The Effect of Soil Mineral Composition on the Compressive Strength of Cement Stabilized Rammed Earth
Abstract
1. Introduction
1.1. An Overview of Cement Stabilized Rammed Earth
1.2. Factors Affecting the Compressive Strength of CSRE
1.3. Soil Mineral Composition Effect on the Compressive Strength of CSRE
1.3.1. Introduction
1.3.2. Clay Minerals
1.3.3. Non-Clay Minerals
1.4. Cement Stabilization
2. Materials and Methods
2.1. Materials
Preparation of Samples
2.2. Methods
2.2.1. The Method for Determining the OMC of Soil-Cement Mixtures
2.2.2. Methods for Determining the Granulation of Loams
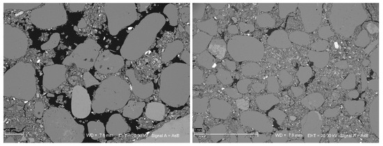
2.2.3. SEM Methodology
2.2.4. CSRE Compressive Strength Test
2.2.5. Moisture Content of CSRE Samples after the Curing Period
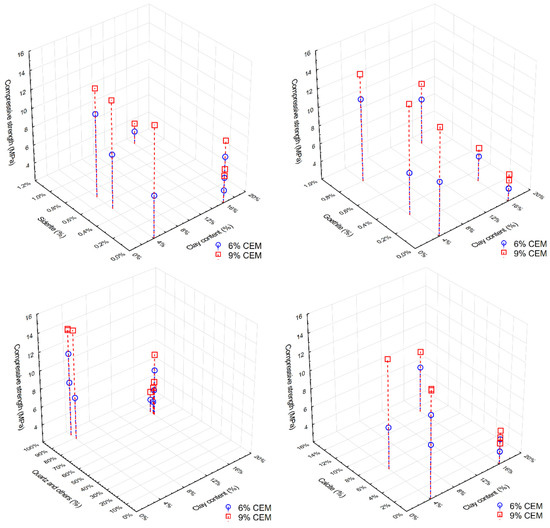
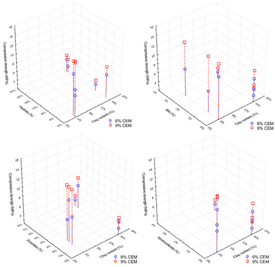
3. Results
3.1. CSRE Compressive Strength and Moisture Content
3.2. SEM Image Analysis
4. Conclusions
- Montmorillonite, as a hydrophilic mineral, set the moisture balance between the sample and the environment at a higher level than for samples not containing this mineral. The result was a higher moisture content at the time of testing of CSRE samples containing montmorillonite, and consequently a lower strength.
- Beidellite slightly reduced the compressive strength.
- Illite did not explicitly affect the compressive strength.
- Kaolinite, as a non-swelling mineral, slightly increased the compressive strength.
- Due to the low percentage of non-clay minerals with the exception of quartz, it was difficult to clearly assess their impact on compressive strength.
- The higher compressive strength of the samples from the MC III mixture compared to samples from mixtures containing a higher (16%) clay fraction content (MC IV, MC V, and MC X) did not result from the beneficial effect of calcite, but from a lower content of clay minerals in the clay fraction in the MC III mixture. Calcite is not a clay mineral and does not swell at all. Even kaolinite swells more than calcite. Hence, the highest compressive strength of the samples was from the MC III mixtures. Calcite, however, undergoes weathering processes, which also has a destructive effect on the CSRE compressive strength. This also explained why the LC II mixture obtained the worst compressive strength in the group of mixtures with a low clay fraction content (4%, LC).
Author Contributions
Funding
Acknowledgments
Conflicts of Interest
Appendix A



References
- Hall, M.R.; Swaney, W. European modern earth construction. In Modern Earth Buildings. Materials, Engineering, Construction and Applications; Woodhead Publishing Limited: Cambridge, UK, 2012; pp. 650–687. [Google Scholar]
- Piasecki, M.; Kozicki, M.; Firląg, S.; Goljan, A.; Kostyrko, K. The Approach of Including TVOCs Concentration in the Indoor Environmental Quality Model (IEQ)-Case Studies of BREEAM Certified Office Buildings. Sustainability 2018, 10, 3902. [Google Scholar] [CrossRef]
- Anysz, H.; Narloch, P. Designing the composition of cement stabilized rammed earth using artificial neural networks. Materials 2019, 12, 1396. [Google Scholar] [CrossRef] [PubMed]
- Minke, G. Building with Earth: Design and Technology of a Sustainable Architecture; Birkhäuser–Publishers for Architecture: Kassel, Germany, 2006. [Google Scholar]
- Narloch, P.L.; Woyciechowski, P.; Jęda, P. The influence of loam type and cement content on the compressive strength of rammed earth. Arch. Civ. Eng. 2015, 61, 73–88. [Google Scholar] [CrossRef][Green Version]
- Ciancio, D.; Jaquin, P.; Walker, P. Advances on the assessment of soil suitability for rammed earth. Constr. Build. Mater. 2013, 42, 40–47. [Google Scholar] [CrossRef]
- Consoli, N.C.; Festugato, L.; Gravina da Rocha, C.; Caberlon Cruz, R. Key parameters for strength control of rammed sand–cement mixtures: Influence of types of portland cement. Constr. Build. Mater. 2013, 49, 591–597. [Google Scholar] [CrossRef]
- Lina, H.; Zhenga, S.; Lourençoa, S.; Jaquin, P. Characterization of coarse soils derived from igneous rocks for rammed earth. Eng. Geol. 2017, 228, 137–145. [Google Scholar] [CrossRef]
- Bui, Q.-B.; Morel, J.-C. First Exploratory Study on the Ageing of Rammed Earth Material. Materials 2015, 8, 1–15. [Google Scholar] [CrossRef]
- Bui, Q.B.; Morel, J.C.; Venkatarama Reddy, B.V.; Ghayad, W. Durability of rammed earth walls exposed for 20 years to natural weathering. Build. Environ. 2009, 44, 912–919. [Google Scholar] [CrossRef]
- Venkatarama Reddy, B.V.; PKumar, P. Cement stabilised rammed earth. Part A: Compaction characteristics and physical properties of compacted cement stabilised soils. Mater. Struct. 2011, 44, 681–693. [Google Scholar] [CrossRef]
- Bui, Q.-B. Assessing the Rebound Hammer Test for Rammed Earth Material. Sustainability 2017, 9, 1904. [Google Scholar] [CrossRef]
- Bui, Q.-B.; Morel, J.-C.; Hans, S.; Walker, P. Effect of moisture content on the mechanical characteristics of rammed earth. Constr. Build. Mater. 2014, 54, 163–169. [Google Scholar] [CrossRef]
- Christopher, B.; Ciancio, D. Effect of compaction water content on the strength of cement-stabilized rammed earth materials. Can. Geotech. J. 2014, 51, 583–590. [Google Scholar] [CrossRef]
- Hall, M.; Allinson, D. Influence of cementitious binder content on moisture transport in stabilised earth materials analysed using 1-dimensional sharp wet front theory. Build. Environ. 2009, 44, 688–693. [Google Scholar] [CrossRef]
- Hall, M.; Allinson, D. Assessing the moisture-content-dependent parameters of stabilised earth materials using the cyclic-response admittance method. Energy Build. 2008, 40, 2044–2051. [Google Scholar] [CrossRef]
- Pagacz, J.; Pielichowski, K. Preparation and characterization of PVC/montmorillonite nanocomposites–A review. J. Vinyl Addit. Technol. 2009, 15, 61–76. [Google Scholar] [CrossRef]
- Arrigoni, A.; Grillet, A.-C.; Pelosato, R.; Dotelli, G.; Beckett, C.; Woloszyn, M.; Ciancio, D. Reduction of rammed earth’s hygroscopic performance under stabilisation: An experimental investigation. Build. Environ. 2017, 115, 358–367. [Google Scholar] [CrossRef]
- Grabowska-Olszewska, B. Geologia Stosowana; Właściwości Gruntów Nienasycoych; Wydawnictwo Naukowe PWN: Warszawa, Poland, 1998. [Google Scholar]
- Punmia, B.C.; Jain, A.K.; Jain, A.K. Soil Mechanics and Foundations; Laxmi Publications: New Delhi, India, 2005. [Google Scholar]
- Reddy, B.V. Stabilised soil blocks for structural masonry in earth construction. In Modern Earth Buildings; Materials, Engineering, Construction and Applications; Woodhead Publishing Limited: Cambridge, UK, 2012; pp. 324–363. [Google Scholar]
- Reddi, L.N.; Jain, A.K.; Yun, H.-B. Soil materials for earth construction properties, classification and suitability testing. In Modern Earth Buildings; Materials, Engineering, Construction and Applications; Woodhead Publishing Limited: Cambridge, UK, 2012; pp. 155–171. [Google Scholar]
- Houben, H.; Guillaud, H. Earth Construction: A Comprehensive Guide; Intermediate Technology Publications: London, UK, 1994. [Google Scholar]
- Yanguatin, H.; JTobón, J.; JRamírez, J. Pozzolanic reactivity of kaolin clays, a review. Revista Ingenieria de Construccion 2017, 32, 13–24. [Google Scholar] [CrossRef]
- Grim, R.E. Clay Mineralogy, International Series in the Earth and Planetary Sciences; Press, F., Ed.; McGraw-Hill Book Company: New York, NY, USA, 1968. [Google Scholar]
- Karpinski, B.; Szkodo, M. Clay minerals–mineralogy and phenomenon of clay swelling in oil & gas industry. Adv. Mater. Sci. Eng. 2015, 15, 37–55. [Google Scholar] [CrossRef]
- Kaczyński, R.; Grabowska-Olszewska, B. Soil mechanics of the potentially expansive clays in Poland. Appl. Clay Sci. 1997, 11, 337–355. [Google Scholar] [CrossRef]
- Seed, H.B.; Woodward, R.J.; Lundgren, R. Prediction of Swelling Potential for Compacted Clays. Trans. Am. Soc. Civ. Eng. 1962, 88, 53–88. [Google Scholar]
- Oliver, M.; Mesbah, A. The earth as a material. In Proceedings of the International Symposium on Modern Earth Construction, Peking, China, 1–4 November 1985. [Google Scholar]
- Borkowska, M.; Smulikowski, K. Mineraly Skałotworcze; Wydawnictwa Geologiczne: Warszawa, Poland, 1973; p. 165. [Google Scholar]
- Narloch, P.; Hassanat, A.; Tarawneh, A.S.; Anysz, H.; Kotowski, J.; Almohammadi, K. Predicting Compressive Strength of Cement-Stabilized Rammed Earth Based on SEM Images Using Computer Vision and Deep Learning. Appl. Sci. 2019, 9, 5131. [Google Scholar] [CrossRef]
- Narloch, P.L. Ziemia Ubijana Stabilizowana Cementem Jako Konstrukcyjny Materiał Budowlany w Klimacie Umiarkowanym. Ph.D. Thesis, Warsaw University of Technology, Warsaw, Poland, 2017. [Google Scholar]
- Narloch, P.L.; Lidner, M.; Kunicka, M.; Bielecki, M. Flexural tensile strength of construction elements made out of cement stabilized rammed earth. Procedia Eng. 2015, 111, 589–595. [Google Scholar] [CrossRef]
- Narloch, P.L.; Woyciechowski, P.P.; Dmowska, E.; Halemba, K. Durability assessment of monolithic rammed earth walls. Arch. Civ. Eng. 2015, 61, 73–88. [Google Scholar] [CrossRef]
- Kariyawasam, K.K.G.K.D.; Jayasinghe, C. Cement stabilized rammed earth as a sustainable construction material. Constr. Build. Mater. 2016, 105, 519–527. [Google Scholar] [CrossRef]
- Rempel, A.W.; Rempel, A.R. Frost Resilience of Stabilized Earth Building Materials. Geosciences 2019, 9, 328. [Google Scholar] [CrossRef]
- Firląg, S.; Piasecki, M. NZEB Renovation Definition in a Heating Dominated Climate: Case Study of Poland. Appl. Sci. 2018, 8, 1605. [Google Scholar] [CrossRef]
- Rahmat, M.R.; Ismail, N. Effect of optimum compaction moisture content formulations on the strength and durability of sustainable stabilised materials. Appl. Clay Sci. 2018, 157, 257–266. [Google Scholar] [CrossRef]
- Hall, M.; Djerbib, Y. Rammed earth sample production: Context, recommendations and consistency. Constr. Build. Mater. 2004, 18, 281–286. [Google Scholar] [CrossRef]
- NZS 4298. Materials and Workmanship for Earth Buildings; Standards New Zealand: Wellington, New Zealand, 1998.
- PN-B-04481:1988. Grunty Budowlane—Badania Próbek Gruntu; Polski Komitet Normalizacyjny: Warszawa, Poland, 1988.
- BS EN 12390-3. Testing Hardened Concrete; Compressive Strength of Test Specimens; British Standards Institution: London, UK, 2019.















| Loam Symbol | Montmorillonite | Beidellite | Kaolinite | Illite | Goethite | Siderite | Calcite | Organic Substance | Quartz and Others |
|---|---|---|---|---|---|---|---|---|---|
| II | - | 8.6 | 1.3 | 2.8 | 1.0 | - | 22.7 | 0.6 | 63.0 |
| VII | - | 8.6 | 4.7 | - | 3.0 | 2.8 | - | 1.3 | 79.6 |
| XI | - | 8.9 | 3.1 | 29.8 | - | 4.1 | - | - | 54.1 |
| III | - | 21.7 | 6.1 | - | 3.0 | - | 43 | 0.3 | 25.9 |
| IV | - | - | 72.7 | - | 1.0 | - | - | 0.4 | 25.9 |
| V | - | - | 79.8 | - | - | - | - | 0.5 | 19.7 |
| X | 10 | 18.1 | 27.2 | 11.3 | - | 4.3 | - | 1.4 | 27.6 |
| Particle Size Distribution | Loam Symbol | (%) Mass of Loam | (%) Mass of Silt and Sand Fractions | (%) Mass of Gravel | |||||
|---|---|---|---|---|---|---|---|---|---|
| FSi | MSi | CSi | FSa | MSa | CSa | FGr | |||
| (0.002; 0063) (mm) | (0.0063; 0.02) (mm) | (0.02; 0.063) (mm) | (0.063; 0.2) (mm) | (0.2; 0.63) (mm) | (0.63; 2.0) (mm) | (2.0; 4.0) (mm) | |||
| LC | II | 30.1 | 0.0 | 1.9 | 1.0 | 0.0 | 27.7 | 9.2 | 30.0 |
| VII | 25.8 | 3.0 | 1.5 | 0.3 | 3.2 | 28.4 | 7.7 | 30.0 | |
| XI | 11.3 | 3.0 | 5.3 | 5.3 | 5.8 | 29.4 | 9.9 | 30.0 | |
| MC | III | 30.9 | 3.8 | 1.6 | 0.2 | 1.8 | 24.6 | 7.1 | 30.0 |
| IV | 29.8 | 0.0 | 0.2 | 2.3 | 4.0 | 25.7 | 7.9 | 30.0 | |
| V | 26.3 | 0.1 | 2.7 | 2.9 | 4.1 | 25.8 | 8.1 | 30.0 | |
| X | 25.2 | 2.9 | 1.8 | 1.8 | 4.3 | 25.9 | 8.1 | 30.0 | |
| Constituent | % by Weight |
|---|---|
| SiO2 | 20.6 |
| Al2O3 | 6.2 |
| Fe2O3 | 2.9 |
| CaO | 64 |
| MgO | 1.4 |
| Na2O | 0.7 |
| SO3 | 2.5 |
| N2O | 0.05 |
| Cl- | 0.04 |
| Loss of ignition | 2.5 |
| Mixture Symbol | Particle Size Distribution Curve | Loam Used in the Mixture | Water Content (%) | Cement Addition (%) |
|---|---|---|---|---|
| LC II 6% | II | 7 | 6 | |
| LC II 9% | 9 | |||
| LC VII 6% | LC | VII | 6 | |
| LC VII 9% | 9 | |||
| LC XI 6% | XI | 6 | ||
| LC XI 9% | 9 | |||
| MC III 6% | MC | III | 8 | 6 |
| MC III 9% | 9 | |||
| MC IV 6% | IV | 6 | ||
| MC IV 9% | 9 | |||
| MC V 6% | V | 6 | ||
| MC V 9% | 9 | |||
| MC X 6% | X | 6 | ||
| MC X 9% | 9 |
| Mixture Symbol | Montmorillonite (%) | Beidellite (%) | Kaolinite (%) | Illite (%) | Goethite (%) | Siderite (%) | Calcite (%) | Organic Substance (%) | Quartz and Others (%) | Cement Addition (%) | Water Content (%) | Compressive Strength (MPa) |
|---|---|---|---|---|---|---|---|---|---|---|---|---|
| LC II 6% | 0.0 | 2.6 | 0.4 | 0.8 | 0.3 | 0.0 | 6.8 | 0.2 | 88.9 | 6 | 7 | 6.43 |
| LC II 9% | 9 | 14.09 | ||||||||||
| LC VII 6% | 0.0 | 2.3 | 1.2 | 0.0 | 0.8 | 0.7 | 0.0 | 0.3 | 94.6 | 6 | 7 | 11.07 |
| LC VII 9% | 9 | 13.54 | ||||||||||
| LC XI 6% | 0.0 | 1.8 | 0.4 | 2.7 | 0.0 | 0.5 | 0.0 | 0.0 | 94.6 | 6 | 7 | 8.01 |
| LC XI 9% | 9 | 13.26 | ||||||||||
| MC III 6% | 0.0 | 6.6 | 1.9 | 0.0 | 0.9 | 0.0 | 13.1 | 0.1 | 77.3 | 6 | 8 | 6.96 |
| MC III 9% | 9 | 8.76 | ||||||||||
| MC IV 6% | 0.0 | 0.0 | 21.8 | 0.0 | 0.3 | 0.0 | 0.0 | 0.1 | 77.8 | 6 | 8 | 4.51 |
| MC IV 9% | 9 | 5.63 | ||||||||||
| MC V 6% | 0.0 | 0.0 | 21.1 | 0.0 | 0.0 | 0.0 | 0.0 | 0.1 | 78.7 | 6 | 8 | 4.30 |
| MC V 9% | 9 | 5.45 | ||||||||||
| MC X 6% | 3.0 | 4.1 | 6.9 | 2.9 | 0.0 | 1.1 | 0.0 | 0.4 | 81.7 | 6 | 8 | 3.60 |
| MC X 9% | 9 | 4.27 | ||||||||||
| Legend (%) | 0.1–1 | 1–5 | 5–10 | 10–25 | >25 |
© 2020 by the authors. Licensee MDPI, Basel, Switzerland. This article is an open access article distributed under the terms and conditions of the Creative Commons Attribution (CC BY) license (http://creativecommons.org/licenses/by/4.0/).
Share and Cite
Narloch, P.; Woyciechowski, P.; Kotowski, J.; Gawriuczenkow, I.; Wójcik, E. The Effect of Soil Mineral Composition on the Compressive Strength of Cement Stabilized Rammed Earth. Materials 2020, 13, 324. https://doi.org/10.3390/ma13020324
Narloch P, Woyciechowski P, Kotowski J, Gawriuczenkow I, Wójcik E. The Effect of Soil Mineral Composition on the Compressive Strength of Cement Stabilized Rammed Earth. Materials. 2020; 13(2):324. https://doi.org/10.3390/ma13020324
Chicago/Turabian StyleNarloch, Piotr, Piotr Woyciechowski, Jakub Kotowski, Ireneusz Gawriuczenkow, and Emilia Wójcik. 2020. "The Effect of Soil Mineral Composition on the Compressive Strength of Cement Stabilized Rammed Earth" Materials 13, no. 2: 324. https://doi.org/10.3390/ma13020324
APA StyleNarloch, P., Woyciechowski, P., Kotowski, J., Gawriuczenkow, I., & Wójcik, E. (2020). The Effect of Soil Mineral Composition on the Compressive Strength of Cement Stabilized Rammed Earth. Materials, 13(2), 324. https://doi.org/10.3390/ma13020324

