Studies on Glass Fiber-Reinforced Poly(Ethylene-Grafted-Styrene)-Based Cation Exchange Membrane Composite
Abstract
1. Introduction
2. Experimental
2.1. Materials
2.2. Surface Treatment of GF
2.3. Synthesis of Poly(Ethylene-Grafted-Styrene) Copolymer(PE-g-PS) and GF/PE-g-PS Membrane Composite
2.4. Sulfonation of GF/PE-g-PS Composite for Cation Exchange Membrane Preparation
2.5. Sample Characterization
- Mechanical properties. The evaluation of mechanical properties to GF/CEM composites includes dynamic mechanical analysis (DMA) and tensile strength tests. These tests can be obtained from the DMA Q 800 machine (TA Instruments, New Castle, DE, USA). The DMA provides storage modulus and loss factor, being monitored from 25 to 150 °C, at a heating rate of 3.00 °C·min−1. Tensile strength was tested at the loading rate of 0.5000 N·min−1 until 5.0000 N.
- Morphology characterization. The microstructure, compatibility of GF and the matrix membrane and phase separation of composites were characterized by FE-SEM analysis. The Hitachi S-4700 FE-SEM (Schaumburg, IL, USA) is equipped with an Oxford energy dispersive X-ray spectroscopy (EDS) microprobe (Abingdon, UK).
- Fourier-transform infrared spectroscopy (FT-IR) analysis. The functional groups of the matrix membranes and final composite were investigated by FT-IR. A PerkinElmer Spectrum One FT-IR spectrometer (Chicago, MI, USA) with a universal attenuated total reflection accessory was used to record the infrared spectrum.
- Ion exchange capacity (IEC). The IEC of CEM was determined by the titration method. The dried membranes were cut into small pieces and stirred with 1.0 M sulfuric acid solution overnight to make sure sulfonate groups are in H+ form. Then, the membranes were washed with distilled water to remove the excess sulfuric acid. The resulting membranes were dried in the oven at 60 °C and then stirred with 50 mL 0.5 M NaCl solution overnight. Due to the replacement of H+ on the membrane by sodium cation from the solution, the solution becomes acidic. The concentration of H+ was determined by pH measurement and titration using a diluted solution (e.g., 0.01 M KOH). The IEC values were calculated using the Equation (1):where, VKOH is the volume of KOH used in the titration, and Wdry is the dry weight of the membrane in g. CKOH is the molarity(mol/L) of KOH used in the experiment for the titration.IEC = (VKOH × CKOH)/Wdry
- Water uptake. The water uptake experiments were performed by measuring the weight differences between dried membranes and fully hydrated membranes. The membranes were cut into small pieces and immersed in deionized water at 25 °C with a designed duration. After that, the surface moisture was removed, and mass was weighed (Wwet). The wet membrane was dried until the water evaporated completely and weighed again (Wdry). The water uptake can be determined by Equation (2).
- Swelling rate. The extent of swelling in membrane composite can be determined via the changes in linear dimensions of edge length. It can be calculated using the Equation (3):where, Ls is the mean value of swollen membrane edge length, the Lo mean value of original edge length.
3. Results and Discussions
3.1. The Influence of Various Coupling Agents on Mechanical Properties of CEM Composite
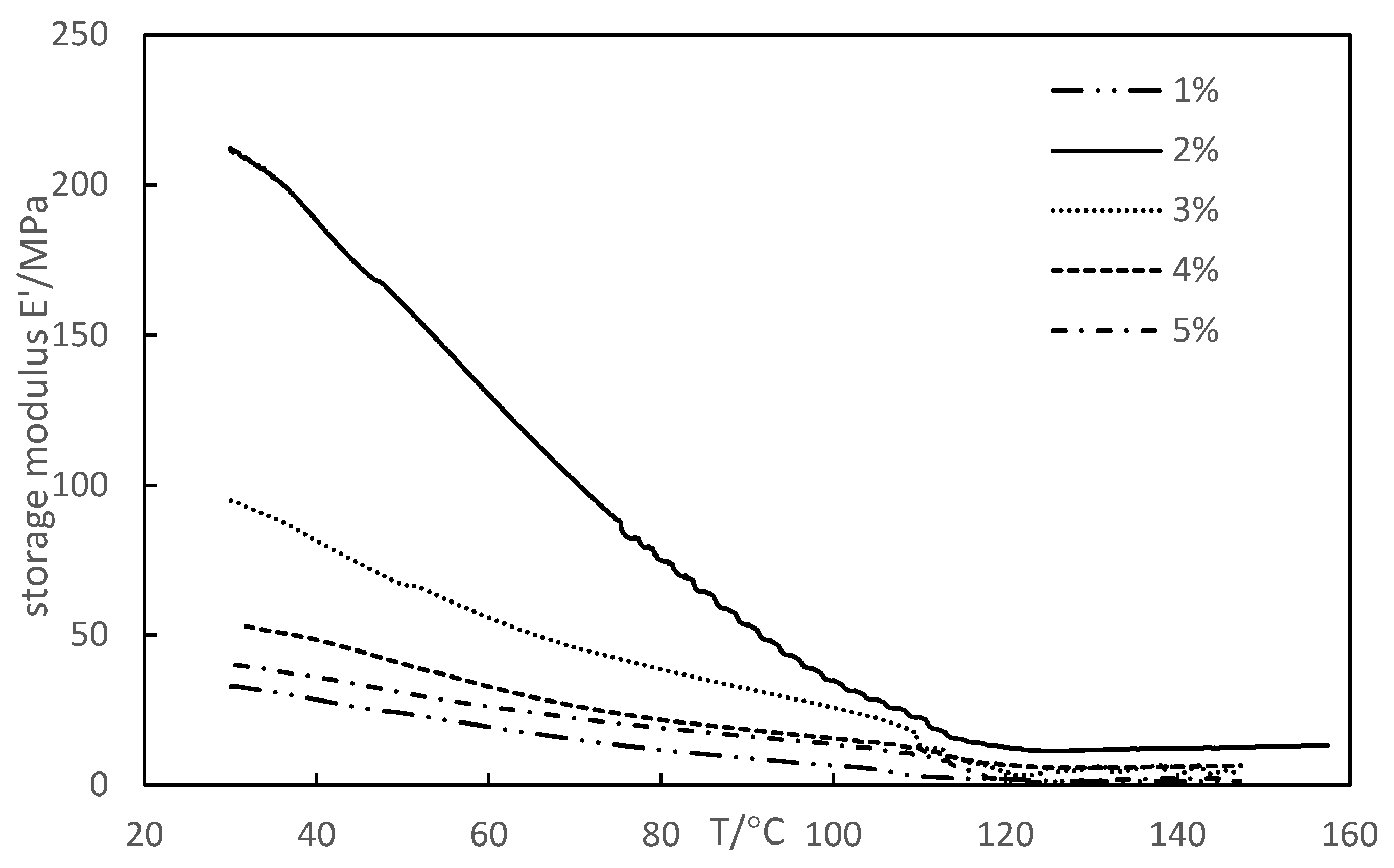
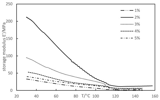
3.2. The Effect of Various Coupling Agents on Dynamic Mechanical Property of CEM Composites
3.3. CEM Composites Morphology Analysis
3.4. FT-IR Analysis
3.5. Effect of GF on Ion Exchange Capacity
3.6. Effect of GF/CEMs Composite on Water Uptake and Swelling Rate
4. Conclusions
Author Contributions
Funding
Acknowledgments
Conflicts of Interest
References
- Xu, T. Ion exchange membranes: State of their development and perspective. J. Membr. Sci. 2005, 263, 1–29. [Google Scholar] [CrossRef]
- Li, X.; Zhang, H.; Mai, Z.; Zhang, H.; Vankelecom, I. Ion exchange membranes for vanadium redox flow battery (VRB) applications. Energy Environ. Sci. 2011, 4, 1147–1160. [Google Scholar] [CrossRef]
- Eom, T.H.; Lee, C.H.; Kim, J.H.; Lee, C.H. Development of an ion exchange system for plating wastewater treatment. Desalination 2005, 180, 163–172. [Google Scholar] [CrossRef]
- Gunatilake, S.K. Methods of removing heavy metals from industrial wastewater. Methods 2015, 1, 14. [Google Scholar]
- Fu, F.; Wang, Q. Removal of heavy metal ions from wastewaters: A review. J. Environ. Manag. 2011, 92, 407–418. [Google Scholar] [CrossRef]
- Ibrahim, Y.; Abdulkarem, E.; Naddeo, V.; Banat, F.; Hasan, S.W. Synthesis of super hydrophilic cellulose-alpha zirconium phosphate ion exchange membrane via surface coating for the removal of heavy metals from wastewater. Sci. Total. Environ. 2019, 690, 167–180. [Google Scholar] [CrossRef]
- Hagesteijn, K.F.L.; Jiang, S.; Ladewig, B.P. A review of the synthesis and characterization of anion exchange membranes. J. Mater. Sci. 2018, 53, 11131–11150. [Google Scholar] [CrossRef]
- Chen, Z.; Huang, D.; Hwang, J. Effect of styrene addition on chemically induced grafting of 4-vinylbenzyl chloride onto low-density polyethylene for anion exchange membrane preparation. Polym. Int. 2019, 68, 972–978. [Google Scholar] [CrossRef]
- Olsson, J.S.; Pham, T.H.; Jannasch, P. Poly (arylene piperidinium) hydroxide ion exchange membranes: Synthesis, alkaline stability, and conductivity. Adv. Funct. Mater. 2018, 28, 1702758. [Google Scholar] [CrossRef]
- Namdari, M.; Kikhavani, T.; Ashrafizadeh, S.N. Synthesis and characterization of an enhanced heterogeneous cation exchange membrane via nanoclay. Ionics 2017, 23, 1745–1758. [Google Scholar] [CrossRef]
- Nagarale, R.; Gohil, G.; Shahi, V.K. Recent developments on ion-exchange membranes and electro-membrane processes. Adv. Colloid Interface Sci. 2006, 119, 97–130. [Google Scholar] [CrossRef]
- Al-Shannag, M.; Al-Qodah, Z.; Bani-Melhem, K.; Qtaishat, M.R.; Alkasrawi, M. Heavy metal ions removal from metal plating wastewater using electrocoagulation: Kinetic study and process performance. Chem. Eng. J. 2015, 260, 749–756. [Google Scholar] [CrossRef]
- Luo, W.; Wang, X.; Huang, R.; Fang, P. Interface enhancement of glass fiber/unsaturated polyester resin composites with nano-silica treated using silane coupling agent. Wuhan Univ. J. Nat. Sci. 2014, 19, 34–40. [Google Scholar] [CrossRef]
- Lu, X.; Tang, L.; Wang, L.; Zhao, J.; Li, D.; Wu, Z.; Xiao, P. Morphology and properties of bio-based poly (lactic acid)/high-density polyethylene blends and their glass fiber reinforced composites. Polym. Test. 2016, 54, 90–97. [Google Scholar] [CrossRef]
- Delgado-Aguilar, M.; Julián, F.; Tarrés, Q.; Méndez, J.A.; Mutjé, P.; Espinach, F.X. Bio composite from bleached pine fibers reinforced polylactic acid as a replacement of glass fiber reinforced polypropylene, macro and micro-mechanics of the Young’s modulus. Compos. Part B Eng. 2017, 125, 203–210. [Google Scholar] [CrossRef]
- Moghbeli, M.; Khajeh, A.; Alikhani, M. Nanosilica reinforced ion-exchange polyHIPE type membrane for removal of nickel ions: Preparation, characterization and adsorption studies. Chem. Eng. J. 2017, 309, 552–562. [Google Scholar] [CrossRef]
- Zhang, K.; Guo, Q.; Zhang, D.; Guo, J. Mechanical properties and morphology of polypropylene/polypropylene-g-maleic anhydride/long glass fiber composites. J. Macromol. Sci. Part B 2014, 54, 286–294. [Google Scholar] [CrossRef]
- Huang, L.; Liu, H.; Wang, C. Preparation and characterization of poly (styrene-co-divinylbenzene)/fiberglass cation-exchange composites. J. Appl. Polym. Sci. 2010, 120, 944–949. [Google Scholar] [CrossRef]
- Somnuk, U.; Yanumet, N.; Ellis, J.W.; Grady, B.P.; O’Rear, E.A. Adhesion improvement in glass fiber reinforced polyethylene composite via admicellar polymerization. Polym. Compos. 2003, 24, 171–180. [Google Scholar] [CrossRef]
- Saito, K.; Saito, K.; Sugita, K.; Tamada, M.; Sugo, T. Cation-exchange porous hollow-fiber membranes prepared by radiation-induced cografting of GMA and EDMA which improved pure water permeability and sodium ion adsorptivity. Ind. Eng. Chem. Res. 2002, 41, 5686–5691. [Google Scholar] [CrossRef]
- Sanjay, M.R.; Yogesha, B. Studies on natural/glass fiber reinforced polymer hybrid composites: An evolution. Mater. Today Proc. 2017, 4, 2739–2747. [Google Scholar] [CrossRef]
- Křivčík, J.; Neděla, D.; Valek, R. Ion-exchange membrane reinforcing. Desalin. Water Treat. 2015, 56, 3214–3219. [Google Scholar] [CrossRef]
- Annala, M.; Lipponen, S.; Kallio, T.; Seppälä, J. Proton conductive reinforced poly (ethylene-co-styrene) membranes. J. Appl. Polym. Sci. 2012, 124, 1511–1519. [Google Scholar] [CrossRef]
- Bari, P.; Lanjewar, S.; Hansora, D.; Mishra, S. Influence of the coupling agent and graphene oxide on the thermal and mechanical behavior of tea dust–polypropylene composites. J. Appl. Polym. Sci. 2016, 133, 42927. [Google Scholar] [CrossRef]
- Bikiaris, D.; Matzinos, P.; Larena, A.; Flaris, V.; Panayiotou, C. Use of silane agents and poly (propylene-g-maleic anhydride) copolymer as adhesion promoters in glass fiber/polypropylene composites. J. Appl. Polym. Sci. 2001, 81, 701–709. [Google Scholar] [CrossRef]
- Thomason, J.L. The influence of fibre length and concentration on the properties of glass fibre reinforced polypropylene: 5. Injection moulded long and short fibre PP. Compos. Part A Appl. Sci. Manuf. 2002, 33, 1641–1652. [Google Scholar] [CrossRef]
- Ibarra, L.; Panos, D. Dynamic properties of thermoplastic butadiene–styrene (SBS) and oxidized short carbon fiber composite materials. J. Appl. Polym. Sci. 1998, 67, 1819–1826. [Google Scholar] [CrossRef]


















| Sample | PE-g-PS (%) | GF (%) | Elastomer (%) | Concentration of Coupling Agent Treated on GF | |||
|---|---|---|---|---|---|---|---|
| 1,6 bis (%) | 3-MPS (%) | TES (%) | PP-g-MA (%) | ||||
| pure membrane | 83 | 0 | 17 | ||||
| Composite with 1,6 bis bis-treated GF | 71 | 14 | 14 | 2 | |||
| Composite with 3-MPS-treated GF | 71 | 14 | 14 | 1 | |||
| 71 | 14 | 14 | 2 | ||||
| 71 | 14 | 14 | 3 | ||||
| 71 | 14 | 14 | 4 | ||||
| 71 | 14 | 14 | 5 | ||||
| Composite with TES-treated GF | 71 | 14 | 14 | 2 | |||
| Composite with PP-g-MA-treated GF | 71 | 14 | 14 | 2 | |||
| Sample | tan δc | tan δm | A |
|---|---|---|---|
| Blank | 0.097 | 0.1269 | −0.11118 |
| 1,6 bis | 0.1112 | 0.1269 | 0.01893 |
| 3-MPS | 0.1107 | 0.1269 | 0.01435 |
| TES | 0.1902 | 0.1269 | 0.74281 |
| PP-g-MA | 0.1104 | 0.1269 | 0.0116 |
Publisher’s Note: MDPI stays neutral with regard to jurisdictional claims in published maps and institutional affiliations. |
© 2020 by the authors. Licensee MDPI, Basel, Switzerland. This article is an open access article distributed under the terms and conditions of the Creative Commons Attribution (CC BY) license (http://creativecommons.org/licenses/by/4.0/).
Share and Cite
Huang, D.; Chen, Z.; Hwang, J.-Y. Studies on Glass Fiber-Reinforced Poly(Ethylene-Grafted-Styrene)-Based Cation Exchange Membrane Composite. Materials 2020, 13, 5597. https://doi.org/10.3390/ma13245597
Huang D, Chen Z, Hwang J-Y. Studies on Glass Fiber-Reinforced Poly(Ethylene-Grafted-Styrene)-Based Cation Exchange Membrane Composite. Materials. 2020; 13(24):5597. https://doi.org/10.3390/ma13245597
Chicago/Turabian StyleHuang, Di, Zhichao Chen, and Jiann-Yang Hwang. 2020. "Studies on Glass Fiber-Reinforced Poly(Ethylene-Grafted-Styrene)-Based Cation Exchange Membrane Composite" Materials 13, no. 24: 5597. https://doi.org/10.3390/ma13245597
APA StyleHuang, D., Chen, Z., & Hwang, J.-Y. (2020). Studies on Glass Fiber-Reinforced Poly(Ethylene-Grafted-Styrene)-Based Cation Exchange Membrane Composite. Materials, 13(24), 5597. https://doi.org/10.3390/ma13245597

