- Knyazev, Y.V.; Lukoyanov, A.V.; Kuz’min, Y.I.; Gupta, S.; Suresh, K.G. A comparative study of the optical properties of TbRhGe and DyRhGe. Solid State Sci. 2015, 44, 22–26. [Google Scholar] [CrossRef]
- Lukoyanov, A.V.; Knyazev, Y.V.; Kuz’min, Y.I.; Kuchin, A.G. Cobalt-related features of spectral and magnetic properties of RNi4Co (R = Ho, Er). J. Magn. Magn. Mater. 2014, 368, 87–90. [Google Scholar] [CrossRef]
- Lang, J.K.; Baer, Y.; Cox, P.A. Study of the 4f and valence band density of states in rare-earth metals. II. Experiment and results. J. Phys. F Met. Phys. 1981, 11, 121–138. [Google Scholar] [CrossRef]
- Beattie, J.R. XXVI. Optical constants of metals in the infra-red—Experimental methods. Philos. Mag. 1955, 46, 235–245. [Google Scholar] [CrossRef]
- Berglund, C.N.; Spicer, W.E. Photoemission studies of copper and silver: Experiment. Phys. Rev. 1964, 136, A1044. [Google Scholar] [CrossRef]





| Compound | 2S | L | J | g |
|---|---|---|---|---|
| TbCuGe | 5.55 | 3 | 5.78 | 3/2 |
| DyCuGe | 4.86 | 5 | 7.43 | 4/3 |
| HoCuGe | 3.93 | 6 | 7.97 | 5/4 |
| ErCuGe | 2.91 | 6 | 7.46 | 6/5 |
| Compound | μeff (calc) | μeff (R3+) | μeff (exp) [34] | μeff (exp) [36] |
|---|---|---|---|---|
| TbCuGe | 9.38 | 9.72 | 10.1 | 9.80 |
| DyCuGe | 10.55 | 10.63 | 10.8 | 10.73 |
| HoCuGe | 10.56 | 10.60 | 10.7 | 10.58 |
| ErCuGe | 9.53 | 9.59 | 9.8 | 9.75 |
© 2020 by the authors. Licensee MDPI, Basel, Switzerland. This article is an open access article distributed under the terms and conditions of the Creative Commons Attribution (CC BY) license (http://creativecommons.org/licenses/by/4.0/).
Share and Cite
Lukoyanov, A.V.; Gramateeva, L.N.; Knyazev, Y.V.; Kuz’min, Y.I.; Gupta, S.; Suresh, K.G. Effect of Electronic Correlations on the Electronic Structure, Magnetic and Optical Properties of the Ternary RCuGe Compounds with R = Tb, Dy, Ho, Er. Materials 2020, 13, 3536. https://doi.org/10.3390/ma13163536
Lukoyanov AV, Gramateeva LN, Knyazev YV, Kuz’min YI, Gupta S, Suresh KG. Effect of Electronic Correlations on the Electronic Structure, Magnetic and Optical Properties of the Ternary RCuGe Compounds with R = Tb, Dy, Ho, Er. Materials. 2020; 13(16):3536. https://doi.org/10.3390/ma13163536
Chicago/Turabian StyleLukoyanov, Alexey V., Lubov N. Gramateeva, Yury V. Knyazev, Yury I. Kuz’min, Sachin Gupta, and K. G. Suresh. 2020. "Effect of Electronic Correlations on the Electronic Structure, Magnetic and Optical Properties of the Ternary RCuGe Compounds with R = Tb, Dy, Ho, Er" Materials 13, no. 16: 3536. https://doi.org/10.3390/ma13163536
APA StyleLukoyanov, A. V., Gramateeva, L. N., Knyazev, Y. V., Kuz’min, Y. I., Gupta, S., & Suresh, K. G. (2020). Effect of Electronic Correlations on the Electronic Structure, Magnetic and Optical Properties of the Ternary RCuGe Compounds with R = Tb, Dy, Ho, Er. Materials, 13(16), 3536. https://doi.org/10.3390/ma13163536

