Abstract
In this study, we investigated the effect of zirconium content on lead-free barium zirconate titanate (BZT) (Ba(ZrxTi1−x)O3, with x = 0.00, 0.01, 0.03, 0.05, and 0.08), which was prepared by the sol–gel method. A single-phase perovskite BZT was obtained under calcination and sintering conditions at 1100 °C and 1300 °C. Ferroelectric measurements revealed that the Curie temperature of BaTiO3 was 399 K, and the transition temperature decreased with increasing zirconium content. At the Curie temperature, Ba(Zr0.03Ti0.97)O3 with a dielectric constant of 19,600 showed the best performance in converting supplied mechanical vibration into electrical power. The experiments focused on piezoelectric activity at a low vibrating frequency, and the output power that dissipated from the BZT system at 15 Hz was 2.47 nW (30 MΩ). The prepared lead-free sol–gel BZT is promising for energy-harvesting applications considering that the normal frequencies of ambient vibration sources are less than 100 Hz.
1. Introduction
Lead zirconate titanate (PZT, Pb(ZrxTi1−x)O3), a lead-based material with a high piezoelectric coefficient and electromechanical coupling factor, is one of the most promising materials for use in fabricated energy-harvesting devices [1,2,3] because its perovskite structure exhibits dielectric, ferroelectric, and piezoelectric properties [2,3]. However, PZT is toxic to the environment. Therefore, innovative lead-free dielectric materials with piezoelectric properties have been formulated to address this environmental issue. Among these materials is BaTiO3, which is a well-known material possessing a perovskite structure with high dielectric properties, a low dielectric loss tangent, and dielectric reliability [4,5,6,7].
BaTiO3 can be modified by doping it with additives such as Sr2+, Ca2+, Sn4+, and Zr4+ [4]. Doping BaTiO3 with ZrO2 can improve the dielectric and piezoelectric properties because the chemical stability of Zr4+ is greater than that of Ti4+ [4,5,6,7]. In addition, the Curie temperature also changes; that is, it decreases as the Zr content increases [5,6,7,8].
BaTiO3 can be used in tunable capacitor devices and dynamic random-access memory applications. Moreover, it is also applied in actuators and energy storage devices because the strain that is induced by the electric field retains dipole moment behavior and energy storage properties [7,9,10]. Lui et al. prepared BaTi0.7Zr0.3O3 ceramic by spark plasma sintering. The maximum energy storage density of the ceramic was determined to be 0.51 J/cm3 [9]. Moreover, Puli et al. investigated the energy storage of barium calcium titanate (BCT) ceramic and obtained a high energy density (0.24 J/cm3) [10].
There are various kinds of energy harvesters, including thermoelectric, electromagnetic, electrostatic, and piezoelectric. Of these methods, piezoelectric energy harvesting is very attractive for the system’s small size, high output power, and ease of operation [11,12,13].
In this study, we investigated the crystal structure, dielectric properties, phase transition, and the degree of diffuseness of lead-free barium zirconate titanate (BZT) ceramics with various Zr contents. Additionally, the energy conversion behavior resulting from the modification of BZT was examined. These materials might lead to a reduction in the use of the lead-based bulky ceramics that are usually required in applications.
2. Materials and Methods
Ba(ZrxTi1−x)O3 (x = 0.00, 0.01, 0.03, 0.05, and 0.08) was prepared by the sol–gel method. Barium acetate (HIMEDIA®, Mumbai, MH, India, 99.0%), zirconium(IV) propoxide (Sigma-Aldrich®, St. Louis, MO, USA, 70 wt.% in 1-propanol), and titanium(IV) isopropoxide (Sigma-Aldrich®, St. Louis, MO, USA, were used as the reagents. Glacial acetic acid (Merck, Darmstadt, HE, Germany, 100%) and 2-methoxyethanol (Ajex Finechem Pty Ltd, Taren Point, NSW, Australia) were used as solvents in the sol–gel method following Jiwei et al. [14]. The procedure has been reported elsewhere [15,16]. The gels were dried in an oven for 24 h. All dried gels were calcined at 1100 °C for 2 h in alumina crucibles. The BZT powder was ball-milled in ethanol milling media (Merck, Ethanol Absolute, Darmstadt, HE, Germany) for 24 h (200 rpm) by using a high-energy planetary ball mill (Retsch PM100, Haan, NW, Germany). The milled powders were blended with a small amount of polyvinyl alcohol (PVA) to form discs (diameter 13 mm) at 100 MPa. All the green bodies were sintered at 1300 °C for 2 h in closed alumina crucibles. The upper and lower surfaces of the sintered ceramics were covered by silver paste and then calcined at 600 °C for 0.5 h for use as electrodes for the dielectric measurements.
The dielectric properties and ferroelectric phase transitions of all samples were characterized at 25–150 °C (at 1 kHz) by an LCR meter (Hewlett Packard 4263 B, Mississauga, ON, Canada). The crystalline structure of BZT was determined by X-ray diffraction (XRD, PHILLIPS X’pert MPD, Almelo, OV, Netherlands) with Ni-filtered CuKα radiation. The XRD analysis was performed at room temperature (20° ≤ 2θ ≤ 77°) with a step size of 0.02°. The bulk densities of the sintered BZT discs were measured in accordance with the Archimedes method. Thermal analysis of the dried BZT gels was performed by differential thermal analysis (DTA, Perkin Elmer DTA7, Norwalk, CT, USA) and thermogravimetric analysis (TGA, Perkin Elmer TGA7, Norwalk, CT, USA). The thermal analysis results were collected from 50 °C to 1300 °C at a rate of 10° C/min. Surface microstructures were observed using scanning electron microscopy (SEM, quanta400, Thermo Fisher Scientific, Brno, JM, Czech Republic) with an accelerating voltage of 20 kV and 3000× magnification. The grain sizes were analyzed by averaging over the total number of grains in the SEM images.
3. Results and Discussion
The TGA and DTA results in Figure 1 show three mechanisms. First, the endothermic reaction observed in the temperature range of 25–200 °C is associated with the dehydration of the dried BZT gels, as observed by the mass loss of about 20%. Second, in the temperature range of 200–650 °C, a major mass loss occurs with the emission of CO2, solvents, and organic compounds because of the thermal disintegration of the polymeric dried gels and primary synthesis of Ba(ZrxTi1−x)O3 via BaCO3–TiO2 and BaCO3–ZrO2 core–shell particles [17,18,19]. Third, the exothermic peak in the range of 650–1200 °C exhibits a slight weight loss that can be attributed to Ba(ZrxTi1−x)O3 crystallization and the subsequent formation of the perovskite structure. This final mechanism is due to the decarbonation of BaCO3 to react with TiO2 and ZrO2. For these results, it is worth noting that although the calcination process is typically performed at temperatures as low as 650 °C, the calcination temperature used in this work was 1100 °C [15,16] to ensure the formation of the pure perovskite structure of Ba(ZrxTi1−x)O3 without secondary phases, as seen in the following XRD result (Figure 2). Calcination at a temperature above 1100 °C should not be undertaken, because of the agglomeration and enlargement of Ba(ZrxTi1−x)O3 particles. The compression of large calcined particles might result in a low bulk density of the sintered ceramics [20,21]. Table 1 presents the measurable bulk density of sintered Ba(ZrxTi1−x)O3. The relative density of all samples is 93.5% ± 0.21%. The addition of zirconium does not affect density [8]. A sintering temperature of 1300 °C is sufficient to fuse the as-calcined Ba(ZrxTi1−x)O3 powders, and a calcination temperature of 1100 °C has an insignificant effect on the bulk density. The XRD patterns of sintered Ba(ZrxTi1−x)O3 ceramics (with x = 0.00, 0.01, 0.03 0.05, and 0.08) are shown in Figure 2. The structure of all Ba(ZrxTi1−x)O3 ceramics is a pure perovskite phase without an impurity phase. With the addition of Zr, the peak shifts to a lower angle because the ionic radius of Zr4+ (0.079 nm) is larger than that of Ti4+ (0.068 nm) [5]. It is clear that the tetragonal phase of BaTiO3 ceramic is characterized by the splitting of the (0 0 2) and (2 0 0) diffraction peaks at 44.93° and 45.40°, respectively (the calculated values of the cell parameters of BaTiO3 are (a ~ 3.9906 Å, c ~ 4.0301 Å), respectively). As the zirconium content increases, the two diffraction peaks merge into one peak. This corresponds with the change in the structure of the BZT system from tetragonal to orthorhombic at room temperature, as previously reported by [4,6,22]. According to, the separation of (1 3 3) and (3 1 1) diffraction peaks of Ba(Zr0.03Ti0.07)O3 occurs at diffraction angles of 74.63° and 74.91°, respectively; upon the addition of 5 mol.% zirconium content, a single diffraction peak is observed. This is caused by the structure transforming from orthorhombic to rhombohedral [4,6]. It is concluded that the increased zirconium content changes the structure of BZT ceramic from tetragonal to rhombohedral, which is confirmed by the gradual merging of XRD peaks [6,8,21]. Finally, the dense ceramic discs exhibit large grains and a small proportion of fine grains with pores. The grains are irregular in shape, with an average grain size of 10–30 µm, because the initial size of the powder is changed by the ball milling process [20,21], as shown in Figure 3.
Figure 1.
TGA and DTA plots for Ba(ZrxTi1−x)O3 samples with x composition of (a) 0.00, (b) 0.01, (c) 0.03, (d) 0.05 and (e) 0.08 mol.
Figure 2.
XRD patterns of the Ba(ZrxTi1−x)O3 ceramics.
Table 1.
Relative density, the values of the dielectric constant (εr) at Tm (1 kHz), dielectric loss (tanδ) at Tm (1 kHz), Curie–Weiss temperature (T0), Curie–Weiss constant (C), Curie–Weiss law temperature (Tcw), Tm, ΔTm, and γ for all x values of Ba(ZrxTi1−x)O3.
Figure 3.
SEM images of the sintered Ba(ZrxTi1−x)O3 ceramics.
The relative permittivity (εr) or dielectric constant and dielectric loss (tan δ) at Tm (1 kHz) are listed in Table 1. The dielectric constant increases with zirconium content until it reaches 3 mol.%. Ba(Zr0.03Ti0.07)O3 ceramic has the highest dielectric constant, which is reduced when zirconium reaches 5 mol.%. The dielectric loss of all BZT ceramics depends on the zirconium content and ranges from 0.072 to 0.0392, similar to the results of our previous work [15].
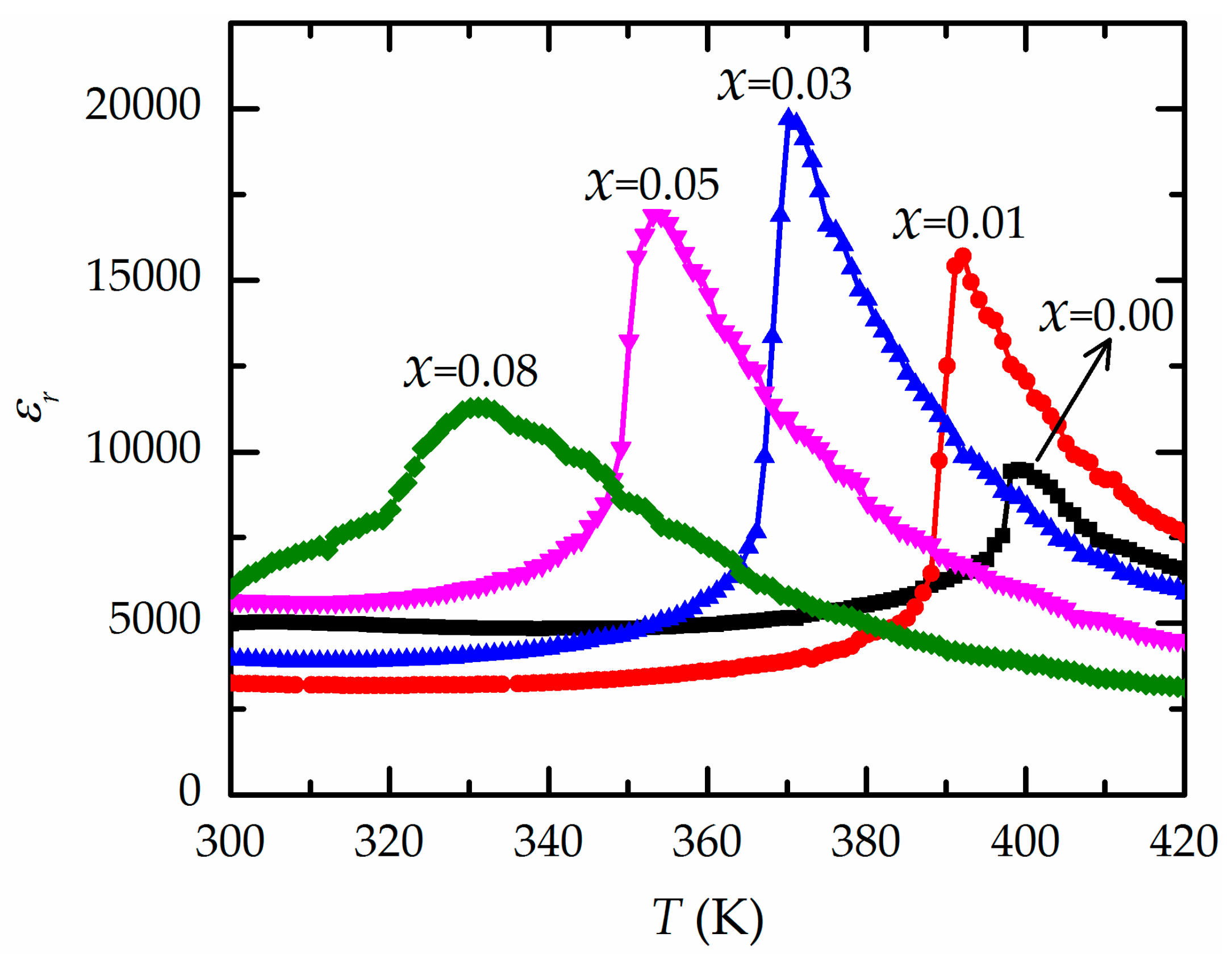
Figure 4 presents the values of the relative permittivity (εr) or dielectric constant measured at 1 kHz for the Ba(ZrxTi1−x)O3 samples. The position of each dielectric peak moves to a higher temperature with the addition of Zr, which ranges from 0 to 3 mol.%. For x = 0.08, the dielectric peak is broad because of the inhomogeneous distribution of Zr4+ ions in the Ti sites and the non-uniform stress in the grains [8,23]. The highest dielectric constant is 19,600 for Ba(Zr0.03Ti0.97)O3. Further increases in Zr content cause a decrease in the temperature Tm with the maximum dielectric value (Table 1), as described in the literature [6,8]. This is the result of the increased substitution of the Zr4+ ion in the B sites of BaTiO3, causing a change in the d-spacing of the Ba(ZrxTi1−x)O3 structure [6,16] and resulting in a decrease in the phase transition temperature or Tm [8,22]. For low Zr content (x < 0.15), at the apex of the dielectric curve, Tm can be considered the Curie temperature (Tc) [21]. A rapid increase in the εr value occurs near Tc because the BZT structure is thermally excited to a tetragonal–cubic intermediate phase (ferroelectric–paraelectric phase transition) when the temperature changes to Tm. This results in a large degree of unstable polarization, and consequently, an applied electric field can easily produce considerable variation in polarization [24]. The decrease in the dielectric constant above Tc is caused by the thermal detriment of polarization alignment [24,25].
Figure 4.
Relationships between the dielectric constant (εr) and temperature for all samples of Ba(ZrxTi1−x)O3 ceramics.
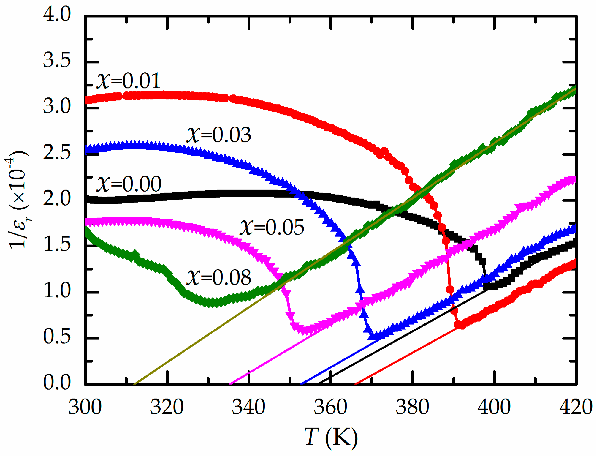
Because BZT ceramic is classified as a ferroelectric material, the dielectric characteristic of BZT above the Curie temperature corresponds to the Curie–Weiss law: 1/εr = (T − T0)/C (T > Tc), where T0 and C are the Curie–Weiss temperature and constant, respectively. For all analyzed BZT compositions, the inverse εr versus temperature data were fitted to the Curie–Weiss law, as shown in Figure 5. The T0 fitting parameters are listed in Table 1. It is clear that the reciprocal εr value follows the Curie–Weiss law for T > Tm. The divergence of the reciprocal εr value from the Curie–Weiss law is defined as ∆Tm = Tcw − Tm, where Tcw is the temperature at which the value of the reciprocal εr value begins to diverge from the Curie–Weiss law. From the results in Table 1, the ∆Tm value increases with Zr content because of the influence of the Zr4+ ions on the shift in the ferroelectric–paraelectric transition temperature of BZT [5,6,26].
Figure 5.
Relationships between the temperature and the inverse dielectric constant at 1 kHz for all the Ba(ZrxTi1−x)O3 ceramics.
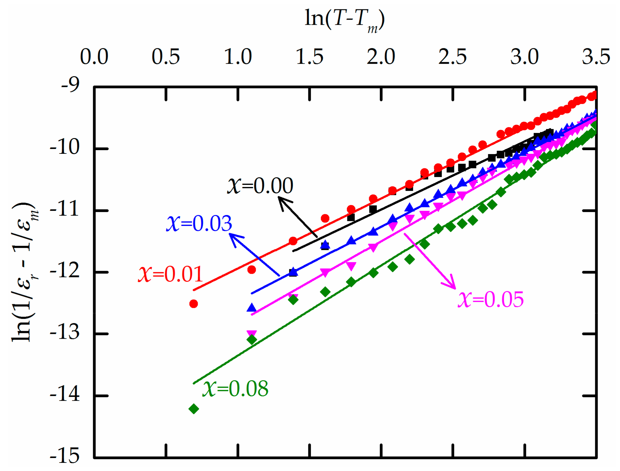
The degree of diffuseness of the phase transition can be formulated by a modified Curie–Weiss law [27]:
where γ and C* are constants derived from fitting the experimental data. The γ value provides information about the behavior of ferroelectric materials. For a normal ferroelectric, γ = 1. For an ideal ferroelectric relaxor associated with quadratic dependence, γ = 2. Figure 6 shows the plot of ln(1/εr − 1/εm) against ln(T − Tm) at 1 kHz. The fitted γ values (Table 1) show that the higher the Zr content, the higher the diffuse phase transition, as reported in previous works [6,8]. Consequently, the inclusion of the diffusive Zr4+ ion in the octahedral site of the perovskite structure causes the common ferroelectric to transform into a ferroelectric relaxor [9,28]. The dielectric losses of all the BZT ceramics range from 1% to 5%. It is clear that the dielectric losses show the same trends with increasing temperature.
Figure 6.
Linear relationships between ln(1/εr − 1/εm) and ln(T − Tm) for all x values.
Each sample was investigated for the capability of energy conversion, as described by Sukwisute et al. [1]. Each disc (thickness ~ 1 mm) was rigidly glued onto a vibrating structure at a constant operating frequency of 15 Hz. Varying resistors were connected to each disc, and the potential in the circuit was measured to calculate the output power according to Pac = V2/R, where V is the potential and R is the resistance. The calculated values are summarized in Table 2. The Ba(Zr0.03Ti0.97)O3 ceramic shows the capability of energy conversion of the supplied mechanical vibration to electrical power. This is attributed to the highest dielectric constants and the transformation of the common ferroelectric to a relaxor ferroelectric, as reported previously [9,28]. In previous work, Rukbamrung et al. used the standard harvesting approach to determine the energy-harvesting ability of PZT + 1 mol.% Mn and PMN-25PT, and they obtained a power of 1.7 and 4.5 µW [2]. The BZT ceramics in our study can be operated at the low frequencies used in daily activities, such as walking and running. In addition, the normal frequencies of ambient vibration sources are much less than 100 Hz [11,12]. From this practical viewpoint, BZT ceramic can be very useful in low-frequency energy-harvesting devices.
Table 2.
Output power dissipated from the barium zirconate titanate (BZT) system.
4. Conclusions
Ba(ZrxTi1−x)O3 ceramics with various zirconium contents (x = 0.00, 0.01, 0.03, 0.05, and 0.08) were produced by the sol–gel method. A single-phase perovskite BZT was obtained under calcination and sintering conditions at 1100 °C and 1300 °C. All BZT samples had a pure perovskite structure without a secondary phase. The crystal structure changed with the zirconium content. Ferroelectric measurements of the ceramics showed that the Curie temperature of BaTiO3 was 399 K, and further increases in the zirconium content decreased the Curie temperature to 331 K. At the phase transition, Ba(Zr0.03Ti0.97)O3 had the highest dielectric constant of 19,600 and exhibited good performance in converting supplied mechanical vibration to electrical power. Thus, Ba(Zr0.03Ti0.97)O3 is promising for mechanical energy-to-electrical energy coupling at low frequencies, with no damage observed at high temperatures.
Author Contributions
N.B. performed the experiments, characterization, data analysis, research discussion and manuscript preparation. P.S. and N.M. provided the supervision and research discussion. N.B., P.S., N.M. and S.N. reviewed the manuscript. All authors have read and agreed to the published version of the manuscript.
Funding
This research was supported by the Faculty of Science and Technology, Princess of Naradhiwas University, Thailand.
Acknowledgments
The authors are profoundly grateful to the Faculty of Science and Technology, Princess of Naradhiwas University, the Faculty of Science, King Mongkut’s Institute of Technology Ladkrabang, and the Department of Physics and the Center of Excellence in Nanotechnology for Energy at the Prince of Songkla University for equipment and other support.
Conflicts of Interest
The authors declare no conflict of interest.
References
- Sukwisute, P.; Muensit, N.; Soontaranon, S.; Rugmai, S. Micropower energy harvesting using poly (vinylidene fluoride hexafluoropropylene). Appl. Phys. Lett. 2013, 103, 063905. [Google Scholar] [CrossRef]
- Rakbamrung, P.; Lallart, M.; Guyomar, D.; Muensit, N.; Thanachayanont, C.; Lucat, C.; Guiffard, B.; Petit, L.; Sukwisut, P. Performance comparison of PZT and PMN-PT piezoceramics for vibration energy harvesting using standard or nonlinear approach. Sens. Actuators A Phys. 2010, 163, 493–500. [Google Scholar] [CrossRef]
- Lü, C.; Zhang, Y.; Zhang, H.; Zhang, Z.; Shen, M.; Chen, Y. Generalized optimization method for energy conversion and storage efficiency of nanoscale flexible piezoelectric energy harvesters. Energy Convers. Manag. 2019, 182, 34–40. [Google Scholar]
- Acosta, M.; Novak, N.; Rojas, V.; Patel, S.; Vaish, R.; Koruza, J.; Rossetti, G.A.; Rödel, J. BaTiO3-based piezoelectrics: Fundamentals, current status, and perspectives. Appl. Phys. Rev. 2017, 4, 041305. [Google Scholar] [CrossRef]
- Shen, B.; Zhang, Q.; Zhai, J.; Xu, Z. DC field effect on dielectric property of Ba (ZrxTi1−x) O3 ceramics. Ceram. Int. 2013, 39, S9–S13. [Google Scholar] [CrossRef]
- Kuang, S.J.; Tang, X.G.; Li, L.Y.; Jiang, Y.P.; Liu, Q.X. Influence of Zr dopant on the dielectric properties and Curie temperatures of Ba(ZrxTi1−x)O3 (0 ≤ x ≤ 0.12) ceramics. Scr. Mater. 2009, 61, 68–71. [Google Scholar] [CrossRef]
- Yang, L.; Kong, X.; Li, F.; Hao, H.; Cheng, Z.; Liu, H.; Li, J.-F.; Zhang, S. Perovskite lead-free dielectrics for energy storage applications. Prog. Mater. Sci. 2019, 102, 72–108. [Google Scholar] [CrossRef]
- Julphunthong, P.; Chootin, S.; Bongkarn, T. Phase formation and electrical properties of Ba (ZrxTi1−x) O3 ceramics synthesized through a novel combustion technique. Ceram. Int. 2013, 39, S415–S419. [Google Scholar] [CrossRef]
- Liu, B.; Wu, Y.; Huang, Y.H.; Song, K.X.; Wu, Y.J. Enhanced dielectric strength and energy storage density in BaTi0.7Zr0.3 O3 ceramics via spark plasma sintering. J. Mater. Sci. 2019, 54, 4511–4517. [Google Scholar] [CrossRef]
- Puli, V.S.; Pradhan, D.K.; Riggs, B.C.; Chrisey, D.B.; Katiyar, R.S. Investigations on structure, ferroelectric, piezoelectric and energy storage properties of barium calcium titanate (BCT) ceramics. J. Alloys Compd. 2014, 584, 369–373. [Google Scholar] [CrossRef]
- Dhakar, L.; Liu, H.; Tay, F.E.H.; Lee, C. A new energy harvester design for high power output at low frequencies. Sens. Actuators A Phys. 2013, 199, 344–352. [Google Scholar] [CrossRef]
- Selvan, K.V.; Muhammad, M.S. Micro-scale energy harvesting devices: Review of methodological performances in the last decade. Renew. Sust. Energ. Rev. 2016, 54, 1035–1047. [Google Scholar] [CrossRef]
- Zhang, X.; Gao, S.; Li, D.; Jin, L.; Wu, Q.; Liu, F. Frequency up-converted piezoelectric energy harvester for ultralow-frequency and ultrawide-frequency-range operation. Appl. Phys. Lett. 2018, 112, 163902. [Google Scholar] [CrossRef]
- Jiwei, Z.; Xi, Y.; Liangying, Z.; Bo, S.; Chen, H. Orientation control and dielectric properties of sol–gel deposited Ba(Ti, Zr)O3 thin films. J. Cryst. Growth 2004, 262, 341–347. [Google Scholar] [CrossRef]
- Binhayeeniyi, N.; Sukvisut, P.; Thanachayanont, C.; Muensit, S. Physical and electromechanical properties of barium zirconium titanate synthesized at low-sintering temperature. Mater. Lett. 2010, 64, 305–308. [Google Scholar] [CrossRef]
- Thanachayanont, C.; Yordsri, V.; Kijamnajsuk, S.; Binhayeeniyi, N.; Muensit, N. Microstructural investigation of sol–gel BZT powders. Mater. Lett. 2012, 82, 205–207. [Google Scholar] [CrossRef]
- Wang, Z.; Zhao, K.; Guo, X.; Sun, W.; Jiang, H.; Han, X.; Tao, X.; Cheng, Z.; Zhao, H.; Kimura, H.; et al. Crystallization, phase evolution and ferroelectric properties of sol-gel-synthesized Ba(Ti0.8Zr0.2)O3–x(Ba0.7Ca0.3)TiO3 thin films. J. Mater. Chem. C 2013, 1, 522–530. [Google Scholar] [CrossRef]
- Buscaglia, M.T.; Buscaglia, V.; Alessio, R. Coating of BaCO3 crystals with TiO2: Versatile approach to the synthesis of BaTiO3 tetragonal nanoparticles. Chem. Mater. 2007, 19, 711–718. [Google Scholar] [CrossRef]
- Mochizuki, Y.; Tsubouchi, N.; Sugawara, K. Synthesis of BaTiO3 nanoparticles from TiO2-coated BaCO3 particles derived using a wet-chemical method. J. Asian Ceram. Soc. 2014, 2, 68–76. [Google Scholar] [CrossRef]
- Maiwa, H. Electromechanical properties of Ba (Zr0.2Ti0.8) O3 ceramics prepared by spark plasma sintering. Ceram. Int. 2012, 38, S219–S223. [Google Scholar] [CrossRef]
- Xu, Q.; Zhan, D.; Huang, D.P.; Liu, H.X.; Chen, W.; Zhang, F. Dielectric inspection of BaZr0.2Ti0.8O3 ceramics under bias electric field: A survey of polar nano-regions. Mater. Res. Bull. 2012, 47, 1674–1679. [Google Scholar] [CrossRef]
- Hemeda, O.M.; Salem, B.I.; Abdelfatah, H.; Abdelsatar, G.; Shihab, M. Dielectric and ferroelectric properties of barium zirconate titanate ceramics prepared by ceramic method. Phys. B 2019, 574, 411680. [Google Scholar] [CrossRef]
- Tang, X.G.; Wang, J.; Wang, X.X.; Chan, H.L.W. Effects of grain size on the dielectric properties and tunabilities of sol-gel derived Ba (Zr0.2Ti0.8) O3 ceramics. Solid State Commun. 2004, 131, 163–168. [Google Scholar] [CrossRef]
- Xue, D.; Gao, J.; Zhou, Y.; Ding, X.; Sun, J.; Lookman, T.; Ren, X. Phase transitions and phase diagram of Ba(Zr0.2Ti 0.8)O3−x(Ba0.7Ca0.3)TiO3 Pb-free system by anelastic measurement. J. Appl. Phys. 2015, 117, 124107. [Google Scholar] [CrossRef]
- Trainer, M. Ferroelectrics and the Curie–Weiss law. Eur. J. Phys. 2000, 21, 459–464. [Google Scholar] [CrossRef]
- Sun, Z.; Li, L.; Zheng, H.; Yu, S.; Xu, D. Effects of sintering temperature on the microstructure and dielectric properties of BaZr0.2Ti0.8O3 ceramics. Ceram. Int. 2015, 41, 12158–12163. [Google Scholar] [CrossRef]
- Uchino, K.; Nomura, S. Critical exponents of the dielectric constants in diffused-phase-transition crystals. Ferroelectr. Lett. Sect. 1982, 44, 55–61. [Google Scholar] [CrossRef]
- Ahmad, M.M.; Alismail, L.; Alshoaibi, A.; Aljaafari, A.; Kotb, H.M.; Hassanien, R. Dielectric behavior of spark plasma sintered BaTi0.7Zr0.3O3 relaxor ferroelectrics. Results Phys. 2019, 15, 102799. [Google Scholar] [CrossRef]
© 2020 by the authors. Licensee MDPI, Basel, Switzerland. This article is an open access article distributed under the terms and conditions of the Creative Commons Attribution (CC BY) license (http://creativecommons.org/licenses/by/4.0/).





