Graphene as a Schottky Barrier Contact to AlGaN/GaN Heterostructures
Abstract
1. Introduction
2. Device Fabrication and Experimental Details
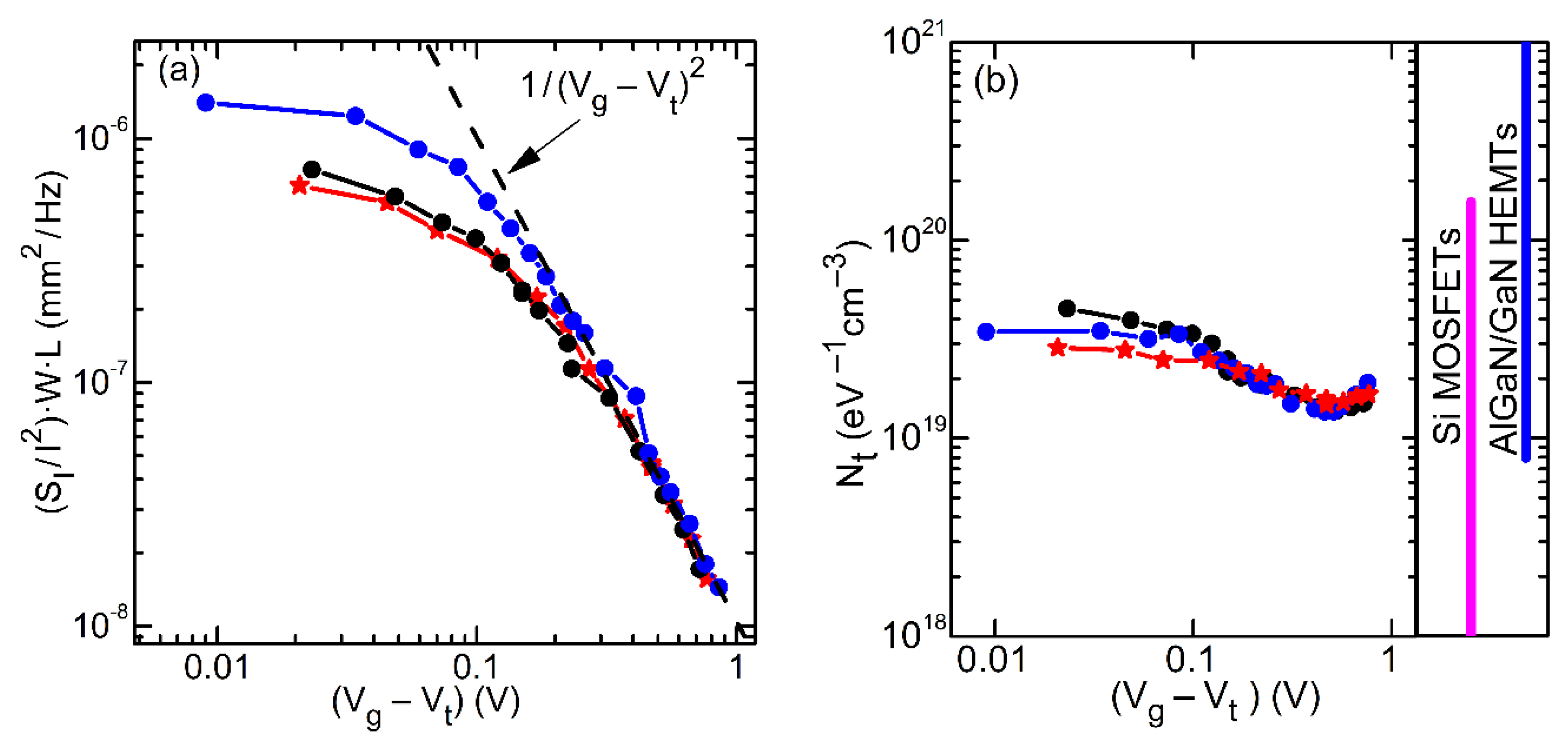
3. Results and Discussion
4. Conclusions
Author Contributions
Funding
Conflicts of Interest
References
- Morozov, S.V.; Novoselov, K.S.; Katsnelson, M.I.; Schedin, F.; Elias, D.C.; Jaszczak, J.A.; Geim, A.K. Giant Intrinsic Carrier Mobilities in Graphene and Its Bilayer. Phys. Rev. Lett. 2008, 100, 016602. [Google Scholar] [CrossRef]
- Bolotin, K.I. Electronic transport in graphene: Towards high mobility. In Graphene; Woodhead Publishing: Cambridge, UK, 2014; pp. 199–227. [Google Scholar] [CrossRef]
- Stolyarov, M.A.; Liu, G.; Rumyantsev, S.L.; Shur, M.; Balandin, A.A. Suppression of 1/f noise in near-ballistic h-BN-graphene-h-BN heterostructure field-effect transistors. Appl. Phys. Lett. 2015, 107, 023106. [Google Scholar] [CrossRef]
- Novoselov, K.S.; McCann, E.; Morozov, S.V.; Fal’ko, V.I.; Katsnelson, M.I.; Zeitler, U.; Jiang, D.; Schedin, F.; Geim, A.K. Unconventional quantum Hall effect and Berry’s phase of 2π in bilayer grapheme. Nat. Phys. 2006, 2, 177–180. [Google Scholar] [CrossRef]
- Balandin, A.A.; Ghosh, S.; Bao, W.; Calizo, I.; Teweldebrhan, D.; Miao, F.; Lau, C.N. Superior Thermal Conductivity of Single-Layer Graphene. Nano Lett. 2008, 8, 902–907. [Google Scholar] [CrossRef]
- Schedin, F.; Geim, A.K.; Morozov, S.V.; Hill, E.W.; Blake, P.; Katsnelson, M.I.; Novoselov, K.S. Detection of individual gas molecules adsorbed on grapheme. Nat. Mater. 2007, 6, 652–655. [Google Scholar] [CrossRef]
- Rumyantsev, S.; Liu, G.; Shur, M.S.; Potyrailo, R.A.; Balandin, A.A. Selective Gas Sensing with a Single Pristine Graphene Transistor. Nano Lett. 2012, 12, 2294–2298. [Google Scholar] [CrossRef]
- Wang, L.; Liu, W.; Zhang, Y.; Zhang, Z.H.; Tan, S.T.; Yi, X.; Wang, G.; Sun, X.; Zhu, H.; Demir, H.V. Graphene-based transparent conductive electrodes for GaN-based light emitting diodes: Challenges and countermeasures. Nano Energy 2015, 12, 419–436. [Google Scholar] [CrossRef]
- Li, J.; Harter, A.K.; Liu, J.; de Melo, L.; Joglekar, Y.N.; Luo, L. Observation of parity-time symmetry breaking transitions in a dissipative Floquet system of ultracold atoms. Nat. Commun. 2019, 10, 1–7. [Google Scholar] [CrossRef]
- Giannazzo, F.; Fisichella, G.; Greco, G.; Schilirò, E.; Deretzis, I.; Nigro, R.L.; Magna, A.L.; Roccaforte, F.; Locolano, F.; Verso, S.L.; et al. Fabrication and Characterization of Graphene Heterostructures with Nitride Semiconductors for High Frequency Vertical Transistors. Phys. Status Solidi A 2018, 215, 1700653. [Google Scholar] [CrossRef]
- Prystawko, P.; Giannazzo, F.; Krysko, M.; Smalc-Koziorowska, J.; Schilirò, E.; Greco, G.; Roccaforte, M.; Leszczynski, M. Growth and characterization of thin Al-rich AlGaN on bulk GaN as an emitter-base barrier for hot electron transistor. Mater. Sci. Semicond. Process. 2019, 93, 153–157. [Google Scholar] [CrossRef]
- Salgado, R.; Mohammadzadeh, A.; Kargar, F.; Geremew, A.; Huang, C.Y.; Bloodgood, M.A.; Rumyantsev, S.; Salguero, T.T.; Balandin, A.A. Low-frequency noise spectroscopy of charge-density-wave phase transitions in vertical quasi-2D 1T-TaS2 devices. Appl. Phys. Express 2019, 12, 037001. [Google Scholar] [CrossRef]
- Pandit, B.; Seo, T.H.; Ryu, B.D.; Cho, J. Current transport mechanism in graphene/AlGaN/GaN heterostructures with various Al mole fractions. AIP Adv. 2016, 6, 065007. [Google Scholar] [CrossRef]
- Tongay, S.; Lemaitre, M.; Schumann, T.; Berke, K.; Appleton, B.R.; Gila, B.; Hebard, A.F. Graphene/GaN Schottky diodes: Stability at elevated temperatures. Appl. Phys. Lett. 2011, 99, 102102. [Google Scholar] [CrossRef]
- Zhu, L.; Li, L.; Tao, R.; Fan, X.; Wan, X.; Zeng, C. Frictional Drag Effect between Massless and Massive Fermions in Single-Layer/Bilayer Graphene Heterostructures. Nano Lett. 2020, 20, 1396–1402. [Google Scholar] [CrossRef] [PubMed]
- Gribnikov, Z.S.; Vagidov, N.Z.; Mitin, V.V. Two-stream instability and oscillatory regimes induced in ballistic diodes and field-effect transistors. J. Appl. Phys. 2000, 88, 6736–6745. [Google Scholar] [CrossRef]
- Svimonishvili, T.; Bishofberger, K.; Faehl, R.J.; Carlsten, B.E. THZ radiation source based on two-stream instability. In Proceedings of the 2009 IEEE International Conference on Plasma Science-Abstracts, San Diego, CA, USA, 1–5 June 2009. [Google Scholar] [CrossRef]
- Backes, C.; Abdelkader, A.M.; Alonso, C.; Andrieux-Ledier, A.; Arenal, R.; Azpeitia, J.; Balakrishnan, N.; Banszerus, L.; Barjon, J.; Bartali, R.; et al. Production and processing of graphene and related materials. 2D Mater. 2020, 7, 022001. [Google Scholar] [CrossRef]
- Ciuk, T.; Pasternak, I.; Krajewska, A.; Sobieski, J.; Caban, P.; Szmidt, J.; Strupinski, W. Properties of Chemical Vapor Deposition Graphene Transferred by High-Speed Electrochemical Delamination. J. Phys. Chem. C 2013, 117, 20833–20837. [Google Scholar] [CrossRef]
- Cywiński, G.; Szkudlarek, K.; Kruszewski, P.; Yahniuk, I.; Yatsunenko, S.; Muzioł, G.; Skierbiszewski, C.; Knap, W.; Rumyantsev, S.L. Low frequency noise in two-dimensional lateral GaN/AlGaN Schottky diodes. Appl. Phys. Lett. 2016, 109, 033502. [Google Scholar] [CrossRef]
- Tongay, S.; Lemaitre, M.; Miao, X.; Gila, B.; Appleton, B.R.; Hebard, A.F. Rectification at Graphene-Semiconductor Interfaces: Zero-Gap Semiconductor-Based Diodes. Phys. Rev. X 2012, 2, 011002. [Google Scholar] [CrossRef]
- Christensson, S.; Lundström, I.; Svensson, C. Low frequency noise in MOS transistors—I Theory. Solid State Electron. 1968, 11, 797–812. [Google Scholar] [CrossRef]
- Takakura, K.; Putcha, V.; Simoen, E.; Alian, A.R.; Peralagu, U.; Waldron, N.; Parvais, B.; Collaert, N. Low frequency noise investigation of GaN/AlGaN Metal-Oxide-Semiconductor High-Electron-Mobility Transistor Field-Effect-Transistor with different gate length and orientation. IEEE Trans. Electron. Devices 2020, 67, 3062–3068. [Google Scholar] [CrossRef]
- Sai, P.; Jorudas, J.; Dub, M.; Sakowicz, M.; Jakštas, V.; But, D.B.; Prystawko, P.; Cywinski, G.; Kašalynas, I.; Knap, W.; et al. Low frequency noise and trap density in GaN/AlGaN field effect transistors. Appl. Phys. Lett. 2019, 115, 183501. [Google Scholar] [CrossRef]
- Im, K.S.; Reddy, M.S.; Caulmilone, R.; Theodorou, C.G.; Ghibaudo, G.; Cristoloveanu, S.; Lee, J.H. Low-Frequency Noise Characteristics of GaN Nanowire Gate-All-Around Transistors With/Without 2-DEG Channel. IEEE Trans. Electron. Devices 2019, 66, 1243–1248. [Google Scholar] [CrossRef]
- Simoen, E.; Mercha, A.; Pantisano, L.; Claeys, C.; Young, E. Low-frequency noise behavior of SiO/sub 2/--HfO/sub 2/ dual-layer gate dielectric nMOSFETs with different interfacial oxide thickness. IEEE Trans. Electron. Devices 2004, 51, 780–784. [Google Scholar] [CrossRef]
- Nguyen, T.; Valenza, M.; Martinez, F.; Neau, G.; Vildeuil, J.S.; Ribes, G.; Cosnier, V.; Skotnicki, T.; Müller, M. Gate and drain low frequency noise in HfO2 NMOSFETs. AIP Conf. Proc. 2005, 780, 235–238. [Google Scholar] [CrossRef]
- Magnone, P.; Crupi, F.; Giusi, G.; Pace, C.; Simoen, E.; Claeys, C.; Pantisano, L.; Maji, D.; Rao, V.R.; Srinivasan, P. 1/f Noise in Drain and Gate Current of MOSFETs With High-k Gate Stacks. IEEE Trans. Device Mater. Reliab. 2009, 9, 180–189. [Google Scholar] [CrossRef]
- Morshed, T.H.; Devireddy, S.P.; Celik-Butler, Z.; Shanware, A.; Green, K.; Chambers, J.J.; Visokay, M.R.; Colombo, L. Physics-based 1/f noise model for MOSFETs with nitrided high-κ gate dielectrics. Solid State Electron. 2008, 52, 711–724. [Google Scholar] [CrossRef]
- Srinivasan, P.; Crupi, F.; Simoen, E.; Magnone, P.; Pace, C.; Misra, D.; Claeys, C. Interfacial layer quality effects on low-frequency noise (1/f) in p-MOSFETs with advanced gate stacks Microelectronics Reliability. Elsevier 2007, 47, 501–504. [Google Scholar] [CrossRef]
- Devireddy, S.P.; Min, B.; Celik-Butler, Z.; Tseng, H.H.; Tobin, P.J.; Zlotnicka, A. Improved low frequency noise characteristics of sub-micron MOSFETs with TaSiN/TiN gate on ALD HfO2 dielectric. Microelectron. Reliab. 2007, 47, 1228–1232. [Google Scholar] [CrossRef]
- Chiu, C.H.; Yang, C.W.; Chen, C.H.; Wu, C.H. Quality of the Oxidation Interface of AlGaN in Enhancement-Mode AlGaN/GaN High-Electron Mobility Transistors. IEEE Trans. Electron. Devices 2012, 59, 3334–3338. [Google Scholar] [CrossRef]
- Pala, N.; Gaska, R.; Rumyantsev, S.; Shur, M.S.; Khan, M.A.; Hu, X.; Simin, G.; Yang, J. Low-frequency noise in AlGaN/GaN MOS-HFETs. Electron. Lett. 2000, 36, 268–270. [Google Scholar] [CrossRef]







© 2020 by the authors. Licensee MDPI, Basel, Switzerland. This article is an open access article distributed under the terms and conditions of the Creative Commons Attribution (CC BY) license (http://creativecommons.org/licenses/by/4.0/).
Share and Cite
Dub, M.; Sai, P.; Przewłoka, A.; Krajewska, A.; Sakowicz, M.; Prystawko, P.; Kacperski, J.; Pasternak, I.; Cywiński, G.; But, D.; et al. Graphene as a Schottky Barrier Contact to AlGaN/GaN Heterostructures. Materials 2020, 13, 4140. https://doi.org/10.3390/ma13184140
Dub M, Sai P, Przewłoka A, Krajewska A, Sakowicz M, Prystawko P, Kacperski J, Pasternak I, Cywiński G, But D, et al. Graphene as a Schottky Barrier Contact to AlGaN/GaN Heterostructures. Materials. 2020; 13(18):4140. https://doi.org/10.3390/ma13184140
Chicago/Turabian StyleDub, Maksym, Pavlo Sai, Aleksandra Przewłoka, Aleksandra Krajewska, Maciej Sakowicz, Paweł Prystawko, Jacek Kacperski, Iwona Pasternak, Grzegorz Cywiński, Dmytro But, and et al. 2020. "Graphene as a Schottky Barrier Contact to AlGaN/GaN Heterostructures" Materials 13, no. 18: 4140. https://doi.org/10.3390/ma13184140
APA StyleDub, M., Sai, P., Przewłoka, A., Krajewska, A., Sakowicz, M., Prystawko, P., Kacperski, J., Pasternak, I., Cywiński, G., But, D., Knap, W., & Rumyantsev, S. (2020). Graphene as a Schottky Barrier Contact to AlGaN/GaN Heterostructures. Materials, 13(18), 4140. https://doi.org/10.3390/ma13184140

