A Dynamic Programming Setting for Functionally Graded Thick-Walled Cylinders
Abstract
1. Introduction
2. Governing Equations
3. Formulation of the Optimal Control Problem
3.1. Determination of the Cost Function
- A cost functional is of the Lagrange type if it consists in a distributed term associated with an integral over whole the considered interval. For system (11), it is associated with an integral over the interval . For instance, the minimization of the objective functionalleads to minimizing the variance of the equivalent Tresca stresskeeping it as close as possible to the constant value and making the stress as uniform as possible along the radius.
- A cost functional is of the Mayer type if it consists in a function depending only on the final state conditions. Correspondingly, for system (11), a cost functional of such a kind depends only on the value of the state variables , , and at . For instance, minimizing the functionalleads to the minimization of the maximum equivalent stress for fixed a value of , under the hypothesis that the latter is strictly decreasing along the radius.
- Finally, a cost functional of the Bolza type is the sum of a Mayer type and a Lagrange one. For instance, minimizing the functionalleads to the minimization of the normalized displacement at the outer radius with respect to the internal pressure value, with respect to the inner radius and with respect to the Young’s modulus at the inner boundary.
3.2. Input Constraints
4. Computation of the Solution
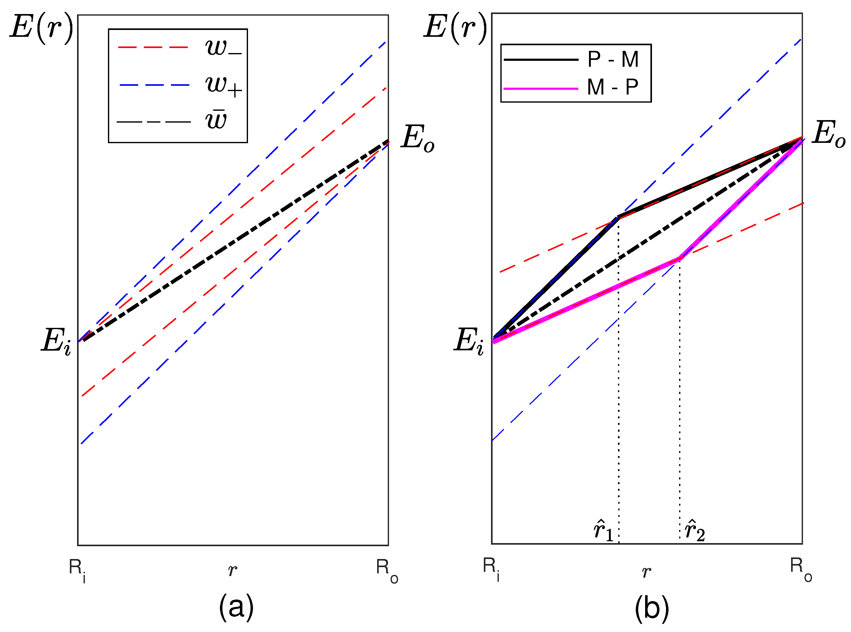
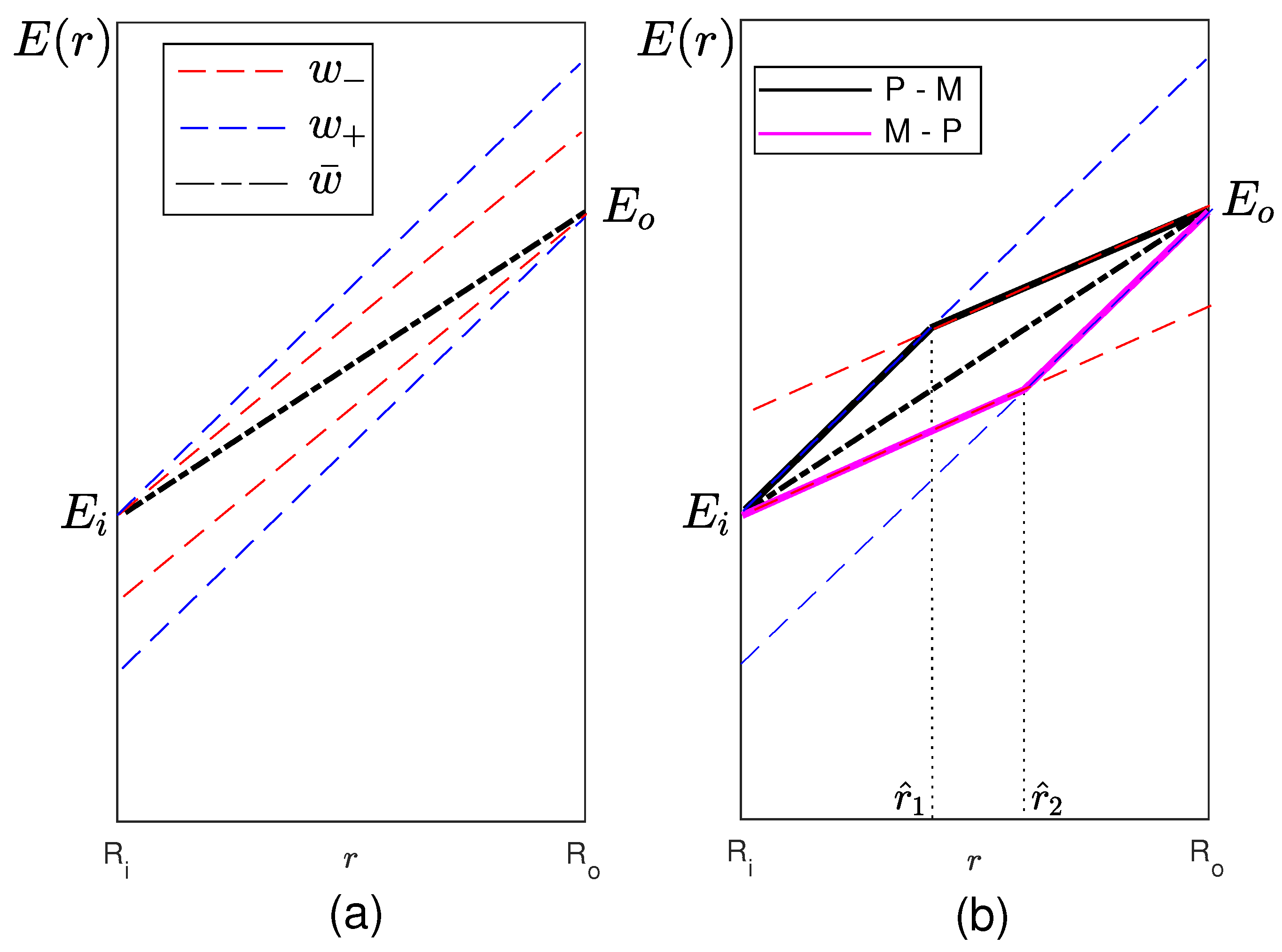
5. The Case of a Single Switching Point
- One solution (black solid line in Figure 2b) is characterized by a sub-interval in which and a sub-interval in which . The switching point is determined imposingIn the following, we refer to this solution as the “P-M” solution.
- The other solution (violet solid line in Figure 2b), which will be referred to as the “M-P” solution, is characterized by a sub-interval in which and a sub-interval in which . The switching point is determined imposing
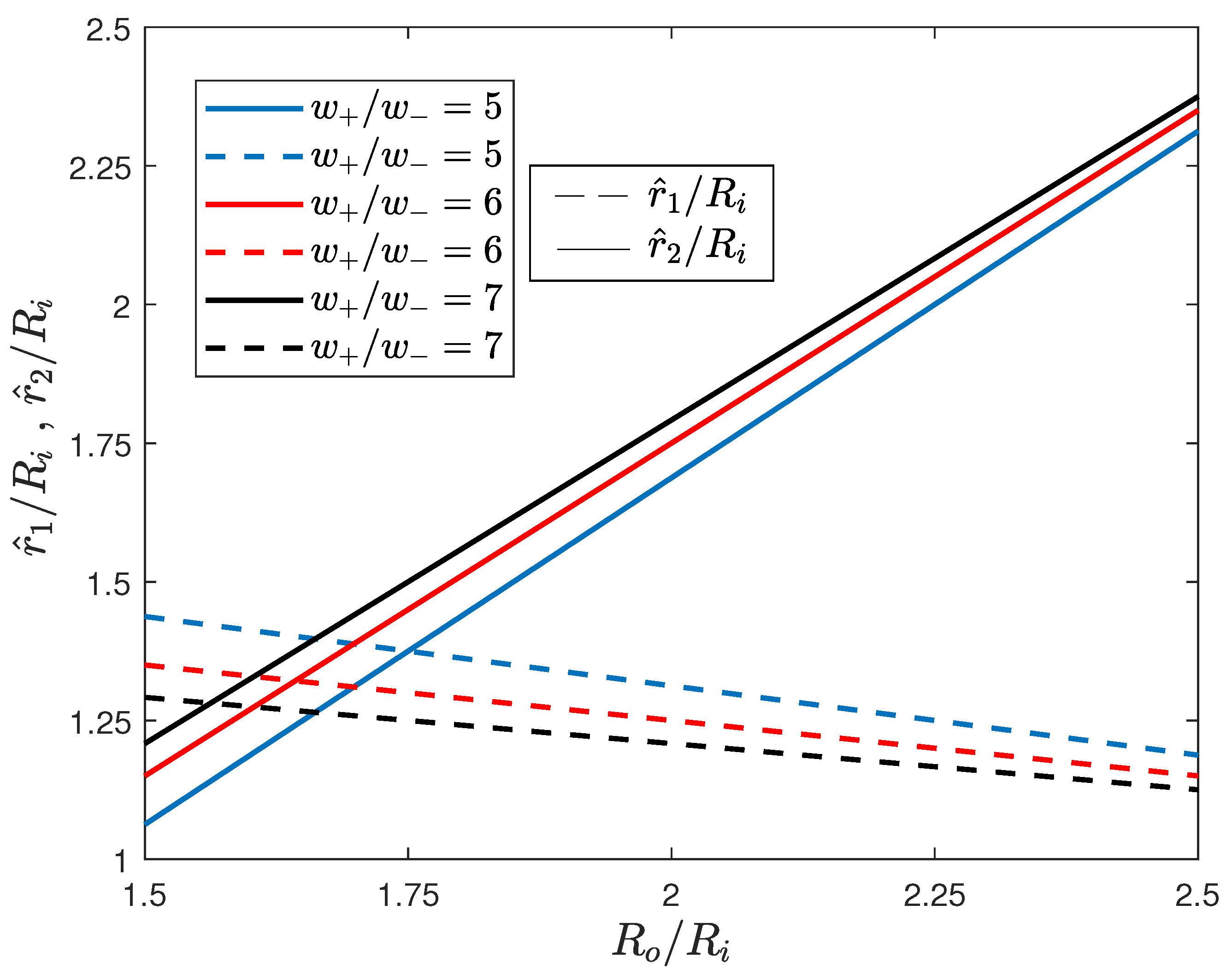
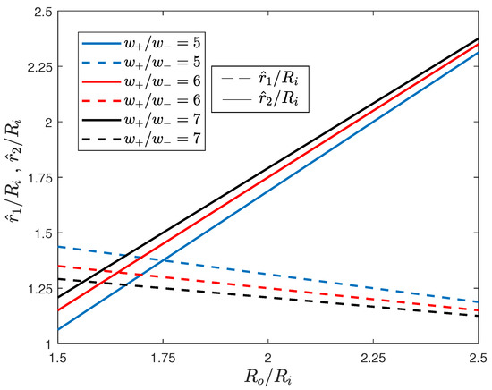
A Numerical Example
6. Conclusions
Author Contributions
Funding
Acknowledgments
Conflicts of Interest
Abbreviations
| FG | Functionally Graded |
| FE | Finite Element |
| BVP | Boundary Value Problem |
| IVP | Initial Value Problem |
References
- Miyamoto, Y.; Kaysser, W.A.; Rabin, B.H. Functionally Graded Materials: Design, Processing and Applications; Kluwer Academic Publishers: London, UK, 1999. [Google Scholar]
- Ruhi, M.; Angoshtari, A.; Naghdabadi, R. Thermoelastic analysis of thick-walled finite-length cylinders of functionally graded materials. J. Therm. Stress 2005, 28, 391–408. [Google Scholar] [CrossRef]
- Ertek, C.; Civelek, F. Comparison of functionally graded and ungraded cylinder liners with finite element analysis. Cumhuriyet Sci. J. 2020, 41, 506–520. [Google Scholar] [CrossRef]
- Eslami, M.R.; Babaei, M.H.; Poultangari, R. Thermal and mechanical stresses in a functionally graded thick sphere. Int. J. Press. Vessels Pip. 2005, 82, 522–527. [Google Scholar] [CrossRef]
- Poultangaria, R.; Jabbari, M.; Eslami, M.R. Functionally graded hollow spheres under non-axisymmetric thermo-mechanical loads. Int. J. Press. Vessel Pip. 2008, 85, 295–305. [Google Scholar] [CrossRef]
- Wang, Z.W.; Zhang, Q.; Xia, L.Z.; Wu, J.T.; Liu, P.Q. Thermomechanical analysis of pressure vessels with functionally graded material coating. J. Press. Vessels Technol. 2016, 138, 011205. [Google Scholar] [CrossRef]
- Peng, X.; Li, X. Thermoelastic analysis of a cylindrical vessel of functionally graded materials. Int. J. Press. Vessels Pip. 2008, 87, 203–210. [Google Scholar] [CrossRef]
- Zhi, X.Y.; He, X.T.; Li, X.; Lian, Y.S.; Sun, J.Y. An Electroelastic Solution for Functionally Graded Piezoelectric Circular Plates under the Action of Combined Mechanical Loads. Materials 2018, 7, 1168. [Google Scholar] [CrossRef]
- Li, X.Y.; Li, P.; Kang, G.; Pan, D.Z. Axisymmetric thermo-elasticity field in a functionally graded circular plate of transversely isotropic material. Math. Mech. Solids 2012, 18, 464–475. [Google Scholar] [CrossRef]
- Durodola, J.F.; Attia, O. Deformation and stresses in functionally graded rotating disks. Compos. Sci. Technol. 2000, 60, 987–995. [Google Scholar] [CrossRef]
- Kordekheili, S.; Naghdabadi, R. Thermoelastic analysis of a functionally graded rotating disk. Compos. Struct. 2007, 79, 508–516. [Google Scholar] [CrossRef]
- Madan, R.; Saha, K.N.; Bhowmick, S. Limit elastic analysis of FG ceramic rotating disk on the basis of effective mechanical properties. Mater. Sci. Forum 2020, 978, 470–476. [Google Scholar] [CrossRef]
- Jabbari, M.; Sohrabpour, S.; Eslami, M.R. Mechanical and thermal stresses in a functionally graded hollow cylinder due to radially symmetric loads. Int. J. Press. Vessels Pip. 2002, 79, 493–497. [Google Scholar] [CrossRef]
- Erslan, A.N.; Akis, T. On the plane strain and plane stress solutions of functionally graded rotating solid shaft and solid disk problems. Acta Mech. 2006, 181, 43–63. [Google Scholar] [CrossRef]
- Zenkour, A.M. Stress distribution in rotating composite structures of functionally graded solid disks. J. Mater. Process. 2009, 209, 3511–3517. [Google Scholar] [CrossRef]
- Khors, M.; Tang, Y. Design functionally graded rotating disks under thermoelastic loads: Weight optimization. Int. J. Press. Vessels Pip. 2018, 161, 33–40. [Google Scholar] [CrossRef]
- Abdalla, H.M.A.; Casagr, E.D.; Moro, L. Thermo-mechanical analysis and optimization of functionally graded rotating disks. J. Strain. Anal. Eng. 2020, 55, 159–171. [Google Scholar] [CrossRef]
- Sage, A.P.; White, C.C. Optimum System Control; Prentice-Hall: Upper Saddle River, NJ, USA, 1977. [Google Scholar]
- Kirk, D.E. Optimal Control Theory: An Introduction; Dover Publications: New York, NY, USA, 2004. [Google Scholar]
- Bliss, G.A. Lectures on the Calculus of Variations; Chicago University Press: Chicago, IL, USA, 1947. [Google Scholar]
- Nikbakht, S.; Kamarian, S.; Shakeri, M. A review on optimization of composite structures Part II: Functionally graded materials. Compos. Struct. 2019, 214, 83–102. [Google Scholar] [CrossRef]
- Berkovitz, L.D. Optimal Control Theory; Springer: Heidelberg, Germany, 1974. [Google Scholar]
- Athans, M.; Flab, P.L. Optimal Control; McGraw-Hill: New York, NY, USA, 1966. [Google Scholar]
- Stoer, J.; Burlisch, R. Introduction to Numerical Analysis; Springer: New York, NY, USA, 1980. [Google Scholar]
- Rao, A.V. A survey of numerical methods for optimal control. In Proceedings of the AAS/AIAA Astrodynamics Specialist Conference (AAS 09-334), Pittsburgh, PA, USA, 10–13 August 2009. [Google Scholar]
- Sagliano, M.; Theil, S.; Bergsma, M.; D’Onofrio, V.; Whittle, L.; Viavattene, G. On the Radau pseudospectral method: Theoretical and implementation advances. CEAS Space J. 2017, 9, 313–331. [Google Scholar] [CrossRef]
- Grujicic, M.; Zhao, H. Optimization of 316 stainless steel/alumina functionally graded material for reduction of damage induced by thermal residual stresses. Mater. Sci. Eng. 1998, 252, 117–132. [Google Scholar]
- Tutuncu, N.; Temel, B. A novel approach to stress analysis of pressurized FGM cylinders, disks and spheres. Compos. Struct. 2009, 91, 385–390. [Google Scholar] [CrossRef]




© 2020 by the authors. Licensee MDPI, Basel, Switzerland. This article is an open access article distributed under the terms and conditions of the Creative Commons Attribution (CC BY) license (http://creativecommons.org/licenses/by/4.0/).
Share and Cite
Abdalla, H.M.A.; Casagrande, D.; De Bona, F. A Dynamic Programming Setting for Functionally Graded Thick-Walled Cylinders. Materials 2020, 13, 3988. https://doi.org/10.3390/ma13183988
Abdalla HMA, Casagrande D, De Bona F. A Dynamic Programming Setting for Functionally Graded Thick-Walled Cylinders. Materials. 2020; 13(18):3988. https://doi.org/10.3390/ma13183988
Chicago/Turabian StyleAbdalla, Hassan Mohamed Abdelalim, Daniele Casagrande, and Francesco De Bona. 2020. "A Dynamic Programming Setting for Functionally Graded Thick-Walled Cylinders" Materials 13, no. 18: 3988. https://doi.org/10.3390/ma13183988
APA StyleAbdalla, H. M. A., Casagrande, D., & De Bona, F. (2020). A Dynamic Programming Setting for Functionally Graded Thick-Walled Cylinders. Materials, 13(18), 3988. https://doi.org/10.3390/ma13183988

