Research on the Mechanical Properties of Recycled Aggregate Concrete under Uniaxial Compression Based on the Statistical Damage Model
Abstract
1. Introduction
2. Statistical Damage Theory
2.1. Basic Assumption
2.1.1. Degradation Effect
2.1.2. Strengthening Effect
2.2. Uniaxial Compression
2.2.1. Meso Damage Mechanism
2.2.2. Statistical Damage Constitutive Model
2.2.3. Method of Parameter Determination
- Create a fitness function, including four parameters, , , , and . The optimization criterion is the minimum sum of squares of the deviation between the predicted stress and the measured stress;
- Set the initial search interval of four parameters;
- Genetic algorithm is implemented to obtain the optimal parameter solution of this iteration. Adjust or narrow the parameter search interval according to the result;
- Repeat step 3 until obtaining the optimal solution.
3. Experimental Descriptions
3.1. Materials
3.2. Mix Proportion
3.3. Test Setup and Loading
4. Experimental Results
4.1. Compressive Strength
- Degradation effect: old cement mortar is attached to the surface of recycled aggregate, ITZ of new and old cement slurry is a weak area of mechanical properties [8], and there are many micro-cracks in the production process of recycled aggregate under external force, which lead to the degradation of mechanical properties [42].
- Strengthening effect: the high porosity of recycled aggregate means RAC contains more water and plays an internal curing role, which makes the later hydration reaction more thorough [43]. Meanwhile, the remaining unhydrated old cement adheres to the surface of RAC particles and reacts with water to improve the development rate of strength and the density of microstructure [44]. In addition, the porous properties of recycled aggregate allow it to bond better with new mortar and absorb more water from ITZ, so as to reduce the water cement ratio of ITZ and effectively improve the rigidity of local areas [10]. Moreover, the surface of recycled aggregate is rough and angular, which increases the mutual friction and mechanical biting between aggregates [45,46].
4.2. Peak Strain
4.3. Elastic Modulus
4.4. Deformation and Failure Characteristics
5. Analysis of Mesoscopic Damage Mechanism
5.1. The Fitting of the Nominal Stress–Strain Curve
5.2. Mesoscopic Damage Mechanism
6. Conclusions
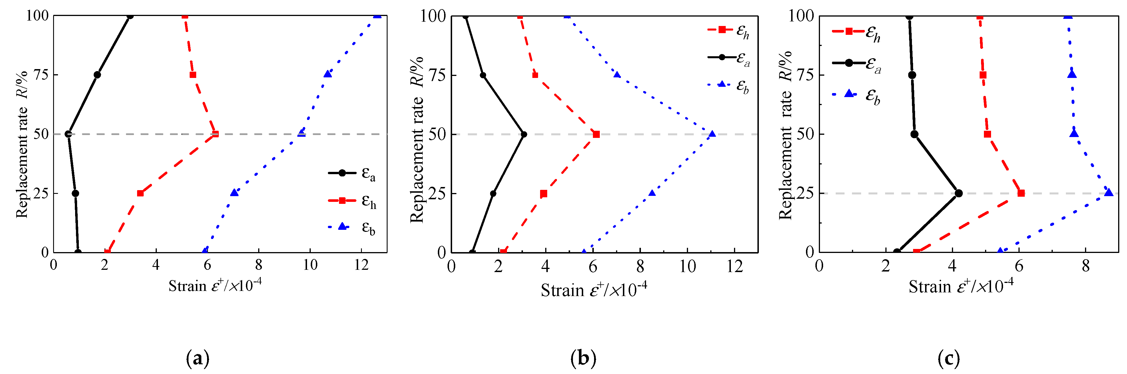
- Uniaxial compression tests of recycled concrete with three levels of water cement ratio (0.66, 0.49, and 0.38) and five levels of recycled aggregate replacement rate (0, 25%, 50%, 75%, and 100%) were conducted in this paper. The test results show that the nominal stress–strain full curves have similar shape features under the quasi-static loading. The change rules of compressive strength, elastic modulus, and peak strain of three kinds of concrete with recycled aggregate replacement rate were discussed. The mechanical properties of concrete are closely related to the composition of material microstructure and the internal physical and chemical reactions, which are jointly controlled by the strengthening and degradation effects of recycled aggregate.
- There are similar failure modes between RAC and NAC. Macro cracks begin to appear in the middle of the concrete block after the peak nominal stress, and then the obvious bulging zone is formed in this part. Continuing loading, the deformation in local bulging zone is further increased, but unloading occurs in other parts. Inclined crack will appear in the middle, which leads to the ultimate failure of the concrete block. Taking the state when local bulging happens as the critical state, the deformation of concrete is divided into the distributed damage stage and local failure stage.
- On the basis of the statistical damage model, the mesoscopic damage evolution law of RAC under different replacement rates is discussed quantitatively. It considers two meso damage modes, fracture and yield, which represent the initiation and propagation of micro-cracks and the optimization and adjustment of the stress skeleton of microstructure, respectively. Yield damage plays a key role in the whole process of deformation and failure. The results show that, with the increase of the replacement rate, four characteristic parameters, , , , and H, have obvious regularity. The meso damage evolution law reflected by the model is in good agreement with the internal chemical physical mechanism and the macro nonlinear stress–strain behavior. Distinguishing between the peak nominal stress state and the critical state, the average values of σcr/σp and εcr/εp are 0.83 and 1.47, respectively. It is suggested that the critical state be taken as the ultimate failure state of the constitutive model, which can fully consider the ductility in the distributed damage stage of material and avoid the size effect in the local failure stage.
- The mechanical properties of recycled concrete are affected by many factors, including mix proportion, source of recycled aggregate, replacement rate of aggregate, type of additive, age, test environment, strain rate, loading mode, and so on. Owing to the limitation of the length of this paper, only two factors, the water cement ratio and replacement rate, are considered. The influence of various factors on the macro and micro mechanical properties of recycled concrete will be further studied in combination with micro test technology.
Author Contributions
Funding
Conflicts of Interest
References
- Rao, A.; Jha, K.N.; Misra, S. Use of aggregates from recycled construction and demolition waste in concrete. Resour. Conserv. Recycl. 2007, 50, 71–81. [Google Scholar] [CrossRef]
- Shi, C.J. Recycled aggregate concrete. J. Sustain. Cem. Mate. 2017, 6, 1. [Google Scholar]
- Ding, T.; Xiao, J.; Tam, V.W.Y. A closed-loop life cycle assessment of recycled aggregate concrete utilization in China. Waste Manag. 2016, 56, 367–375. [Google Scholar] [CrossRef] [PubMed]
- Tabsh, S.W.; Abdelfatah, A.S. Influence of recycled concrete aggregates on strength properties of concrete. Constr. Build. Mater. 2009, 23, 1163–1167. [Google Scholar] [CrossRef]
- Shi, C.J.; Cao, Z.J.; Xie, Z.B. Research progress in the mechanical properties of recycled aggregate concrete. Mater. Rep. 2016, 30, 96–103. (In Chinese) [Google Scholar]
- Verian, K.P. Using Recycled Concrete as Coarse Aggregate in Pavement Concrete. Master’s Thesis, Purdue University, West Lafayette, IN, USA, 2012. [Google Scholar]
- Watanabe, T.; Nishibata, S.; Hashimoto, C.; Hashimoto, C.; Ohtsu, M. Compressive failure in concrete of recycled aggregate by acoustic emission. Constr. Build. Mater. 2007, 21, 470–476. [Google Scholar] [CrossRef]
- Verian, K.P.; Ashraf, W.; Cao, Y. Properties of recycled concrete aggregate and their influence in new concrete production. Resour. Conserv. Recycl. 2018, 133, 30–49. [Google Scholar] [CrossRef]
- Tam, V.W.Y.; Kotrayothar, D.; Xiao, J. Long-term deformation behaviour of recycled aggregate concrete. Constr. Build. Mater. 2015, 100, 262–272. [Google Scholar] [CrossRef]
- Domingo-Cabo, A.; Lázaro, C.; López-Gayarre, F.; Serrano-López, M.A.; Serna, P.; Castaño-Tabares, J.O. Creep and shrinkage of recycled aggregate concrete. Constr. Build. Mater. 2009, 23, 2545–2553. [Google Scholar] [CrossRef]
- Catarina, N.; De Brito, J.; Veiga, R. Using fine recycled concrete aggregate for mortar production. Mater. Res. 2014, 17, 168–177. [Google Scholar]
- Topcu, I.B.; Bilir, R. Experimental investigation of drying shrinkage cracking of composite mortars incorporating crushed tile fine aggregate. Mater. Des. 2010, 31, 4088–4097. [Google Scholar] [CrossRef]
- Braga, M.; De Brito, J.; Veiga, R. Incorporation of fine concrete aggregates in mortars. Constr. Build. Mater. 2012, 36, 960–969. [Google Scholar] [CrossRef]
- Kapoor, K.M.E.; Singh, S.P.; Singh, B. Durability of self-compacting concrete made with Recycled Concrete Aggregates and mineral admixtures. Constr. Build. Mater. 2016, 128, 67–76. [Google Scholar] [CrossRef]
- Belén, G.F.; Fernando, M.A.; Diego, C.L.; Sindy, S.-P. Stress–strain relationship in axial compression for concrete using recycled saturated coarse aggregate. Constr. Build. Mater. 2011, 25, 2335–2342. [Google Scholar] [CrossRef]
- Beltrán, M.G.; Barbudo, A.; Agrela, F.; Galvín, A.P.; Jiménez, J.R. Effect of cement addition on the properties of recycled concretes to reach control concretes strengths. J. Clean. Prod. 2014, 79, 124–133. [Google Scholar] [CrossRef]
- Xiao, J.; Li, J.; Zhang, C. Mechanical properties of recycled aggregate concrete under uniaxial loading. Cem. Concr. Res. 2005, 35, 1187–1194. [Google Scholar] [CrossRef]
- Xiao, J.; Zhang, K.; Akbarnezhad, A. Variability of stress-strain relationship for recycled aggregate concrete under uniaxial compression loading. J. Clean. Prod. 2018, 181, 753–771. [Google Scholar] [CrossRef]
- Shi, C.; Li, Y.; Zhang, J.; Li, W.; Chong, L.; Xie, Z. Performance enhancement of recycled concrete aggregate—A review. J. Clean. Prod. 2016, 112, 466–472. [Google Scholar] [CrossRef]
- Gupta, S.M. Strength Characteristics of concrete made with demolition waste as coarse aggregate. In Proceedings of the Structural Engineering Convention, SEC-2001, Indian Institute of Technology Roorkee, Roorkee, India, 29–31 October 2001; pp. 364–373. [Google Scholar]
- Chen, Z.; Xu, J.; Zheng, H.; Su, Y.; Xue, J.; Li, J. Basic mechanical properties test and stress-strain constitutive relation of recycled concrete. J. Build. Mater. 2013, 16, 24–32. [Google Scholar]
- Chen, Z.; Zhou, C.; Chen, Y.; Huang, J. Mechanical properties and stress-strain constitutive relationship of recycled pebble aggregate concrete. J. Appli. Found. Eng. Sci. 2014, 4, 763–774. (In Chinese) [Google Scholar]
- Du, T.; Wang, W.; Liu, Z.; Lin, H.; Guo, T. The complete stress-strain curve of recycled aggregate concrete under uniaxial compression loading. J. Wuhan Univ. Technol.-Mater. Sci. Edit. 2010, 25, 862–865. [Google Scholar] [CrossRef]
- Xiao, J.Z.; Du, J.T. Complete stress-strain curve of concrete with different recycled coarse aggregates under uniaxial compression. J. Build. Mater. 2008, 11, 111–115. [Google Scholar]
- Poon, C.T.; Poon, C.S.; Shui, Z.; Larm, L.; Fok, H.; Kou, S.C. Influence of moisture states of natural and recycled aggregates on the slump and compressive strength of concrete. Cem. Concr. Res. 2004, 34, 31–36. [Google Scholar] [CrossRef]
- Li, W.; Xiao, J.; Sun, Z.; Kawashima, S.; Shah, S.P. Interfacial transition zones in recycled aggregate concrete with different mixing approaches. Constr. Build. Mater. 2012, 35, 1045–1055. [Google Scholar] [CrossRef]
- Lotfi, S.; Deja, J.; Rem, P.; Mróz, R.; van Roekel, E.; van der Stelt, H. Mechanical recycling of EOL concrete into high-grade aggregates. Resour. Conserv. Recycl. 2014, 87, 117–125. [Google Scholar] [CrossRef]
- Kou, S.C.; Poon, C.S.; Agrela, F. Comparisons of natural and recycled aggregate concretes prepared with the addition of different mineral admixtures. Cem. Concr. Compos. 2011, 33, 788–795. [Google Scholar] [CrossRef]
- Bai, Y.L.; Wang, H.Y.; Xia, M.F.; Ke, F.J. Statistical Mesomechanics of Solid, Linking Coupled Multiple Space and Time Scales. Appl. Mechan. Rev. 2005, 58, 286–305. [Google Scholar] [CrossRef]
- Chen, J.Y.; Bai, W.F.; Fan, S.L.; Lin, G. Statistical damage model for quasi-brittle materials under uniaxial tension. J. Cent. South. Univ. Technol. 2009, 16, 669–676. [Google Scholar] [CrossRef]
- Bai, W.F.; Chen, J.Y.; Fan, S.L.; Lin, G. Statistical damage constitutive model for concrete materials under uniaxial compression. J. Harbin Univ. Technol. (English edition) 2010, 17, 338–344. [Google Scholar]
- Bai, W.F.; Zhang, S.J.; Guan, J.F.; Chen, J.-Y. Study on orthotropic statistical damage constitutive model for concrete. J. Hydraul. Eng. 2014, 45, 607–618. (In Chinese) [Google Scholar]
- Bai, W.F. Study on Damage Mechanism of Concrete and Mechanical Property of Saturated Concrete. Ph.D. Thesis, Dalian University of Technology, Dalian, China, 2008. (In Chinese). [Google Scholar]
- Bai, W.F.; Liu, L.A.; Guan, J.F.; Yao, X.-H. Study on constitutive model of sulfate attack concrete based on statistical damage theory. Eng. Mech. 2019, 36, 69–80. (In Chinese) [Google Scholar]
- Markeset, G.; Hillerborg, A. Softening of concrete in compression—Localization and size effects. Cem. Concr. Res. 1995, 25, 702–708. [Google Scholar] [CrossRef]
- Van Geel, E. Concrete Behaviour in Multiaxial Compression: Experimental Research. Ph.D. Thesis, Eindhoven University, Eindhoven, The Netherlands, 1998. [Google Scholar]
- Rostami, R.; Zarrebini, M.; Sanginabadi, K.; Mostofinejad, D.; Abtahi, S.M.; Fashandi, H. The effect of specific surface area of macro fibers on energy absorption capacity of concrete. J. Text. Instit. 2018, 110, 707–714. [Google Scholar] [CrossRef]
- Saxena, R.; Siddique, S.; Gupta, T.; Sharma, R.K.; Chaudhary, S. Impact resistance and energy absorption capacity of concrete containing plastic waste. Constr. Build. Mater. 2018, 176, 415–421. [Google Scholar] [CrossRef]
- GB/T 25177-2010. Recycled Coarse Aggregate for Concrete; China Architecture and Building Press: Beijing, China, 2010. (In Chinese) [Google Scholar]
- JGJ 55-2011. Specification for Mix Design of Ordinary Concrete; China Architecture and Building Press: Beijing, China, 2011. (In Chinese) [Google Scholar]
- SL 352-2006. Test Code for Hydraulic Concrete; China Water Resources and Hydropower Press: Beijing, China, 2006. (In Chinese) [Google Scholar]
- Omary, S.; Ghorbel, E.; Wardeh, G.; Nguyen, M.D. Mix Design and Recycled Aggregates Effects on the Concrete’s Properties. Int. J. Civ. Eng. 2018, 16, 973–992. [Google Scholar] [CrossRef]
- Lei, B.; Li, Z.X.; Zou, J.; Xiong, J. Durability test of recycled concrete under the coupling action of load and corrosion freeze-thaw. Trans. Chin. Soc. Agric. Eng. (Trans. CSAE) 2018, 34, 169–174. (In Chinese) [Google Scholar]
- Kurad, R.; Silvestre, J.D.; de Brito, J.; Ahmed, H. Effect of incorporation of high volume of recycled concrete aggregates and fly ash on the strength and global warming potential of concrete. J. Clean. Prod. 2017, 166, 485–502. [Google Scholar] [CrossRef]
- Walraven, J.C. Aggregate interlock: A theoretical and experimental investigation. Ph.D. Thesis, College of Civil Engineering of Delft University of Technology, Delft, The Netherlands, 1980. [Google Scholar]
- Walraven, J.C. Fundamental analysis of aggregate interlock. J. Struct. Div. ASCE 1981, 107, 2245. [Google Scholar]
- Gesoglu, M.; Güneyisi, E.; Öz, H.O.; Taha, I.; Yasemin, M.T. Failure characteristics of self-compacting concretes made with recycled aggregates. Constr. Build. Mater. 2015, 98, 334–344. [Google Scholar] [CrossRef]






















| Specific Surface Area (m2/Kg) | Coagulation Time/min | 28d Strength/MPa | Chloride Ion Content/% | Loss on Ignition/% | ||
|---|---|---|---|---|---|---|
| Initial Coagulation | Final Coagulation | Flexural Strength | Compressive Strength | |||
| 348.7 | 176 | 244 | 7.1 | 48.6 | 0.022 | 3.2 |
| Aggregate Type | Particle Size Range/mm | Moisture Content/% | Water Absorption Rate/% | Crushing Index/% | Tight Packing Density/(kg·m−3) | Apparent Density/(kg·m−3) |
|---|---|---|---|---|---|---|
| Natural | 5~20 | 0.23 | 0.65 | 10.07 | 1570.23 | 2722.27 |
| Recycled | 5~20 | 3.85 | 4.98 | 19.63 | 1272.67 | 2493.50 |
| Specimen Type | Replacement Rate of Recycled Aggregate | W/C | Cement | Sand | Coarse Aggregate | Water | ||
|---|---|---|---|---|---|---|---|---|
| Natural | Recycled | Mixed Water | Additional Water | |||||
| RAC-I | 0% | 0.66 | 311 | 735 | 1149 | - | 205 | - |
| 25% | 0.66 | 311 | 735 | 861.5 | 287.5 | 205 | 3.94 | |
| 50% | 0.66 | 311 | 735 | 574.5 | 574.5 | 205 | 7.87 | |
| 75% | 0.66 | 311 | 735 | 287.5 | 861.5 | 205 | 11.80 | |
| 100% | 0.66 | 311 | 735 | - | 1149 | 205 | 15.74 | |
| RAC-II | 0% | 0.49 | 418 | 613 | 1164 | - | 205 | - |
| 25% | 0.49 | 418 | 613 | 873 | 291 | 205 | 4.01 | |
| 50% | 0.49 | 418 | 613 | 582 | 582 | 205 | 8.02 | |
| 75% | 0.49 | 418 | 613 | 291 | 873 | 205 | 12.03 | |
| 100% | 0.49 | 418 | 613 | - | 1164 | 205 | 16.04 | |
| RAC-III | 0% | 0.38 | 539 | 563 | 1143 | - | 205 | - |
| 25% | 0.38 | 539 | 563 | 857.2 | 285.8 | 205 | 3.57 | |
| 50% | 0.38 | 539 | 563 | 571.5 | 571.5 | 205 | 7.88 | |
| 75% | 0.38 | 539 | 563 | 285.8 | 857.2 | 205 | 11.81 | |
| 100% | 0.38 | 539 | 563 | - | 1143 | 205 | 15.75 | |
| Specimen | Peak Stress (MPa) | Peak Strain (10−3) | Elastic Modulus (10−4 MPa) | ||||||||||||
|---|---|---|---|---|---|---|---|---|---|---|---|---|---|---|---|
| Sample 1 | Sample 2 | Sample 3 | Average | St. dev | Sample 1 | Sample 2 | Sample 3 | Average | St. dev | Sample 1 | Sample 2 | Sample 3 | Average | St. dev | |
| RAC-I-0% | −24.74 | −22.98 | −21.44 | −23.03 | 1.651 | −2.318 | −1.677 | −1.948 | −1.981 | 0.321 | 1.692 | 1.898 | 1.501 | 1.697 | 0.198 |
| RAC-I-25% | −23.26 | −22.78 | −21.04 | −22.36 | 1.168 | −2.876 | −2.332 | −2.451 | −2.553 | 0.285 | 1.262 | 1.475 | 1.189 | 1.308 | 0.148 |
| RAC-I-50% | −21.5 | −20.43 | −19.01 | −20.31 | 1.249 | −2.567 | −3.705 | −3.303 | −3.191 | 0.577 | 0.898 | 0.873 | 0.944 | 0.905 | 0.036 |
| RAC-I-75% | −23.32 | −22.01 | −21.69 | −22.34 | 0.863 | −4.18 | −3.619 | −3.016 | −3.605 | 0.582 | 0.94 | 0.973 | 0.982 | 0.965 | 0.022 |
| RAC-I-100% | −28.04 | −24.87 | −22.17 | −25.02 | 2.938 | −3.657 | −4.636 | −3.701 | −3.998 | 0.552 | 0.981 | 0.858 | 0.844 | 0.894 | 0.075 |
| RAC-II-0% | −31.05 | −28.06 | −25.71 | −28.27 | 2.676 | −1.618 | −2.263 | −2.302 | −2.061 | 0.384 | 2.045 | 1.997 | 2.408 | 2.151 | 0.224 |
| RAC-II-25% | −30.63 | −27.44 | −25.44 | −27.83 | 2.617 | −2.778 | −3.408 | −2.914 | −3.033 | 0.331 | 1.62 | 1.66 | 1.386 | 1.555 | 0.148 |
| RAC-II-50% | −27.89 | −26.78 | −21.72 | −25.46 | 3.288 | −3.875 | −3.381 | −2.693 | −3.316 | 0.593 | 0.811 | 0.895 | 0.985 | 0.897 | 0.087 |
| RAC-II-75% | −28.69 | −28.17 | −25.46 | −27.44 | 1.734 | −2.385 | −2.115 | −1.802 | −2.101 | 0.291 | 1.834 | 2.192 | 2.261 | 2.095 | 0.229 |
| RAC-II-100% | −34.47 | −32.73 | −29.87 | −32.35 | 2.322 | −1.871 | −1.448 | −1.88 | −1.733 | 0.246 | 2.546 | 2.876 | 2.159 | 2.527 | 0.358 |
| RAC-III-0% | −45.5 | −40.84 | −38.74 | −41.69 | 3.459 | −1.695 | −2.396 | −2.097 | −2.062 | 0.351 | 2.258 | 2.828 | 2.427 | 2.504 | 0.292 |
| RAC-III-25% | −38.87 | −35.51 | −29.78 | −34.72 | 4.596 | −2.806 | −3.398 | −3.754 | −3.319 | 0.478 | 1.219 | 1.275 | 1.136 | 1.21 | 0.069 |
| RAC-III-50% | −44.06 | −39.81 | −38.09 | −40.65 | 3.071 | −2.989 | −3.23 | −2.42 | −2.879 | 0.415 | 1.948 | 1.786 | 1.748 | 1.827 | 0.106 |
| RAC-III-75% | −44.62 | −42.96 | −37.85 | −41.81 | 3.528 | −2.879 | −2.318 | −3.247 | −2.814 | 0.467 | 1.716 | 1.793 | 2.151 | 1.886 | 0.232 |
| RAC-III-100% | −51.79 | −47.6 | −44.67 | −48.02 | 3.578 | −2.296 | −3.221 | −2.171 | −2.562 | 0.573 | 2.075 | 2.458 | 2.342 | 2.291 | 0.196 |
| Specimen Type | R/% | E/GPa | εa/×10−4 | εh/×10−4 | εb/×10−4 | H |
|---|---|---|---|---|---|---|
| RAC-I | 0 | 17.96 | 0.955 | 2.101 | 5.891 | 0.208 |
| 25 | 13.65 | 0.853 | 3.379 | 7.046 | 0.259 | |
| 50 | 9.22 | 0.572 | 6.309 | 9.662 | 0.366 | |
| 75 | 9.54 | 1.705 | 5.436 | 10.684 | 0.329 | |
| 100 | 8.69 | 2.984 | 5.117 | 12.620 | 0.317 | |
| RAC-II | 0 | 22.3 | 0.877 | 2.207 | 5.623 | 0.231 |
| 25 | 14.05 | 1.770 | 3.913 | 8.510 | 0.258 | |
| 50 | 8.77 | 3.078 | 6.144 | 11.060 | 0.353 | |
| 75 | 19.47 | 1.341 | 3.550 | 7.022 | 0.280 | |
| 100 | 26.24 | 0.597 | 2.909 | 4.908 | 0.197 | |
| RAC-III | 0 | 26.2 | 2.337 | 2.924 | 5.437 | 0.307 |
| 25 | 11.93 | 4.189 | 6.606 | 8.697 | 0.329 | |
| 50 | 18.04 | 2.860 | 5.050 | 7.655 | 0.315 | |
| 75 | 19.07 | 2.787 | 4.917 | 7.591 | 0.297 | |
| 100 | 22.32 | 2.706 | 4.824 | 7.472 | 0.258 |
© 2020 by the authors. Licensee MDPI, Basel, Switzerland. This article is an open access article distributed under the terms and conditions of the Creative Commons Attribution (CC BY) license (http://creativecommons.org/licenses/by/4.0/).
Share and Cite
Bai, W.; Li, W.; Guan, J.; Wang, J.; Yuan, C. Research on the Mechanical Properties of Recycled Aggregate Concrete under Uniaxial Compression Based on the Statistical Damage Model. Materials 2020, 13, 3765. https://doi.org/10.3390/ma13173765
Bai W, Li W, Guan J, Wang J, Yuan C. Research on the Mechanical Properties of Recycled Aggregate Concrete under Uniaxial Compression Based on the Statistical Damage Model. Materials. 2020; 13(17):3765. https://doi.org/10.3390/ma13173765
Chicago/Turabian StyleBai, Weifeng, Wenhao Li, Junfeng Guan, Jianyou Wang, and Chenyang Yuan. 2020. "Research on the Mechanical Properties of Recycled Aggregate Concrete under Uniaxial Compression Based on the Statistical Damage Model" Materials 13, no. 17: 3765. https://doi.org/10.3390/ma13173765
APA StyleBai, W., Li, W., Guan, J., Wang, J., & Yuan, C. (2020). Research on the Mechanical Properties of Recycled Aggregate Concrete under Uniaxial Compression Based on the Statistical Damage Model. Materials, 13(17), 3765. https://doi.org/10.3390/ma13173765

