High-Performance Temperature Sensors Based on Dual 4H-SiC JBS and SBD Devices
Abstract
1. Introduction
2. Device Structure and Characteristics
2.1. Device Structure
2.2. I–V Characteristics
2.3. Variations in Barrier Height and Ideality Factor with Temperature
3. Diode Temperature Sensor
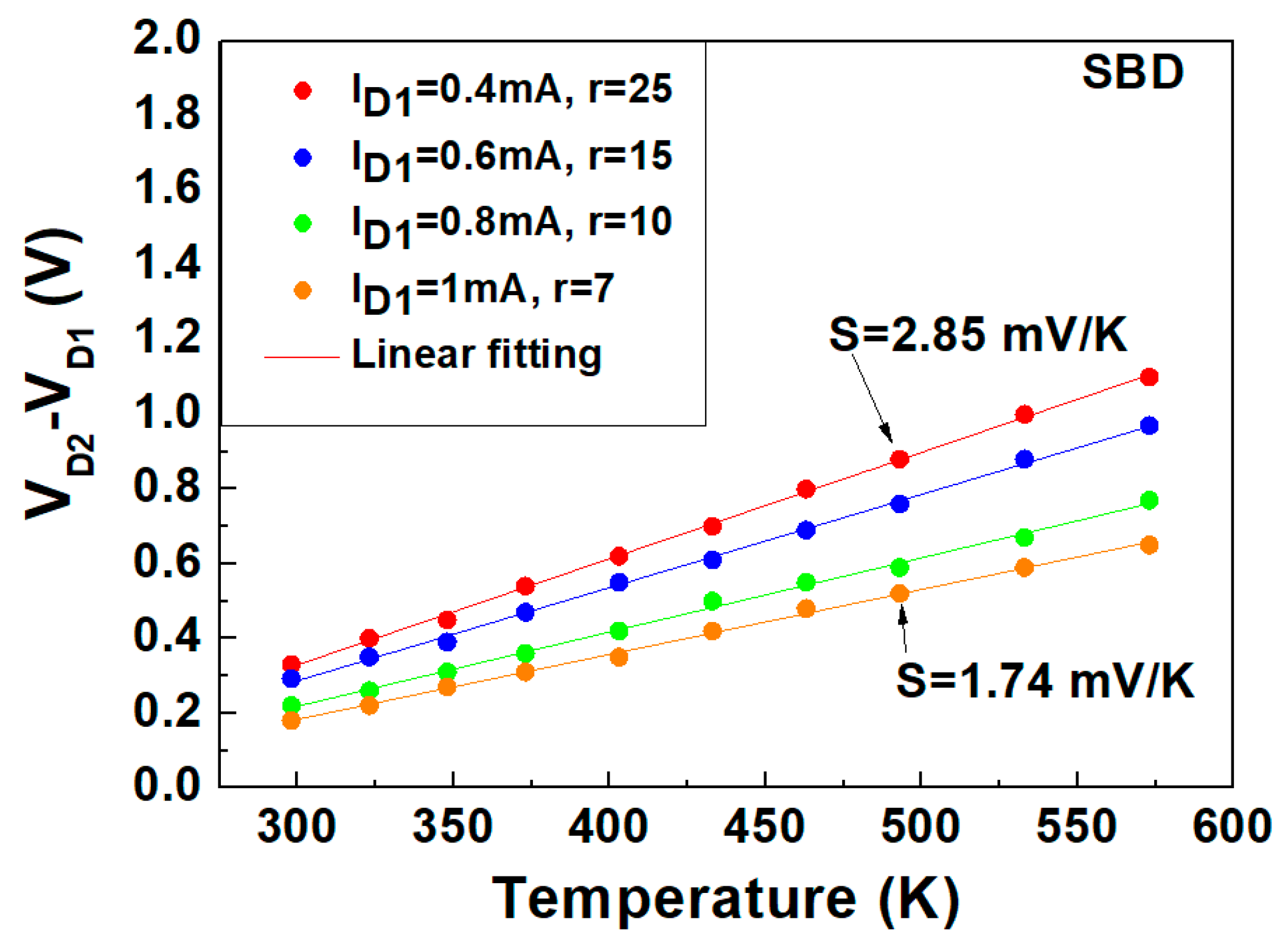
3.1. Thermal Sensitivity
3.2. Sensor Linearity
4. Conclusions
Author Contributions
Funding
Conflicts of Interest
References
- Di Benedetto, L.; Licciardo, G.D.; Rao, S.; Pangallo, G.; Della Corte, F.G.; Rubino, A. V2O5/4H-SiC Schottky diode temperature sensor: Experiments and model. IEEE Trans. Electron Devices 2018, 65, 687–694. [Google Scholar] [CrossRef]
- Kang, M.-S.; Lee, J.-H.; Bahng, W.; Kim, N.-K.; Koo, S.-M. Top-down fabrication of 4H-SiC nano-channel field effect transistors. J. Nanosci. Nanotechnol. 2014, 14, 7821–7823. [Google Scholar] [CrossRef] [PubMed]
- Zhang, N.; Lin, C.-M.; Senesky, D.G.; Pisano, A.P. Temperature sensor based on 4H-silicon carbide pn diode operational from 20 °C to 600 °C. Appl. Phys. Lett. 2014, 104, 073504. [Google Scholar] [CrossRef]
- Kumar, V.; Maan, A.S.; Akhtar, J. Barrier height inhomogeneities induced anomaly in thermal sensitivity of Ni/4H-SiC Schottky diode temperature sensor. J. Vac. Sci. Technol. B 2014, 32, 041203. [Google Scholar] [CrossRef]
- Rao, S.; Di Benedetto, L.; Pangallo, G.; Rubino, A.; Bellone, S.; Della Corte, F.G. 85–440 K temperature sensor based on a 4H-SiC Schottky diode. IEEE Sens. J. 2016, 16, 6537–6542. [Google Scholar] [CrossRef]
- Aydin, M.E.; Yildirim, N.; Türüt, A. Temperature-dependent behavior of Ni/4H-nSiC Schottky contacts. J. Appl. Phys. 2007, 102, 043701. [Google Scholar] [CrossRef]
- Draghi, F.; Brezeanu, G.; Pristavu, G.; Pascu, R.; Badila, M.; Pribeanu, A.; Ceuca, E. 400 °C sensor based on Ni/4H-SiC schottky diode for reliable temperature monitoring in industrial environments. Sensors 2019, 19, 2384. [Google Scholar] [CrossRef] [PubMed]
- Lee, T.; Kang, M.-S.; Kim, S.-S.; Koo, S.-M. Property change of nickel-silicon carbide Schottky contact with neutron fluence of 3.1 × 1010 n/cm2. J. Nanosci. Nanotechnol. 2016, 16, 12773–12776. [Google Scholar] [CrossRef]
- Rao, S.; Pangallo, G.; Della Corte, F.G. 4H-SiC p-i-n diode as highly linear temperature sensor. IEEE Trans. Electron Devices 2016, 63, 414–418. [Google Scholar] [CrossRef]
- Rao, S.; Pangallo, G.; Pezzimenti, F.; Della Corte, F.G. High-performance temperature sensor based on 4H-SiC Schottky diodes. IEEE Electron Device Lett. 2015, 36, 720–722. [Google Scholar] [CrossRef]
- Di Benedetto, L.; Licciardo, G.D.; Nipoti, R.; Bellone, S. On the crossing-point of 4H-SiC power diodes characteristics. IEEE Electron Device Lett. 2014, 35, 244–246. [Google Scholar] [CrossRef]
- Wilson, P.H. Automotive MOSFETs in linear applications: Thermal instability. Infenion Technol. 2005, 1–5. [Google Scholar]
- Spirito, P.; Breglio, G.; D’Alessandro, V.; Rinaldi, N. Thermal instabilities in high current power MOS devices: Experimental evidence, electro-thermal simulations and analytical modeling. In Proceedings of the IEEE 2002 23rd International Conference on Microelectronics, Nis, Yugoslavia, 12–15 May 2002; pp. 23–30. [Google Scholar] [CrossRef]
- Sze, S.M.; Ng, K.K. Physics of Semiconductor Devices; John Wiley & Sons: New York, NY, USA, 2006; Volume 10. [Google Scholar]
- Saadaoui, S.; Mongi Ben Salem, M.; Gassoumi, M.; Maaref, H.; Gaquière, C. Electrical characterization of (Ni/Au)/Al0.25Ga 0.75N/GaN/SiC Schottky barrier diode. J. Appl. Phys. 2011, 110. [Google Scholar] [CrossRef]
- Roccaforte, F.; Giannazzo, F.V.; Raineri, V. Nanoscale transport properties at silicon carbide interfaces. J. Phys. D Appl. Phys. 2010, 43, 223001. [Google Scholar] [CrossRef]
- Bera, S.C. Schottky diode. Lect. Notes Electr. Eng. 2019, 533, 33–45. [Google Scholar]
- Chen, F.-P.; Zhang, Y.-M.; Lv, H.-L.; Zhang, Y.-M.; Huang, J.-H. Study of 4H-SiC junction barrier Schottky diode using field guard ring termination. Chin. Phys. B 2010, 19, 097107. [Google Scholar] [CrossRef]
- Hudait, M.K.; Krupanidhi, S.B. Doping dependence of the barrier height and ideality factor of Au/n-GaAs Schottky diodes at low temperatures. Phys. B Condens. Matter 2001, 307, 125–137. [Google Scholar] [CrossRef]
- Neamen, D. Semiconductor Physics and Devices, 3rd ed.; McGraw-Hill, Inc.: New York, NY, USA, 2003. [Google Scholar]
- Nagelkerke, N.J.D. A note on a general definition of the coefficient of determination. Biometrika 1991, 78, 691–692. [Google Scholar] [CrossRef]








© 2020 by the authors. Licensee MDPI, Basel, Switzerland. This article is an open access article distributed under the terms and conditions of the Creative Commons Attribution (CC BY) license (http://creativecommons.org/licenses/by/4.0/).
Share and Cite
Min, S.-J.; Shin, M.C.; Thi Nguyen, N.; Oh, J.-M.; Koo, S.-M. High-Performance Temperature Sensors Based on Dual 4H-SiC JBS and SBD Devices. Materials 2020, 13, 445. https://doi.org/10.3390/ma13020445
Min S-J, Shin MC, Thi Nguyen N, Oh J-M, Koo S-M. High-Performance Temperature Sensors Based on Dual 4H-SiC JBS and SBD Devices. Materials. 2020; 13(2):445. https://doi.org/10.3390/ma13020445
Chicago/Turabian StyleMin, Seong-Ji, Myeong Cheol Shin, Ngoc Thi Nguyen, Jong-Min Oh, and Sang-Mo Koo. 2020. "High-Performance Temperature Sensors Based on Dual 4H-SiC JBS and SBD Devices" Materials 13, no. 2: 445. https://doi.org/10.3390/ma13020445
APA StyleMin, S.-J., Shin, M. C., Thi Nguyen, N., Oh, J.-M., & Koo, S.-M. (2020). High-Performance Temperature Sensors Based on Dual 4H-SiC JBS and SBD Devices. Materials, 13(2), 445. https://doi.org/10.3390/ma13020445

