Long-Term Cyclic Loading Impact on the Creep Deformation Mechanism in Cohesive Materials
Abstract
1. Introduction
2. Materials and Methods
2.1. Material Properties
2.2. Sample Preparation
2.3. Loading Conditions
2.4. Test Apparatus and Test Procedure
3. Results
3.1. Effect of Pore Pressure Development
3.2. Effect of Axial Strain
3.3. The Cumulative Pore Pressure Resistance
3.4. Failure Analysis
4. Damage Mechanism Considerations
5. Conclusions
- Cyclic loading causes a build-up of excess pore water pressure. The Δu characteristic in the number of cycles argument, in the case of a few samples, leads to the observation of the peak pore pressure Δumax, and then reverses of excess pore pressure characteristics. This phenomenon leads to an undrained creep where Δu decreases, and the effective stress path touches the yield surface.
- The cohesive material under long-term stress-controlled cyclic loading undergoes a series of hardening and softening stages. The results of cyclic triaxial tests with an installed mid-plane pore pressure transducer indicate that the pore pressure value in the middle of the sample differs significantly from the pore pressure measured on the top and bottom of the sample. In addition, the pore pressure at the middle of the sample characteristic does not correspond with the pore pressure at the ends. Therefore, further studies are necessary to understand pore pressure behavior during cyclic loading.
- Analysis of the strain rate shows that this relationship has a linear characteristic on the log-log plot, and therefore strain development has abation characteristics for this type of cohesive material. We observed soil stiffness degradation, which were calculated based on a well-known model such as Hardin and Drnevich’s [39] hyperbolic normalized modulus reduction model. To model the rate of strain, we used Janbu’s proposal for the resistance concept. Strain accumulation during the cyclic loading is governed by the action-reaction analysis, where the action is the constant-stress cyclic loading and the reaction is the strain accumulation, and it is an easy tool to track the number of cycles during stiffness degradation.
- The abation characteristics during the cyclic loading tests have logarithmic dependence from the number of cycles. Therefore, we propose a new formula where a logarithm of the number of cycles is related to strain, and we estimated the ν parameter which is the logarithm base of the number of cycles to reach and the value of ν is the maximum number of cycles Nmax.
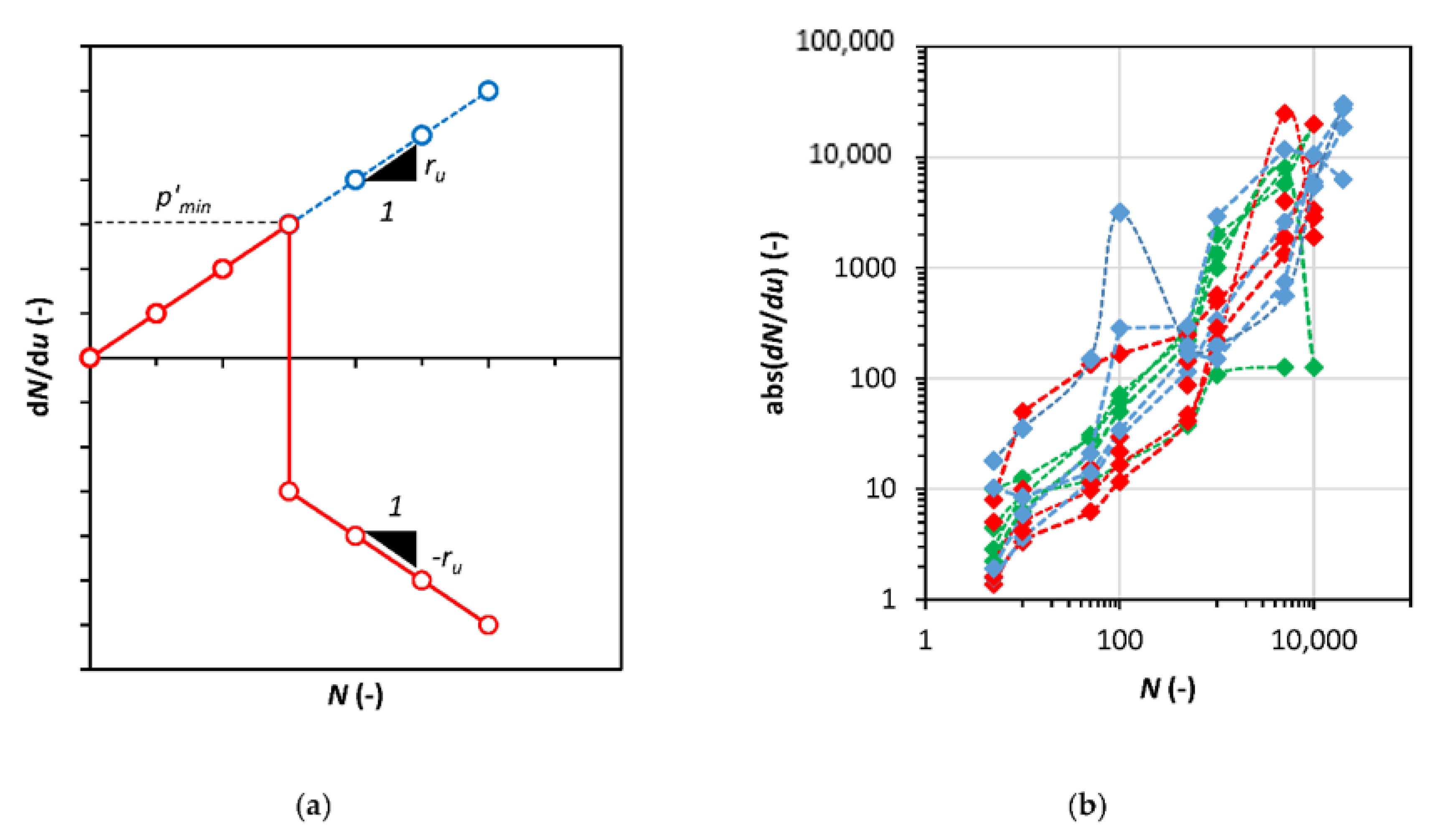
- To model the excess pore water pressure generation, we propose a limit, which incorporates the Arulanandan et al. creep mechanism proposal, on the cyclic loading subject. The limit value is limit mean effective stress p′mim, and for its calculation, we use the Modified Cam-Clay yield surface equation. The p′min is the point of excess pore pressure reverse, where the sample starts to behave unstably, and the yield surface shrinks to a point on the critical state line.
- When the stress path achieves the p′min value, the dN/du versus number of cycles characteristics show specific phenomena where the sign of the ru changes, but the value remains constant, and excess pore water pressure decreases.
- For the presented mechanism, we discuss the possible effect of cyclic loading damaging effects in undrained conditions.
- It is worth mentioning that fatigue testing of the materials is loading-path dependent. In this study, first, the cohesive material was compressed, and then we applied cyclic shear loading. The loading path impacts fatigue assessment, as well as the geometrical configuration and material properties [44,45]. To provide a more holistic understanding of fatigue failure, more loading types needed to be considered, for instance, cyclic circumferential stress and cyclic shear stress in a hollow cylinder apparatus.
Author Contributions
Funding
Conflicts of Interest
Appendix A
| Sample Number | Σ’c (kPa) | Εta,1 (–) | E1 (mPa) | Emax (mPa) | E/emax (–) | Rv (–) |
|---|---|---|---|---|---|---|
| A.01 | 18 | 0.001256 | 24.52 | 187.0 | 0.131 | 1609.0 |
| A.02 | 45 | 0.00156 | 27.95 | 196.0 | 0.143 | 592.96 |
| A.03 | 90 | 0.007044 | 6.530 | 388.0 | 0.0168 | 2638.8 |
| A.04 | 135 | 0.003967 | 10.88 | 464.0 | 0.023 | 2751.70 |
| B.01 | 45 | 0.0094 | 3.28 | 261.4 | 0.0125 | 1185.31 |
| B.02 | 90 | 0.004638 | 6.68 | 374.0 | 0.0179 | 4745.47 |
| B.03 | 135 | 0.003676 | 8.43 | 361.0 | 0.0233 | 4150.89 |
| B.07 | 45 | 0.001869 | 23.00 | 230.0 | 0.100 | 2745.87 |
| A.09 | 90 | 0.002028 | 14.81 | 348.0 | 0.043 | 412.53 |
| C.01 | 90 | 0.003202 | 13.46 | 457.0 | 0.0295 | 4383.98 |
| C.02 | 45 | 0.00102 | 42.17 | 238.0 | 0.1772 | 1747.55 |
| D.01 | 45 | 0.017752 | 2.41 | 141.0 | 0.017 | 91.58 |
| D.02 | 90 | 0.003231 | 13.34 | 213.0 | 0.063 | 487.27 |
| D.03 | 135 | 0.000863 | 50.75 | 274.0 | 0.185 | 1506.51 |
| D.04 | 180 | 0.003607 | 11.98 | 280.0 | 0.043 | 1221.22 |


References
- Sun, L.; Gu, C.; Wang, P. Effects of Cyclic Confining Pressure on the Deformation Characteristics of Natural Soft Clay. Soil Dyn. Earthq. Eng. 2015, 78, 99–109. [Google Scholar] [CrossRef]
- Tafreshi, S.N.M.; Mehrjardi, G.T.; Ahmadi, M. Experimental and Numerical Investigation on Circular Footing Subjected to Incremental Cyclic Loads. Int. J. Civil Eng. 2011, 9, 265–274. [Google Scholar]
- Sas, W.; Gluchowski, A.; Gabryś, K.; Soból, E.; Szymański, A. Resilient Modulus Characterization of Compacted Cohesive Subgrade Soil. Appl. Sci. 2017, 7. [Google Scholar] [CrossRef]
- Wang, Y.; Wan, Y.; Liu, M.; Guo, C.; Zeng, C.; Wu, D. Undrained Multi-Dimensional Deformation Behavior and Degradation of Natural Soft Marine Clay from HCA Experiments. Soils Found. 2020. [Google Scholar] [CrossRef]
- Karakan, E.; Tanrinian, N.; Sezer, A. Cyclic Undrained Behavior and Post Liquefaction Settlement of a Nonplastic Silt. Soil Dyn. Earthq. Eng. 2019, 120, 214–227. [Google Scholar] [CrossRef]
- Tsukamoto, Y.; Ishihara, K.; Sawada, S. Settlement of Silty Sand Deposits Following Liquefaction during Earthquakes. Soils Found. 2004, 44, 135–148. [Google Scholar] [CrossRef]
- Nagase, H.; Ishihara, K. Liquefaction-Induced Compaction and Settlement of Sand during Earthquakes. Soils Found. 1988, 28, 65–76. [Google Scholar] [CrossRef]
- Ishihara, K.; Yoshimine, M. Evaluation of Settlements in Sand Deposits Following Liquefaction during Earthquakes. Soils Found. 1992, 32, 178–188. [Google Scholar] [CrossRef]
- Głuchowski, A.; Soból, E.; Szymański, A.; Sas, W. Undrained Pore Pressure Development on Cohesive Soil in Triaxial Cyclic Loading. Appl. Sci. 2019, 9, 3821. [Google Scholar] [CrossRef]
- Indraratna, B.; Ni, J.; Rujikiatkamjorn, C.; Zhong, R. A New Model for Describing the Behaviour of Soft Soils under Cyclic Loading. Fac. Eng. Inf. Sci. Pap. Part A 2015, 4216, 1–8. [Google Scholar]
- Li, L.L.; Dan, H.B.; Wang, L.Z. Undrained Behavior of Natural Marine Clay under Cyclic Loading. Ocean Eng. 2011, 38, 1792–1805. [Google Scholar] [CrossRef]
- Ansal, A.M.; Erken, A. Undrained Behavior of Clay under Cyclic Shear Stresses. J. Geotech. Eng. 1989, 115, 968–983. [Google Scholar] [CrossRef]
- Fedakar, H.I.; Cai, W.; Rutherford, C.J.; Cetin, B. Evaluation of Deformation Behavior of Sand-Clay Mixture under Traffic Loads. In Geo-Congress 2020; American Society of Civil Engineers: Reston, VA, USA, 2020; pp. 201–209. [Google Scholar] [CrossRef]
- Zhang, X.; Zhang, Y.; Liu, X.; Liu, J.; Liu, J. Shakedown Behavior of Yellow River Alluvial Silt Stabilized with Lignin-Lime Combined Additive. J. Mater. Civ. Eng. 2020, 32. [Google Scholar] [CrossRef]
- Allou, F.; Chazallon, C.; Hornych, P. A Numerical Model for Flexible Pavements Rut Depth Evolution with Time. Int. J. Numer. Anal. Methods Geomech. 2007, 31, 1–22. [Google Scholar] [CrossRef]
- Sas, W.; Głuchowski, A.; Bursa, B.; Szymański, A. Energy-Based Analysis of Permanent Strain Behaviour of Cohesive Soil under Cyclic Loading. Acta Geophys. 2017, 65. [Google Scholar] [CrossRef]
- Ghadimi, B.; Nikraz, H.; Rosano, M. Dynamic Simulation of a Flexible Pavement Layers Considering Shakedown Effects and Soil-Asphalt Interaction. Transp. Geotech. 2016, 7, 40–58. [Google Scholar] [CrossRef]
- Werkmeister, S.; Dawson, A.R.; Wellner, F. Permanent Deformation Behavior of Granular Materials and the Shakedown Concept. Transp. Res. Rec. 2001, 1757, 75–81. [Google Scholar] [CrossRef]
- Werkmeister, S. Unbound Granular Materials in Pavement Constructions: Plastisches Verformungsverhalten von Tragschichten Ohne Bindemittel in Straßenbefestigungen; Technische Universitaet Dresden, Institut fuer Stadtbauwesen und Strassenbau: Dresden, Germany, 2003. [Google Scholar]
- Lekarp, F.; Dawson, A. Modelling Permanent Deformation Behaviour of Unbound Granular Materials. Constr. Build. Mater. 1998, 12, 9–18. [Google Scholar] [CrossRef]
- Lekarp, F.; Isacsson, U.; Dawson, A. State of the Art. I: Resilient Response of Unbound Aggregates. J. Transp. Eng. 2000, 126, 66–75. [Google Scholar] [CrossRef]
- Lackenby, J.; Indraratna, B.; McDowell, G.; Christie, D. Effect of Confining Pressure on Ballast Degradation and Deformation under Cyclic Triaxial Loading. Geotechnique 2007. [Google Scholar] [CrossRef]
- Liu, J.; Xiao, J. Experimental Study on the Stability of Railroad Silt Subgrade with Increasing Train Speed. J. Geotech. Geoenviron. Eng. 2010, 136, 833–841. [Google Scholar] [CrossRef]
- Rahman, M.S.; Erlingsson, S. Predicting Permanent Deformation Behaviour of Unbound Granular Materials. Int. J. Pavement Eng. 2015, 16, 587–601. [Google Scholar] [CrossRef]
- Rahman, M.S.; Erlingsson, S. A Model for Predicting Permanent Deformation of Unbound Granular Materials. Road Mater. Pavement Des. 2015, 16, 653–673. [Google Scholar] [CrossRef]
- Sas, W.; Gluchowski, A.; Szymanski, A. Behavior of Recycled Concrete Aggregate Improved with Lime Addition during Cyclic Loading. Int. J. GEOMATE 2016, 10, 1662–1669. [Google Scholar] [CrossRef]
- Chen, W.B.; Feng, W.Q.; Yin, J.H.; Borana, L.; Chen, R.P. Characterization of Permanent Axial Strain of Granular Materials Subjected to Cyclic Loading Based on Shakedown Theory. Constr. Build. Mater. 2019, 198, 751–761. [Google Scholar] [CrossRef]
- Goldscheider, M.; Gudehus, G. Einige Bodenmechanische Probleme Bei Küsten-Und Offshore-Bauwerken. In Vorträge der Baugrundtagung; Deutsche Gesellschaft für Erd und Grundbau: Nurnberg, Germany, 1976; pp. 507–522. [Google Scholar]
- Niemunis, A.; Wichtmann, T.; Triantafyllidis, T. Long Term Deformations in Soils Due to Cyclic Loading; Springer: Berlin/Heidelberg, Germany, 2006. [Google Scholar]
- Wichtmann, T. Explicit Accumulation Model. For Non-Cohesive Soils under Cyclic Loading; Des Institutes Fur Grundbau und Bodenmechanik der Ruhr, Universitet Bochum: Bochum, Germany, 2005. [Google Scholar]
- Głuchowski, A.; Sas, W. Impact of Cyclic Loading on Shakedown in Cohesive Soils—Simple Hysteresis Loop Model. Appl. Sci. 2020, 10, 2029. [Google Scholar] [CrossRef]
- Qian, J.G.; Wang, Y.G.; Yin, Z.Y.; Huang, M.S. Experimental Identification of Plastic Shakedown Behavior of Saturated Clay Subjected to Traffic Loading with Principal Stress Rotation. Eng. Geol. 2016, 214, 29–42. [Google Scholar] [CrossRef]
- Karg, C. Modelling of Strain Accumulation Due to Low Level Vibrations in Granular Soils; Ghent University: Ghent, Belgium, 2008. [Google Scholar]
- Arulanandan, K.; Shen, C.K.; Young, R.B. Undrained Creep Behaviour of a Coastal Organic Silty Clay. Géotechnique 1971, 21, 359–375. [Google Scholar] [CrossRef]
- Ni, J.; Indraratna, B.; Geng, X.Y.; Carter, J.P.; Chen, Y.L. Model of soft soils under cyclic loading. Int. J. Geomech. 2015, 15, 04014067. [Google Scholar] [CrossRef]
- Kenig, K. Litologia glin morenowych na Nizu Polskim-podstawowe metody badawcze. Biul. Panstwowego. Inst. Geol. 2009, 437, 1–57. [Google Scholar]
- Bajda, M.; Falkowski, T. Badania geotechniczne w ocenie budowy geologicznej fragmentu Skarpy Warszawskiej w rejonie ulicy Tamka. Landf. Anal. 2014, 26, 77–84. [Google Scholar] [CrossRef]
- Kucharczyk, K.; Głuchowski, A.; Miturski, M.; Sas, W. Influence of Load Frequency on Cohesive Soil Respond. Geosciences 2018, 8, 468. [Google Scholar] [CrossRef]
- Hardin, B.O.; Drnevich, V.P. Shear modulus and damping in soils: Design equations and curves. J. Soil Mech. Found. Div. 1972, 98, 667–692. [Google Scholar]
- Janbu, N. The resistance concept applied to deformations of soils. In Proceedings of the 7th International Conference Soil Mechanics Foundation Engineering, Mexico City, Mexico, 23–28 August 1969; Sociedad Mexicana de Mecanica: Mexico City, Mexico, 1969; Volume 1, pp. 191–196. [Google Scholar]
- Janbu, N. Soil models in offshore engineering. Géotechnique 1985, 35, 241–281. [Google Scholar] [CrossRef]
- Yang, M.; Seidalinov, G.; Taiebat, M. Multidirectional cyclic shearing of clays and sands: Evaluation of two bounding surface plasticity models. Soil Dyn. Earthq. Eng. 2019, 124, 230–258. [Google Scholar] [CrossRef]
- Indraratna, B.; Ni, J.; Rujikiatkamjorn, C.; Zhong, R. A partially drained model for soft soils under cyclic loading consideringcyclic parameter degradation. Aust. Geomech. J. 2015, 50, 89–95. [Google Scholar]
- Zhang, Y.M.; Fan, M.; Xiao, Z.M.; Zhang, W.G. Fatigue analysis on offshore pipelines with embedded cracks. Ocean Eng. 2016, 117, 45–56. [Google Scholar] [CrossRef]
- Zhang, Y.; Xiao, Z.; Luo, J. Fatigue crack growth investigation on offshore pipelines with three-dimensional interacting cracks. Geosci. Front. 2018, 9, 1689–1697. [Google Scholar] [CrossRef]











| Type 1 | Type 2 | Type 3 | Type 4 | |
|---|---|---|---|---|
| Soil Classification | sasiCl | sasiCl | clSa | siCl |
| WP (%) | 23.6 | 15.2 | 13.5 | 24.4 |
| WL (%) | 42.0 | 38.7 | 23.4 | 42.4 |
| IP (%) | 8.4 | 14.5 | 6.9 | 18.0 |
| AC (–) | 0.44 | 0.67 | 0.53 | 0.78 |
| φ’ (°) | 28.1 | 26.7 | 30.0 | 22.4 |
| c (kPa) | 6.8 | 9.8 | 5.2 | 20.5 |
| Sample Number | Σ’C (kPa) | QA (kPa) | QM (kPa) | CSR (–) | N (–) | E0 (–) | PD (G/CM3) | M (%) | |
|---|---|---|---|---|---|---|---|---|---|
| Type 1 | A.01 | 18.0 | 3.9 | 26.9 | 0.856 | 5 × 104 | 0.407 | 1.897 | 14.33 |
| A.02 | 45.0 | 4.1 | 39.5 | 0.484 | 2 × 104 | 0.402 | 1.904 | 14.75 | |
| A.03 | 90.0 | 4.5 | 41.5 | 0.256 | 2 × 104 | 0.345 | 1.985 | 12.62 | |
| A.04 | 135.0 | 3.95 | 39.2 | 0.160 | 5 × 104 | 0.371 | 1.948 | 13.65 | |
| Type 2 | B.01 | 45.0 | 5.2 | 25.6 | 0.342 | 104 | 0.379 | 1.936 | 11.18 |
| B.02 | 90.0 | 5.3 | 25.7 | 0.172 | 104 | 0.360 | 1.963 | 10.71 | |
| B.03 | 135.0 | 5.3 | 25.7 | 0.115 | 104 | 0.357 | 1.967 | 15.56 | |
| B.04 | 45.0 | 11.0 | 32.0 | 0.478 | 5 × 104 | 0.412 | 1.882 | 13.61 | |
| B.05 | 90.0 | 2.75 | 27.3 | 0.167 | 5 × 104 | 0.380 | 1.892 | 14.03 | |
| Type 3 | C.01 | 90.0 | 10.8 | 32.3 | 0.239 | 5 × 104 | 0.361 | 1.961 | 12.07 |
| C.02 | 45.0 | 11.0 | 32.0 | 0.478 | 5 × 104 | 0.375 | 1.942 | 12.68 | |
| Type 4 | D.01 | 45.0 | 10.2 | 32.6 | 0.476 | 2 × 104 | 0.639 | 1.629 | 19.73 |
| D.02 | 90.0 | 10.8 | 32.3 | 0.239 | 2 × 104 | 0.601 | 1.668 | 22.98 | |
| D.03 | 135.0 | 11.0 | 32.8 | 0.162 | 2 × 104 | 0.598 | 1.671 | 20.14 | |
| D.04 | 180.0 | 10.6 | 32.6 | 0.120 | 2 × 104 | 0.607 | 1.661 | 17.28 |
© 2020 by the authors. Licensee MDPI, Basel, Switzerland. This article is an open access article distributed under the terms and conditions of the Creative Commons Attribution (CC BY) license (http://creativecommons.org/licenses/by/4.0/).
Share and Cite
Głuchowski, A.; Sas, W. Long-Term Cyclic Loading Impact on the Creep Deformation Mechanism in Cohesive Materials. Materials 2020, 13, 3907. https://doi.org/10.3390/ma13173907
Głuchowski A, Sas W. Long-Term Cyclic Loading Impact on the Creep Deformation Mechanism in Cohesive Materials. Materials. 2020; 13(17):3907. https://doi.org/10.3390/ma13173907
Chicago/Turabian StyleGłuchowski, Andrzej, and Wojciech Sas. 2020. "Long-Term Cyclic Loading Impact on the Creep Deformation Mechanism in Cohesive Materials" Materials 13, no. 17: 3907. https://doi.org/10.3390/ma13173907
APA StyleGłuchowski, A., & Sas, W. (2020). Long-Term Cyclic Loading Impact on the Creep Deformation Mechanism in Cohesive Materials. Materials, 13(17), 3907. https://doi.org/10.3390/ma13173907
