Abstract
The novel ternary carbides and nitrides, known as MAX phase materials with remarkable combined metallic and ceramic properties, offer various engineering and technological applications. Using ab initio calculations based on generalized gradient approximation (GGA), local density approximation (LDA), and the quasiharmonic Debye model; the electronic, structural, elastic, mechanical, and thermodynamic properties of the M2GaC (M = Zr, Hf) MAX phase were investigated. The optimized lattice parameters give the first reference to the upcoming theocratical and experimental studies, while the calculated elastic constants are in excellent agreement with the available data. Moreover, obtained elastic constants revealed that both the Zr2GaC and Hf2GaC MAX phases are brittle. The band structure and density of states analysis showed that these MAX phases are electrical conductors, having strong directional bonding between M-C (M = Zr, Hf) atoms due to M-d and C-p hybridization. Formation and cohesive energies, and phonon calculations showed that Zr2GaC and Hf2GaC MAX phases’ compounds are thermodynamically and dynamically stable and can be synthesized experimentally. Finally, the effect of temperature and pressure on volume, heat capacity, Debye temperature, Grüneisen parameter, and thermal expansion coefficient of M2GaC (M = Zr, Hf) are evaluated using the quasiharmonic Debye model from the nonequilibrium Gibbs function in the temperature and pressure range 0–1600 K and 0–50 GPa respectively.
1. Introduction
A new class of nanolayered transition metal carbides and/or nitrides was first discovered by H. Nowotny and coworkers, which were called H-phases in 1960, now known as MAX phases [1]. The general formula Mn+1AXn typically represents these ternary compounds (where M is an early transition metal, A is an IIIA- or IVA-group element, and X is either C or N, 1 ≤ n ≤ 3). MAX phase crystallizes in the hexagonal crystal structure (space group P63/mmc) in which MX6 octahedral crafted with a pure A-group atom layer grown in c-direction, which bring forth a mixture of a strong covalent M-X bond and a relatively weak metallic M-A bond [2,3]. Due to a unique layered structure, MAX phases possess hybrid properties of both metals and ceramics, such as low density, machinability, thermal and electrical conductivity, damage and irradiation tolerance, oxidation, and corrosion resistance [4,5,6,7]. These remarkable properties make MAX phases suitable for versatile applications from microelectronics to aerospace [8,9,10,11]. Moreover, these ternary compounds can be exfoliated into 2D nanocrystals (MXene) by the selective etching of A-elements, applicable in Li-ion and sodium-ion batteries and supercapacitors, which further broaden the area of interest for researchers [12,13,14].
Over the past few years, extensive work has been devoted to investigating the properties of MAX phases materials experimentally and theoretically. More than 70 different thermodynamically stable Mn+1AXn materials have been synthesized experimentally in bulk form and some of them as a thin-film. Experimental results proved that Al-based MAX phase materials are thermally stable due to the formation of a continuous protective Al2O3 layer [15,16]. Recently, among the M2AC MAX phases, Zr2AlC and Hfn+1AlCn (n = 1, 2) have already been synthesized, and their lattice parameter was in good agreement with first-principle investigations [17,18]. As far as theoretical research is concerned, density functional theory (DFT) [19] calculations have provided valuable information related to MAX phases. For M2GaC MAX phases, X.-X. Pu et al. [20] calculated the structural, electronic, and thermodynamic properties of Ti2GaC, Thore et al. [21] studied the electronic, elastic, and vibrational properties of Mn2GaC, and Shein et al. [22,23] investigated the structural, elastic, and electronic properties of Mo2GaC. At the same time, Qing-He et al. [24] found the extraordinary structural evolution while calculating the mechanical properties of Mo2GaC at different pressures. In addition, A. Petruhins et al. [25] predicted the phase stability, and the magnetic state of Cr2GaC and thin film of Cr2GaC was also prepared using the magnetron sputtering technique. In particular, Ga-containing Mn+1GaCn phases (where M = Ti, Cr, and n = 1, 3) were synthesized by J. Etzkorn et al. in 2009 [26].
Similarly, many computed data can be found in the literature for M2AC (M = Zr, Hf) MAX phases [27,28,29,30]. For example, A. Bouhemadou et al. investigated the structural, electronic, and elastic properties of a wide range of M2AC MAX phases [31], B. Ghebouli, et al. [32] computed the structural, elastic, and thermal properties of M2SiC, and Fen Luo et al. [33] studied the thermodynamic properties of Zr2AlC MAX phase under high pressure and temperature respectively. Despite numerous theoretical investigations, the computed data related to M2GaC (M = Zr and Hf) is lacking. To the authors’ best knowledge, only limited information about the elastic properties of M2GaC (M = Zr and Hf) has been reported by Sun Zhimei et al. [34]. Furthermore, thermodynamic properties of M2GaC MAX phases at higher temperature and pressure have not been studied yet. So, our results can serve as a reference for upcoming theoretical and experimental studies.
In the present study, density functional theory and the quasiharmonic Debye model were utilized to study the electronic, structural, and mechanical properties of M2GaC MAX phase materials along with their thermodynamic properties at pressure ranging 0–50 GPa and temperature ranging 0-1600 K. The Debye temperature , heat capacity (Cv), thermal expansion () coefficient, and Grüneisen parameter (γ) were calculated in the described pressure and temperature ranges. This article is organized as follows: there are detailed computational methods in Section 2; the obtained results and discussion of M2GaC are presented in Section 3; in Section 4, thermodynamic properties are discussed; and in Section 5, a summary of this research is given.
2. Computational Details
The ab initio estimation was performed based on density functional theory (DFT) using the Cambridge Serial Total Energy Package (CASTEP) [35] in which plane wave ultrasoft pseudopotential is used. The exchange-correlation was treated within the generalized gradient approximation (GGA) of Perdew–Wang (GGA-PW91) [36], Perdew–Burke–Ernzerhof (PBE) [37], and local density approximations developed by Ceperly and Alder and parametrized by Perdew and Zunger (LDA-CA-PZ) [38] for comparison. GGA-PBE was implemented to calculate the different properties in each system. A total energy convergence test was performed carefully at additional cutoff energies and the k-point mesh for the M2GaC (M = Zr and Hf) system. For all cases, the plane waves’ cut off energy, and the Monkhorst-pack [39] scheme k-point were set at 600 eV and 15 15 3, respectively. The ground state structural parameters were determined using the Broyden–Fletcher–Goldfarb–Shanno (BFGS) [40] minimization technique while the self-consistent convergence parameters were total energy tolerance less than 5 10−6 eV/atom, stress component less than 0.02GPa, maximum force tolerance 0.01eV/, and maximum displacement of atom during the geometric optimization less than 0.0005 . To investigate the thermodynamic properties of Zr2GaC and Hf2GaC, the quasiharmonic Debye model using the GIBBS program [41,42] was applied in the temperature ranges 0–1600 K and pressure in the range 0–50 GPa. Finally, the phonon dispersion was computed using a finite displacement method implemented in Material Studio [43].
3. Results and Discussion
3.1. Structural Properties
As mentioned earlier, MAX phase materials crystallize in hexagonal crystal structures with space group P63/mmc (No. 194) in which an edge-shared octahedral of transition metal carbide M6X is sandwiched between a pure A-element. The stimulated unit cell is shown in Figure 1. The Wyckoff positions in the M2GaC (M = Zr and Hf) system are as follows: C 2a(0, 0, 0), Ga 2d(2/3, 1/3, 1/4), and M 4f(1/3, 2/3, ZM) where the internal parameter ZM is about 0.08. The quest for stable structure and optimized geometry of the crystalline structure is the first step in any ab initio calculation. For this purpose, the total energy versus volume for each structure in the M2GaC (M = Zr and Hf) system is plotted in Figure 2, and the data were fitted according to the equation of energy of state (EOS) due to Birch–Murnghan [44]. For comparison, we have obtained lattice parameters for the M2GaC MAX phase by GGA-PW91, LDA-CA-PZ, along with GGA-PBE functionals, and the results are shown in Table 1. Moreover, there is no experimental data available in the literature related to M2GaC (M = Zr and Hf), so as a reference, theoretical and experimental results of other Ga-containing MAX phases, i.e., Ti2GaC, Cr2Gac, and Sc2GaC by other researchers are also cited in Table 1 for comparison.
Figure 1.
The unit cell of the M2GaC MAX phase (M = Zr, Hf). An edge-shared [M6X] octahedra, and a M6A trigonal prism are outlined.
Figure 2.
The total energy as a function of unit cell volume for the M2GaC MAX phase (a) Zr2GaC; (b) Hf2GaC.
Table 1.
Calculated lattice parameters (a) and (c) in Å, c/a, bulk modulus (GPa), no. of density of states (DOS)at EF (states/eV/unit cell), and formation energy Efor (eV/atom) for M2GaC MAX phase (M = Zr, Hf) obtained by generalized gradient approximation (GGA) and local density approximation (LDA).
The computed equilibrium volume for Zr2GaC and Hf2GaC is 136.92 and 134.20 , and lattice parameters (a, c) are 3.33 , 14.25 for Zr2GaC, and 3.32 , 14.02 for Hf2GaC, respectively. The study made by Sun Zhimei et al. [34] on Ga-containing MAX Phases M2GaC (where M = Ti, Zr, Hf, V, Nb, Ta, Cr, Mo, W) did not contain useful information related to optimized lattice parameters or volume, and there is no experimental data available in the literature so far. Hence, we predict the physical properties of the M2GaC MAX phase for the very first time.
The effect of pressure on the equilibrium volume of M2GaC, ranging from 0–50 GPa with a step of 10 GPa, is shown in Figure 3, where V0 is the volume at the zero-pressure equilibrium structural parameter. It is noticed that the volume ratio (V/V0) was reduced in the order of with an increase in pressure. Therefore, the compressibility of the M2GaC MAX phase system is strong, and the change of external pressure has a more significant impact on Zr2GaC.
Figure 3.
Calculated dependence of volume change V/V0 on pressure for M2GaC MAX phase (M = Zr, Hf).
The energy of formation per atom () was calculated to investigate the phase stability of the researched M2GaC MAX phase, which is defined as follows [46]:
where: x, y, z is the number of atoms for M, Ga, and C element in the unit cell, i.e., x = 4, y = 2, and z = 2 and , , , and are the total energy of M2GaC MAX phase, M, Ga, and C atoms in the solid form respectively in their stable structures. The calculated formation energy for Zr2GaC and Hf2GaC is −7.59 eV/atom and −7.45 eV/atom, respectively, given in Table 1.
Cohesive energy () is defined as the energy required to break the crystal into an isolated atom and used to identify the structural stability of the M2GaC MAX phases. The is computed using Equation (2).
where: , , , and are the total energy of the M2GaC MAX phase and the energies of isolated M, Ga, and C atoms, respectively. The calculated for Zr2GaC and Hf2GaC is −6.328 eV/atom and −6.162 eV/atom, respectively (see Table 1). It is worth noticing that the formation and cohesive energies for M2GaC are negative, indicating that these MAX phases are energetically favorable from the thermodynamic point of view. Moreover, these structures can be experimentally formed by different synthesis methods.
3.2. Electronic Properties
3.2.1. Band Structure
Based on optimized lattice parameters, the band structure for M2GaC (M = Zr, Hf) was calculated and obtained. Figure 4 shows the band structure from −15 eV to 6 eV energy range along the high symmetry lines of the Brillouin zone. The appearance of the obtained band structure for both Zr2GaC and Hf2GaC MAX phases is similar to the other metallic MAX phases, such as Cr2AlC [47] and Ti2AlC [48] because of considerable overlapping of bands without having bandgap in the vicinity of the Fermi level. It can also be assessed that there is a strong anisotropic behavior with less c-axis energy dispersion. In other words, less energy dispersion was observed along the short H-K and M-L directions for both MAX phase compounds indicating the electronic anisotropic nature of M2GaC MAX phases (see Figure 4), which means conductivity will be lower along the c-axis as compared to their basal planes. The electronic anisotropic behavior of M2GaC MAX phases is in good agreement with the available data of other MAX phases [21,49]. This is a consequence of the nanolaminated structure of M2GaC MAX phases. Vincent et al. [50] investigated the electronic anisotropy of Ti2AlC MAX phase and found that resistivity (ρ = 1/σ) along the c-axis is much higher than polycrystalline bulk material or thin-film along the (0001) orientation.
Figure 4.
The calculated band structure as obtained from GGA-PBE of M2GaC MAX phase (a) Zr2GaC; (b) Hf2GaC.
3.2.2. Density of States (DOS)
To investigate the nature of chemical bonding in the M2GaC (M = Zr, Hf) MAX phases, the density of states (DOS) was calculated and studied. The total and partial density of states is shown in Figure 5 and Figure 6 and the results obtained are tabulated in Table 1. It is observed that the total DOS at EF for Zr2GaC and Hf2GaC are 3.002 states/eV/unit cell and 2.475 states/eV/unit cell, respectively, suggesting that the both Zr2GaC and Hf2GaC MAX phases are metallic and the metallicity of M2GaC MAX phase compounds can be measured by DOS at EF. The metallicity of Zr2GaC and Hf2GaC phases at ambient temperature is investigated by:
where nm and ne are the thermally excited number of electrons and the total number of valence electron in the unit cell while kB, T and N(EF) are the Boltzmann constant, temperature, and value of DOS at EF in unit states/eV/unit cell, respectively. The calculated values of fm are listed in Table 1. Moreover, the conductivity of the M2GaC MAX phase is investigated from the DOS at EF as follows:
where and m are the velocity of electrons near the Fermi level and mass of electrons, respectively. From , the conductivity (σ) of material is estimated as:
where: n, e, and l are the number of electrons, electrons’ charge, and mean free path of electrons, respectively. is the time between two collisions. In Equation (5), e, l, and m are constants; thus, conductivity mainly depends upon the ratio. It is observed that the ; we may conclude that the conductivity of the M2GaC MAX phase is in the order of Zr2GaC > Hf2GaC. However, the values for total density of states (TDOS) obtained for M2GaC (M = Zr, Hf) is much smaller than that of Cr2AlC (6.46 states/eV/unit cell) [43], the maximum TDOS measured among the MAX phases so far. It is noted that the main contribution in the DOS at EF is from the M-4d electrons in both cases, indicating that d bands of transition metal mainly contribute to the conduction properties during the electrical transport. These results are consistent with the previous studies on MAX phases [46].
Figure 5.
The total and partial density of states (PDOS) obtained from GGA-PBE for M2GaC MAX phase). Fermi level is set to 0 eV. (a) Zr2GaC; (b) Hf2GaC.
Figure 6.
The total density of states obtained from GGA-PBE for M2GaC MAX phase (M = Zr, Hf). Fermi level is set to 0 eV.
For Zr2GaC, the total and partial density of states (TDOS and PDOS) from Figure 5a shows that the lowest states range from −10.85 eV to −9.11 eV of the TDOS is formed by C-s with Zr-d, Zr-p along with a small portion of Zr-s. The higher states from −8.01 eV to −5.1 eV are entirely formed by Ga-s states. The valance band in the range −5 eV to −1.90 eV is formed by the strong hybridization of C-s and Zr-d states. The highest valance band is related to the relatively weak hybridization of Zr-d, Zr-p, and Ga-p, which shows the covalent interaction between the Zr-d and Ga-p. The TDOS and PDOS for Hf2GaC shown in Figure 5b is similar to that of Zr2GaC with two common sharing features: Firstly, as M from Hf to Zr, the hybridization peaks of C-s and C-p with M-d states shifts from right to left towards the lower energy level and C-s, C-p peaks become narrow (See Figure 6). This expresses that the weakened M-d and C-s, C-p covalent interaction, results in decreased bulk modulus for the M2GaC MAX phase, as given in Table 1. The indicated peak shift is seen in the M2GaC MAX phase TDOS in Figure 6. Secondly, the M-d (M = Zr, Hf) and C-p hybridization peak lies between −5 eV and −1.90 eV, while M-d and Ga-p is located between −1.90 eV and 0 eV. This indicates that bonding between the M-d and C-p states is stronger than that of the M-d and Ga-p states.
3.3. Mechanical Properties
A brief knowledge about the elastic constants of the crystalline materials helps to predict its behavior under the application of external stress. It contributes to a critical understanding of the many solid-state properties, i.e., ductility, brittleness, stiffness, structural stability, and anisotropy. The elastic constants (Cij) of M2GaC (M = Zr, Hf) were calculated from the PBE, PW91, and LDA, and the obtained results are tabulated in Table 2. The hexagonal structure of MAX phases has six independent elastic constants (C11, C12, C13, C33, C44=C55, and C66), but five of them are listed since C66 = [51]. Moreover, it is observed that the obtained elastic constants (Cij) are positive and satisfy the mechanical stability criteria known as Born stability (C11 > 0, C11−C12 > 0, C44 > 0, C66 > 0, (C11 + C12) C33−2 > 0) [52] showing that the M2GaC MAX phase is mechanically stable. In order to comprehend the mechanical properties further, the bulk modulus (B), shear modulus (G), Young’s modulus (E), G/B or B/G (Pugh ratio), elastic anisotropy (A), and Poisson’s ratio (ν) are calculated from the obtained elastic constants and results are given in Table 3. The Voigt (V) [53], Russ (R) [54,55], and Voigt–Russ and Hill (VRH) [56,57] approximation scheme were used to determine the parameters concerning properties. The following equations are used to calculate these quantities:
and
where Bv, Gv and Br, Gr are the B and G in terms of the Voigt and Russ approximation respectively and calculated by given Equations (8)–(11)
and
Table 2.
The elastic constants (in GPa) for M2GaC (M = Zr and Hf) obtained from GGA and LDA.
Table 3.
The calculated bulk modulus (B), shear modulus (G), Young’s modulus (E), Pugh’s ratio (B/G and G/B), anisotropic index (A), and Poisson’s ratio for M2GaC MAX phase (M = Zr, Hf).
Young’s modulus can be calculated by
To calculate the anisotropy index (A) following expression is used
The Poisson’s ratio can be calculated by:
Generally, the calculated parameters B, G, and E measure the material’s resistance to fracture, resistance to plastic deformation, and stiffness of the material, respectively. The bulk modulus (B) calculated in terms of elastic constants is in good agreement with the bulk modulus (B*) obtained from the Birch–Murnghan equation of state (EOS), indicating that our estimated elastic constants for Zr2GaC and Hf2GaC are accurate and precise. Moreover, the calculated bulk modulus obtained from LDA is in good agreement with the available study [34]. Furthermore, B, G, and E for Hf2GaC > Zr2GaC, which means the effect to resist the deformation of Hf2GaC is better than that of Zr2GaC. Therefore, the reduction of volume ratio (V/V0) for Zr2GaC is higher than Hf2GaC (See Figure 3).
Another parameter, the Pugh’s ratio (B/G and G/B) [58], separates the ductile to brittle nature of the material. It is known that if B/G > 1.75 and G/B < 0.5, the material will be ductile; otherwise, it will be brittle [59]. In our cases (Zr2GaC and Hf2GaC), the B/G < 1.75 and G/B > 0.5; consequently, the compounds under this study are predicted to be brittle like Ta2GaC [20]. The anisotropy index (A) gives the knowledge about the anisotropic nature of the materials. If the value of A is equal to 1, then the material is said to be isotropic; otherwise, material will be anisotropic if the value of A is higher or lower than 1. Our calculated results from Table 3 showed that the M2GaC MAX phases are anisotropic.
One of the most essential elastic parameters is Poisson’s ratio (σ), defined as the ratio between the transverse strain to longitudinal strain under the applied tensile stress. It gives knowledge about the material’s chemical bonding and is linked to its stability against the shear stress. Whether the material is brittle or ductile can be predicted from the Poisson’s ratio (σ) value, and the 0.33 [60] value is set for ductile material; otherwise, the material is called brittle if σ < 0.33. In the results of both investigated Zr2GaC and Hf2GaC MAX phases, the Poisson’s ratio (σ) value is smaller; consequently, both compounds are predicted to be brittle.
For the phase stability of M2GaC MAX phases, the calculated phonon dispersion curves along the high-symmetry directions in the Brillouin zone are shown in Figure 7. The M2GaC MAX phases have eight atoms in the unit cell; therefore, the phonon dispersion curve shows twenty-four branches (three acoustic and twenty-one optical). The optical frequencies (longitudinal optical (LO) and transverse optical (TO)) at Γ are 14.58 THz and 16.00 THz for Zr2GaC and 16.56 THz and 18.32 THz for Hf2GaC. We have not observed any negative or imaginary frequency in the phonon dispersion curves of both MAX phases indicating that M2GaC MAX phases are dynamically stable. To the best of the authors’ knowledge, phonon dispersion for Zr2GaC and Hf2GaC have not yet been investigated theoretically and experimentally.
Figure 7.
The phonon dispersion curve for M2GaC MAX phase (a) Zr2GaC; (b) Hf2GaC.
4. Thermodynamic Properties
The thermal properties of Zr2GaC and Hf2GaC are computed in the temperature ranges 0–1600 K and the pressure in the range 0–50 GPa with the step of 10 GPa, whereas the quasiharmonic Debye model remains valid [41,42] in this temperature range. This model has been successfully applied to calculate the thermodynamic properties of other MAX phases as well. The Debye temperature (D) is calculated from elastic constants and it depends on the mean propagation sound velocity (Vm). A couple of equations are used to calculate the D which are given below: [61,62,63]
where
with
and
where h is Planck’s constant, kB is Boltzmann’s constant, n represents the number of atoms per unit cell, Va is the atomic volume while vm, vt, and vl are mean sound velocity, transverse and longitudinal sound velocities respectively.
The calculated relationship between volume and temperature, heat capacity and temperature, Debye temperature and temperature, Grüneisen parameter (γ) and temperature, and thermal expansion coefficient and temperature for Zr2GaC and Hf2GaC is given in Figure 8, Figure 9, Figure 10, Figure 11 and Figure 12. The calculated vm, vt, vl, Debye temperature (D), thermal expansion coefficient CTE (α), and heat capacity at constant volume (CV) and constant pressure (CP) for Zr2GaC and Hf2GaC at 300 K are presented in Table 1, Table 2, Table 3 and Table 4.
Figure 8.
Temperature effect on lattice parameters at different pressures for M2GaC MAX phase (a) Zr2GaC; (b) Hf2GaC.
Figure 9.
The dependence of Debye temperature on temperature at different pressures for M2GaC MAX phase (a) Zr2GaC; (b) Hf2GaC.
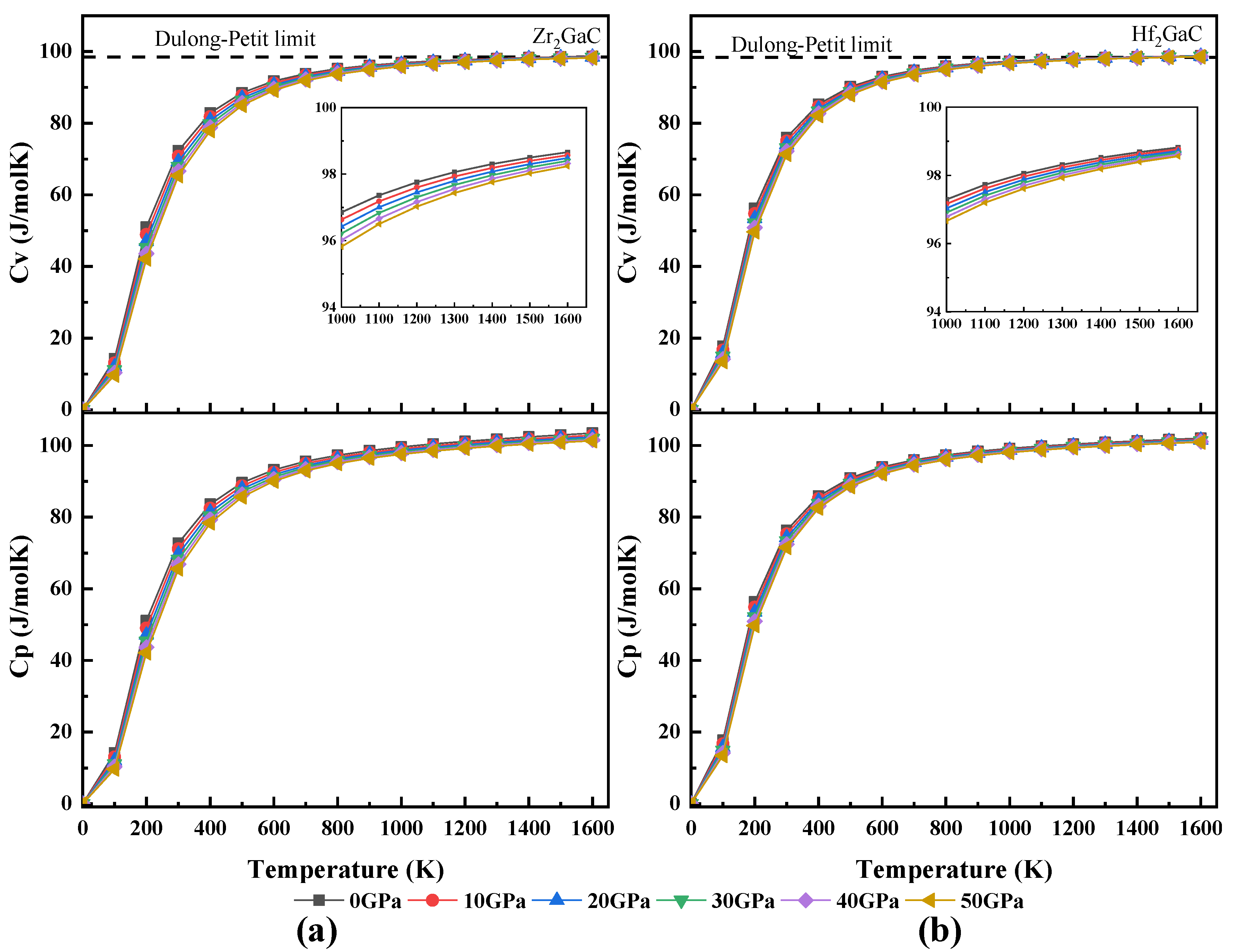
Figure 10.
Temperature effect on heat capacity Cv and Cp at different pressures for M2GaC MAX phase (a) Zr2GaC; (b) Hf2GaC.
Figure 11.
Temperature effect on Grüneisen parameters at different pressures for M2GaC MAX phase (a) Zr2GaC; (b) Hf2GaC.
Figure 12.
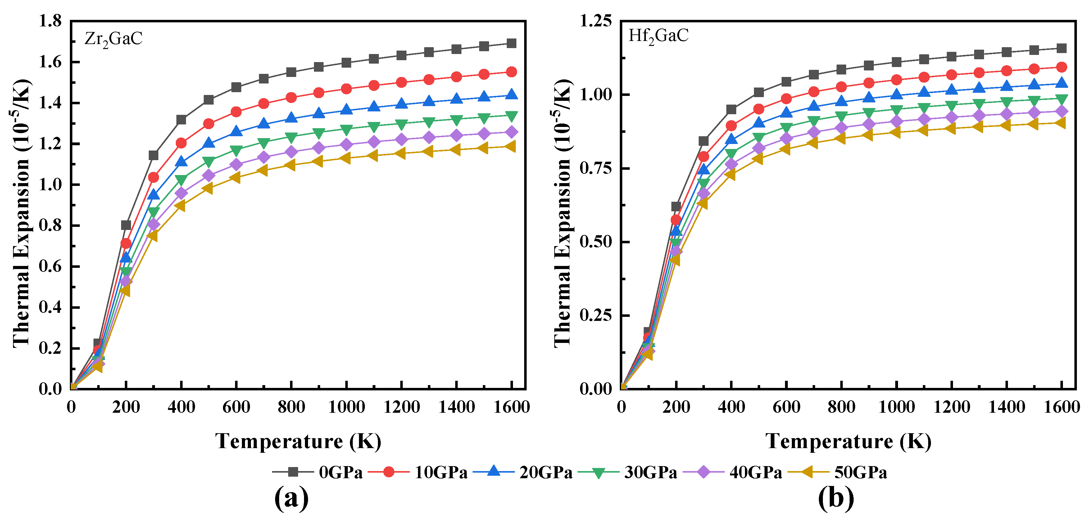
The effect of temperature on thermal expansion coefficient at different pressures for M2GaC MAX phase (a) Zr2GaC; (b) Hf2GaC.
Table 4.
The calculated transverse elastic wave velocity (vt), longitudinal elastic wave velocity (vl), the average wave velocity (vm), Debye temperature (θD), thermal expansion coefficient (α), and heat capacities at constant volume and constant pressure (Cv and Cp) at 300 K for M2GaC MAX phase (M = Zr, Hf).
From Figure 8, it is noticed that a small change in volume takes place from the temperature 0 to 100 K at a given pressure, and volume linearly increases with the rise in temperature while a decrease in volume is observed at high pressure at a given temperature. The relationship between the Debye temperature and temperature is shown in Figure 9. The linear decline in Debye temperature could be seen with the increase in temperature and increases with pressure. For both Zr2GaC and Hf2GaC MAX phase, the value of θD at a given temperature and pressure is in the order of . Many physical properties of solidity such as hardness, thermal expansion [60], and heat capacity depend on Debye temperature. The hardness of the Zr2GaC and Hf2GaC MAX phase in terms of Debye temperature is in the order of Zr2GaC > Hf2GaC because the value for Zr2GaC and Hf2GaC is 787.91 K and 720.78 K, respectively, at 0 GPa and ambient temperature.
The effect of temperature on heat capacity (Cv, Cp) of Zr2GaC and Hf2GaC MAX phase is depicted in Figure 10. The heat capacity is the ability of the material to absorb heat from the surroundings, and one can get useful information about the density of states, lattice vibration, energy band structure, etc., from heat capacity. It is observed that both Cv and Cp increase abruptly with temperature when temperature limit T 300 K, beyond the 300 K, Cv and Cp increases slowly and finally get converged at higher temperature to obey the Dulong–Petit limit. The effect of temperature and pressure on heat capacity is the opposite; however, temperature change has a more significant impact than pressure. The obtained heat capacity values of Zr2GaC and Hf2GaC MAX phase at constant volume corresponding to ambient temperature and 0 GPa are 72.33 J/mol·K and 76.00 J/mol·K, respectively.
The Grüneisen parameter (γ) is used to calculate the thermal state and is a dimensionless quantity. The trend for γ is almost similar to that of volume. As shown in Figure 11 that γ decreases with an increase in pressure while increasing linearly with temperature. However, γ remains constant in the temperature range from 0–100 K. The obtained γ0 values for Zr2GaC and Hf2GaC are 1.76 and 1.74 at 0 GPa, respectively. Finally, the dependence of the thermal expansion coefficient (α) on temperature is depicted in Figure 12. At a given temperature, α decreases with the increase in pressure; this may be due to reduced unit cell volume. The results of α at ambient temperature and 0 GPa for Zr2GaC and Hf2GaC are 1.14 × 10−5 K−1 and 0.84 × 10−5 K−1, respectively. However, in the range 0–300 K, α increases rapidly and reaches a plateau at higher temperature, indicating that the temperature effect is more important at lower temperature.
5. Conclusions
In this study, electronic, structural, elastic, phonon, thermodynamical, and mechanical properties of the M2GaC MAX phase (M = Zr, Hf) were comprehensively investigated by employing first-principle calculations based on GGA and LDA exchange-correlation functional. The thermodynamic properties were computed using the quasiharmonic Debye model in the pressure ranges 0–50 GPa, and temperature in the range 0–1600 K. The results showed that the formation and cohesive energies for both Zr2GaC and Hf2GaC are found to be negative, i.e., −7.59 eV/atom and −6.32 eV/atom for Zr2GaC and −7.45 eV/atom and −6.16 eV/atom for Hf2GaC. The PDOS revealed that the main contribution in electric transport at EF was by transition metal M-4d electrons and hybridizations between M-d and C-p states is stronger than M-d and Ga-p states. The DOS at EF for Zr2GaC and Hf2GaC was 2.96 states/eV/unit and 2.47 states/eV/unit, respectively, indicating that these MAX phases are predicted to be electrical conductors while band structures pointed out their anisotropic nature. Moreover, the formation and cohesive energies, elastic constants, and phonon calculations showed that both compounds are thermodynamically, mechanically, and dynamically stable. Furthermore, the values of E, B, and G in terms of elastic constants are in the order of Hf2GaC > Zr2GaC. From the B/G, Poisson’s ratio, and anisotropy index, it is concluded that the MAX phases investigated in this study are brittle and anisotropic. As far as thermodynamic properties of the M2GaC MAX phase are concerned, the volume and Grüneisen parameter increases linearly with an increase in temperature and decreases with an increase in pressure while the Debye temperature has an inverse trend compared to them. The heat capacities (Cv and Cp) and the thermal expansion coefficient increases rapidly up to the temperature ranges 0–300 K and then reaches a plateau at higher temperature. To the best of the authors’ knowledge, no data related to the electronic, structural, phonon, and thermodynamic properties in the literature exist so far. Hence, the results about the M2GaC (M = Zr, Hf) MAX phase can serve as a reference for future theoretical and experimental research.
Author Contributions
Conceptualization, M.W.Q. and X.M.; methodology, M.W.Q and R.P.; software, X.M.; validation M.W.Q., X.M., G.T., and R.P.; formal analysis, M.W.Q., X.M., and R.P.; investigation, M.W.Q., G.T.; writing—original draft preparation, M.W.Q., and X.M.; writing—review and editing, M.W.Q., X.M., and R.P.; supervision, X.M. All authors have read and agreed to the published version of the manuscript.
Funding
This work is supported by the National Science and Technology Major Project (No. 2017-VII-0003-0096) and the National Natural Science Foundation of China (NSFC No.51971084 and No.52031003).
Acknowledgments
The authors express their sincere gratitude to Zhu Jingchuan from the School of Material Science and Engineering, Harbin Institute of Technology, for providing the computing facility.
Conflicts of Interest
The authors declare no conflict of interest.
References
- Nowotny, V.H. Strukturchemie einiger Verbindungen der Übergangsmetalle mit den elementen C, Si, Ge, Sn. Prog. Solid State Chem. 1971, 5, 27–70. [Google Scholar] [CrossRef]
- Barsoum, M.W. MAX Phases: Properties of Machinable Ternary Carbides and Nitrides; Wiley-VCH: Weinheim, Germany, 2013. [Google Scholar] [CrossRef]
- Eklund, P.; Rosen, J.; Persson, P.O.Å. Layered ternary Mn + 1AXn phases and their 2D derivative MXene: An overview from a thin-film perspective. J. Phys. D Appl. Phys. 2017, 50. [Google Scholar] [CrossRef]
- Eklund, P.; Beckers, M.; Jansson, U.; Högberg, H.; Hultman, L. The Mn + 1AXn phases: Materials science and thin-film processing. Thin Solid Films 2010, 518, 1851–1878. [Google Scholar] [CrossRef]
- Barsoum, M.W.; El-Raghy, T. The MAX phases: Unique new carbide and nitride materials: Tertiary ceramics are soft and machinable, yet heat-tolerant, strong and lightweight. Am. Sci. 2001, 89, 334–343. [Google Scholar] [CrossRef]
- Barsoum, M.W.; El-Raghy, T. Synthesis and characterization of a remarkable ceramic: Ti3SiC2. J. Am. Ceram. Soc. 1996, 79, 1953–1956. [Google Scholar] [CrossRef]
- Tzenov, N.V.; Barsoum, M.W. Synthesis and Characterization of Ti3AlC2. J. Am. Ceram. Soc. 2004, 83, 825–832. [Google Scholar] [CrossRef]
- Li, C.; Wang, B.; Li, Y.; Wang, R. First-principles study of electronic structure, mechanical and optical properties of V4AlC3. J. Phys. D. Appl. Phys. 2009, 42. [Google Scholar] [CrossRef]
- Nappé, J.C.; Grosseau, P.; Audubert, F.; Guilhot, B.; Beauvy, M.; Benabdesselam, M.; Monnet, I. Damages induced by heavy ions in titanium silicon carbide: Effects of nuclear and electronic interactions at room temperature. J. Nucl. Mater. 2009, 385, 304–307. [Google Scholar] [CrossRef]
- Shi, S.; Zhang, L.; Li, J. High frequency electromagnetic interference shielding behaviors of Ti3SiC2/Al2O3 composites. J. Appl. Phys. 2008, 103. [Google Scholar] [CrossRef]
- Barsoum, M.W. MN + 1AXN phases: A new class of solids; thermodynamically stable nanolaminates. Prog. Solid State Chem. 2000, 28, 201–281. [Google Scholar] [CrossRef]
- Sun, D.; Hu, Q.; Chen, J.; Zhang, X.; Wang, L.; Wu, Q.; Zhou, A. Structural Transformation of MXene (V2C, Cr2C, and Ta2C) with O Groups during Lithiation: A First-Principles Investigation. ACS Appl. Mater. Interfaces 2016, 8, 74–81. [Google Scholar] [CrossRef] [PubMed]
- Lin, Z.; Barbara, D.; Taberna, P.L.; van Aken, K.L.; Anasori, B.; Gogotsi, Y.; Simon, P. Capacitance of Ti3C2Tx MXene in ionic liquid electrolyte. J. Power Sources 2016, 326, 575–579. [Google Scholar] [CrossRef]
- Wang, Y.; Ma, C.; Ma, W.; Fan, W.; Sun, Y.; Yin, H.; Shi, X.; Liu, X.; Ding, Y. Enhanced low-temperature Li-ion storage in MXene titanium carbide by surface oxygen termination. 2D Mater. 2019, 6. [Google Scholar] [CrossRef]
- Wang, Q.M.; Renteria, A.F.; Schroeter, O.; Mykhaylonka, R.; Leyens, C.; Garkas, W.; Baben, M. Fabrication and oxidation behavior of Cr2AlC coating on Ti6242 alloy. Surf. Coat. Technol. 2010, 204, 2343–2352. [Google Scholar] [CrossRef]
- Hajas, D.E.; Baben, M.T.; Hallstedt, B.; Iskandar, R.; Mayer, J.; Schneider, J.M. Oxidation of Cr2AlC coatings in the temperature range of 1230 to 1410 °C. Surf. Coat. Technol. 2011, 206, 591–598. [Google Scholar] [CrossRef]
- Lapauw, T.; Tunca, B.; Cabioc’H, T.; Lu, J.; Persson, P.O.Å.; Lambrinou, K.; Vleugels, J. Synthesis of MAX Phases in the Hf-Al-C System. Inorg. Chem. 2016, 55, 10922–10927. [Google Scholar] [CrossRef] [PubMed]
- Lapauw, T.; Lambrinou, K.; Cabioc’h, T.; Halim, J.; Lu, J.; Pesach, A.; Rivin, O.; Ozeri, O.; Caspi, E.N.; Hultman, L.; et al. Synthesis of the new MAX phase Zr2AlC. J. Eur. Ceram. Soc. 2016, 36, 1847–1853. [Google Scholar] [CrossRef]
- Perdew, J.P. Density-functional approximation for the correlation energy of the inhomogeneous electron gas. Phys. Rev. B 1986, 33, 8822–8824. [Google Scholar] [CrossRef]
- Pu, X.X.; Long, X.J.; Zhang, L.; Zhu, J. The structure, elastic and thermodynamic properties of Ti2GaC from first-principles calculation. Int. J. Mod. Phys. B 2019, 33, 1–17. [Google Scholar] [CrossRef]
- Thore, A.; Dahlqvist, M.; Alling, B.; Rosén, J. First-principles calculations of the electronic, vibrational, and elastic properties of the magnetic laminate Mn2GaC. J. Appl. Phys. 2014, 116. [Google Scholar] [CrossRef]
- Shein, I.R.; Ivanovskii, A.L. Elastic properties of superconducting MAX phases from first-principles calculations. Phys. Status Solidi Basic Res. 2011, 248, 228–232. [Google Scholar] [CrossRef]
- Shein, I.R.; Ivanovskii, A.L. Structural, elastic, electronic properties and Fermi surface for superconducting Mo2GaC in comparison with V2GaC and Nb2GaC from first principles. Phys. C Supercond. Appl. 2010, 470, 533–537. [Google Scholar] [CrossRef]
- Qing-He, G.; Zhi-Jun, X.; Ling, T.; Jin, L.; An, D.; Yun-Dong, G.; Ze-Jin, Y. Origin of the c-axis ultraincompressibility of Mo2GaC above about 15 GPa from first principles. J. Appl. Phys. 2016, 119. [Google Scholar] [CrossRef]
- Petruhins, A.; Ingason, A.S.; Dahlqvist, M.; Mockute, A.; Junaid, M.; Birch, J.; Lu, J.; Hultman, L.; Persson, P.O.A.; Rosen, J. Phase stability of Crn+ 1GaCn MAX phases from first principles and Cr2GaC thin-film synthesis using magnetron sputtering from elemental targets. Phys. Status Solidi Rapid Res. Lett. 2013, 7, 971–974. [Google Scholar] [CrossRef]
- Etzkorn, J.; Ade, M.; Kotzott, D.; Kleczek, M.; Hillebrecht, H. Ti2GaC, Ti4GaC3 and Cr2GaC-Synthesis, crystal growth and structure analysis of Ga-containing MAX-phases Mn + 1GaCn with M = Ti, Cr and n = 1, 3. J. Solid State Chem. 2009, 182, 995–1002. [Google Scholar] [CrossRef]
- Aydin, S.; Tatar, A.; Ciftci, Y.O. Some new members of MAX family including light-elements: Nanolayered Hf2XY (X = Al, Si, P and YCombining double low lineB, C, N). Solid State Sci. 2016, 53, 44–55. [Google Scholar] [CrossRef]
- Ghebouli, B.; Ghebouli, M.A.; Fatmi, M.; Louail, L.; Chihi, T.; Bouhemadou, A. First-principles calculations of structural, electronic, elastic and thermal properties of phase M2SiC (M = Ti, V, Cr, Zr, Nb, Mo, Hf, Ta and W). Trans. Nonferrous Met. Soc. China (English Ed.) 2015, 25, 915–925. [Google Scholar] [CrossRef]
- Bouhemadou, A. Calculated structural and elastic properties of M2InC (M = Sc, Ti, V, Zr, Nb, Hf, Ta). Mod. Phys. Lett. B 2008, 22, 2063–2076. [Google Scholar] [CrossRef]
- Islam, A.K.M.A. Remarkable Class of Materials: Band Structures and Optical Properties of Non-Superconducting and Superconducting MAX Phases. 2015. Available online: https://www.researchgate.net/publication/291354284 (accessed on 3 October 2020).
- Bouhemadou, A. Calculated structural, electronic and elastic properties of M2GeC (M=Ti, V, Cr, Zr, Nb, Mo, Hf, Ta and W). Appl. Phys. A Mater. Sci. Process. 2009, 96, 959–967. [Google Scholar] [CrossRef]
- Luo, F.; Guo, Z.C.; Zhang, X.L.; Yuan, C.Y.; Cai, L.C. Ab initio predictions of structural and thermodynamic properties of Zr2AlC under high pressure and high temperature. Chin. J. Chem. Phys. 2015, 28, 263–268. [Google Scholar] [CrossRef]
- Brik, M.G.; Avram, N.M.; Avram, C.N. Ab initio calculations of the electronic, structural and elastic properties Nb2InC. Comput. Mater. Sci. 2012, 63, 227–231. [Google Scholar] [CrossRef]
- Sun, Z.; Music, D.; Ahuja, R.; Li, S.; Schneider, J.M. Bonding and classification of nanolayered ternary carbides. Phys. Rev. B Condens. Matter Mater. Phys. 2004, 70, 1–3. [Google Scholar] [CrossRef]
- Payne, M.C.; Teter, M.P.; Allan, D.C.; Arias, T.A.; Joannopoulos, J.D. Iterative minimization techniques for ab initio total-energy calculations: Molecular dynamics and conjugate gradients. Rev. Mod. Phys. 1992, 64, 1045–1097. [Google Scholar] [CrossRef]
- Perdew, J.P.; Wang, Y. Accurate and simple analytic representation of the electron-gas correlation energy. Phys. Rev. B 1992, 45, 13244–13249. [Google Scholar] [CrossRef] [PubMed]
- Perdew, J.P.; Burke, K.; Ernzerhof, M. Generalized gradient approximation made simple. Phys. Rev. Lett. 1996, 77, 3865–3868. [Google Scholar] [CrossRef] [PubMed]
- Perdew, J.P.; Zunger, A. Self-interaction correction to density-functional approximations for many-electron systems. Phys. Rev. B 1981, 23, 5048–5079. [Google Scholar] [CrossRef]
- Monkhorst, H.J.; Pack, J.D. Special points for Brillouin-zone integrations. Phys. Rev. B 1976, 13, 5188–5192. [Google Scholar] [CrossRef]
- Fischer, T.H.; Almlöf, J. General methods for geometry and wave function optimization. J. Phys. Chem. 1992, 96, 9768–9774. [Google Scholar] [CrossRef]
- Otero-De-La-Roza, A.; Abbasi-Pérez, D.; Luaña, V. Gibbs2: A new version of the quasiharmonic model code. II. Models for solid-state thermodynamics, features and implementation. Comput. Phys. Commun. 2011, 182, 2232–2248. [Google Scholar] [CrossRef]
- Blanco, M.A.; Francisco, E.; Luaña, V. GIBBS: Isothermal-isobaric thermodynamics of solids from energy curves using a quasi-harmonic Debye model. Comput. Phys. Commun. 2004, 158, 57–72. [Google Scholar] [CrossRef]
- Materials Studio—PaNdata Software. (n.d.). Available online: https://software.pan-data.eu/software/86/materials-studio (accessed on 27 October 2020).
- Murnaghan, F.D. The Compressibility of Media under Extreme Pressures. Proc. Natl. Acad. Sci. USA 1944, 30, 244–247. [Google Scholar] [CrossRef] [PubMed]
- Bouhemadou, A.; Khenata, R.; Kharoubi, M.; Medkour, Y. First-principles study of structural and elastic properties of Sc2AC (A = Al, Ga, In, Tl). Solid State Commun. 2008, 146, 175–180. [Google Scholar] [CrossRef]
- Huang, Z.W.; Zhao, Y.H.; Hou, H.; Han, P.D. Electronic structural, elastic properties and thermodynamics of Mg17Al12, Mg2Si and Al2Y phases from first-principles calculations. Phys. B Condens. Matter. 2012, 407, 1075–1081. [Google Scholar] [CrossRef]
- Cui, S.; Wei, D.; Hu, H.; Feng, W.; Gong, Z. First-principles study of the structural and elastic properties of Cr2AlX (X = N, C) compounds. J. Solid State Chem. 2012, 191, 147–152. [Google Scholar] [CrossRef]
- Tan, J.; Han, H.; Wickramaratne, D.; Liu, W.; Zhao, M.; Huai, P. A comparative first-principles study of the electronic, mechanical, defect and acoustic properties of Ti2AlC and Ti3AlC. J. Phys. D Appl. Phys. 2014, 47, 215301. [Google Scholar] [CrossRef]
- Hadi, M.A.; Kelaidis, N.; Naqib, S.H.; Islam, A.K.M.A.; Chroneos, A.; Vovk, R.V. Insights into the physical properties of a new 211 MAX phase Nb2CuC. J. Phys. Chem. Solids 2021, 149, 109759. [Google Scholar] [CrossRef]
- Mauchamp, V.; Yu, W.; Gence, L.; Piraux, L.; Cabioc’H, T.; Gauthier, V.; Eklund, P.; Dubois, S. Anisotropy of the resistivity and charge-carrier sign in nanolaminated Ti2AlC: Experiment and ab initio calculations. Phys. Rev. B Condens. Matter Mater. Phys. 2013, 87, 1–7. [Google Scholar] [CrossRef]
- Li, H.; Sun, G.; Deng, J.; Zhang, W.; Xu, L.; Jiang, W.; Feng, Y.; Li, K. Phonon and electronic properties of Ti2SiC from first-principles calculations. Solid State Commun. 2015, 204, 37–40. [Google Scholar] [CrossRef]
- Schäfer, K.; Duane, C. Wallace: Thermodynamics of Crystals. XVIII u. 484 S. mit 57 Abb. John Wiley & Sons Ltd. Chichester, New York, Sydney, Tokio, Mexiko 1972. Preis: £ 8,85. Ber. Bunsenges. Phys. Chem. 1972, 76, 1211. [Google Scholar] [CrossRef]
- Mouhat, F.; Coudert, F.X. Necessary and sufficient elastic stability conditions in various crystal systems. Phys. Rev. B Condens. Matter Mater. Phys. 2014, 90, 224104. [Google Scholar] [CrossRef]
- Reuss, A. Berechnung der Fließgrenze von Mischkristallen auf Grund der Plastizitätsbedingung für Einkristalle. ZAMM J. Appl. Math. Mech. Z. Angew. Math. Mech. 1929, 9, 49–58. [Google Scholar] [CrossRef]
- Brazhkin, V.V. High-pressure synthesized materials: Treasures and hints. High Press. Res. 2007, 27, 333–351. [Google Scholar] [CrossRef]
- Hill, R. The elastic behaviour of a crystalline aggregate. Proc. Phys. Soc. Sect. A 1952, 65, 349–354. [Google Scholar] [CrossRef]
- Johnson, D.D. Electronic Basis of the Strength of Materials. Phys. Today 2004. [Google Scholar] [CrossRef]
- Pugh, S.F. XCII. Relations between the elastic moduli and the plastic properties of polycrystalline pure metals. Lond. Edinb. Dublin Philos. Mag. J. Sci. 1954, 45, 823–843. [Google Scholar] [CrossRef]
- Chen, X.Q.; Niu, H.; Li, D.; Li, Y. Modeling hardness of polycrystalline materials and bulk metallic glasses. Intermetallics 2011, 19, 1275–1281. [Google Scholar] [CrossRef]
- Haines, J.; Léger, J.; Bocquillon, G. Synthesis and Design of Superhard Materials. Annu. Rev. Mater. Res. 2001, 31, 1–23. [Google Scholar] [CrossRef]
- Schreiber, E. Elastic Constants and Their Measurement; McGraw-Hill: New York, NY, USA, 1974. [Google Scholar]
- Sun, Z.; Li, S.; Ahuja, R.; Schneider, J.M. Calculated elastic properties of M2AlC (M = Ti, V, Cr, Nb and Ta). Solid State Commun. 2004, 129, 589–592. [Google Scholar] [CrossRef]
- Jasiukiewicz, C.; Karpus, V. Debye temperature of cubic crystals. Solid State Commun. 2003, 128, 167–169. [Google Scholar] [CrossRef]
Publisher’s Note: MDPI stays neutral with regard to jurisdictional claims in published maps and institutional affiliations. |
© 2020 by the authors. Licensee MDPI, Basel, Switzerland. This article is an open access article distributed under the terms and conditions of the Creative Commons Attribution (CC BY) license (http://creativecommons.org/licenses/by/4.0/).











