Morphologies, Young’s Modulus and Resistivity of High Aspect Ratio Tungsten Nanowires
Abstract
1. Introduction
2. Experiment
3. Results and Discussion
3.1. Morphologies of W Nanowires
3.2. Elastic Modulus of W Nanowires
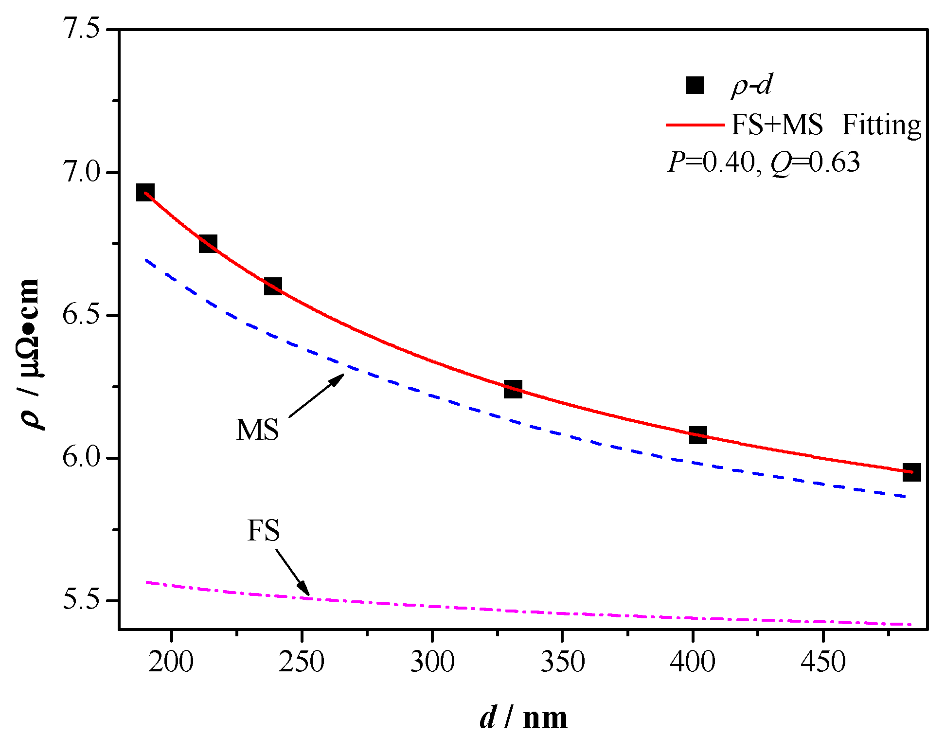
3.3. Electrical Transport Properties of W Nanowires
4. Conclusions
Author Contributions
Funding
Conflicts of Interest
References
- Shi, Q.; He, T.; Lee, C. More than energy harvesting–Combining triboelectric nanogenerator and flexible electronics technology for enabling novel micro-/nano-systems. Nano Energy 2019, 57, 851–871. [Google Scholar] [CrossRef]
- Chen, Y.; He, M.; Tang, J.; Bazan, G.C.; Liang, Z. Flexible Thermoelectric generators with ultrahigh output power enabled by magnetic field–aligned metallic nanowires. Adv. Electron. Mater. 2018, 4, 1800200. [Google Scholar] [CrossRef]
- Kratošová, G.; Holišová, V.; Konvičková, Z.; Ingle, A.P.; Gaikwad, S.; Škrlová, K.; Prokop, A.; Rai, M.; Plachá, D. From biotechnology principles to functional and low-cost metallic bionanocatalysts. Biotechnol. Adv. 2019, 37, 154–176. [Google Scholar] [CrossRef] [PubMed]
- Lee, S.J.; Lee, Y.B.; Lim, Y.R.; Han, J.K.; Jeon, I.S.; Bae, G.; Yoon, Y.; Song, W.; Myung, S.; Lim, J.; et al. High energy electron beam stimulated nanowelding of silver nanowire networks encapsulated with graphene for flexible and transparent electrodes. Sci. Rep. 2019, 9, 9376. [Google Scholar] [CrossRef]
- Wang, S.L.; Zhao, Y.; Lian, H.; Peng, C.; Yang, X.; Gao, Y.; Peng, Y.; Lan, W.; Elmi, O.I.; Stiévenard, D.; et al. Towards all-solution-processed top-illuminated flexible organic solar cells using ultrathin Ag-modified graphite-coated poly (ethylene terephthalate) substrates. Nanophotonics 2019, 8, 297–306. [Google Scholar] [CrossRef]
- Novak, N.; Keil, P.; Frömling, T.; Schader, F.; Martin, A.; Webber, K.; Rödel, J. Influence of metal/semiconductor interface on attainable piezoelectric and energy harvesting properties of ZnO. Acta Materalia 2019, 162, 277–283. [Google Scholar] [CrossRef]
- Wu, Y.; Xu, J.; Jiang, M.; Zhou, X.; Wan, P.; Kan, C. Tailoring the electroluminescence of a single microwire based heterojunction diode using Ag nanowires deposition. CrystEngComm 2020, 22, 2227–2237. [Google Scholar] [CrossRef]
- Nie, M.; Sun, H.; Gao, Z.D.; Li, Q. Co–Ni nanowires supported on porous alumina as an electrocatalyst for the hydrogen evolution reaction. Electrochem. Commun. 2020, 106719. [Google Scholar] [CrossRef]
- Moreno-Moreno, M.; Ares, P.; Moreno, C.; Zamora, F.; Gomez-Navaro, C.; Gomez-Navaro, J. AFM manipulation of gold nanowires to build electrical circuits. Nano Lett. 2019, 19, 5459–5468. [Google Scholar] [CrossRef]
- Shang, H.; Zuo, Z.; Li, Y. Highly Lithiophilic Graphdiyne Nanofilm on 3D Free-Standing Cu Nanowires for High-Energy-Density Electrode. ACS Appl. Mater. Interfaces 2019, 11, 17678–17685. [Google Scholar] [CrossRef]
- Hassel, A.W.; Bello-Rodriguez, B.; Milenkovic, S.; Schneider, A. Electrochemical production of nanopore arrays in a nickel aluminium alloy. Electrochim. Acta 2005, 50, 3033–3039. [Google Scholar] [CrossRef]
- Hassel, A.W.; Smith, A.J.; Milenkovic, S. Nanostructures from directionally solidified NiAl–W eutectic alloys. Electrochim. Acta 2006, 52, 1799–1804. [Google Scholar] [CrossRef]
- Milenkovic, S.; Smith, A.J.; Hassel, A.W. Single crystalline Mo nanowires, nanowire arrays and nanopore arrays in nickel−aluminum. J. Nanosci. Nanotechnol. 2009, 9, 3411–3417. [Google Scholar] [CrossRef] [PubMed]
- Brittman, S.; Smith, A.J.; Milenkovic, S.; Hassel, A.W. Copper nanowires and silver micropit arrays from the electrochemical treatment of a directionally solidified silver–copper eutectic. Electrochim. Acta 2007, 53, 324–329. [Google Scholar] [CrossRef]
- Milenkovic, S.; Schneider, A.; Hassel, A.W. Gold nanostructures by directional solid-state decomposition. Gold Bull. 2006, 39, 185–191. [Google Scholar] [CrossRef][Green Version]
- Cimalla, V.; Röhlig, C.C.; Pezoldt, J.; Niebelschütz, M.; Ambacher, O.; Brückner, K.; Hein, M.; Weber, J.; Milenkovic, S.; Smith, A.J.; et al. Nanomechanics of single crystalline tungsten nanowires. J. Nanomater. 2008, 44. [Google Scholar] [CrossRef]
- Hassel, A.W.; Milenkovic, S.; Smith, A.J. Large scale synthesis of single crystalline tungsten nanowires with extreme aspect ratios. Phys. Status Solidi A 2010, 207, 858–863. [Google Scholar] [CrossRef]
- Gao, J.J.; Zhao, Z.L.; Wei, L.F.; Cui, K. Morphology of W fibers and kinetic undercooling in directionally solidified NiAl–W eutectic alloy. J. Mater. Sci. 2018, 53, 12523–12533. [Google Scholar] [CrossRef]
- Kitaoka, Y.; Tono, T.; Yoshimoto, S.; Hirahara, T.; Hasegawa, S.; Ohba, T. Direct detection of grain boundary scattering in damascene Cu wires by nanoscale four-point probe resistance measurements. Appl. Phys. Lett. 2009, 95, 052110. [Google Scholar] [CrossRef]
- Hu, Z.W.; Wang, M.; Guo, C.W.; Shan, Z.W.; Li, J.; Han, W.Z. Graphene-coated tungsten nanowires deliver unprecedented modulus and strength. Mater. Res. Lett. 2019, 7, 47–52. [Google Scholar] [CrossRef]
- Mudusu, D.; Nandanapalli, K.R.; Dugasani, S.R.; Kang, J.W.; Park, S.H.; Tu, C.W. Electrical properties of polycrystalline and single crystalline nickel layer capped ZnO nanowires. Curr. Appl. Phys. 2017, 17, 1699–1706. [Google Scholar] [CrossRef]
- Wilms, M.; Conrad, J.; Vasilev, K.; Kreiter, M. Manipulation and conductivity measurements of gold nanowires. Appl. Surf. Sci. 2004, 238, 490–494. [Google Scholar] [CrossRef]
- Zhao, Z.L.; Gao, J.J.; Wei, L.F.; Kai, C. Tungsten wires and porous NiAl prepared through directional solidification and selective dissolution. Mater. Manuf. Process. 2017, 32, 1817–1822. [Google Scholar] [CrossRef]
- Haiguo, R.; Wenjia, W.; Jianjun, G.; Guangming, Y.; Zhilong, Z. Directional Solidification Microstructure Control of NiAl-1.5 at% W Eutectic Alloy and Morphology of W Meso-nanowires. Rare Met. Mater. Eng. 2016, 4, 222–226. [Google Scholar]
- Jackson, K.A.; Hunt, J.D. Lamellar and rod eutectic growth. Metall. Soc. AIME 1966, 236, 1129–1142. [Google Scholar]
- Stefanescu, D.M. Science and Engineering of Casting Solidification, 2nd ed.; Springer: New York, NY, USA, 2009; pp. 214–218. [Google Scholar]
- Dong, S.; Hu, P.; Zhang, X.H.; Cheng, Y.; Fang, C.; Xu, J.; Chen, G. Facile synthesis of silicon nitride nanowires with flexible mechanical properties and with diameters controlled by flow rate. Sci. Rep. 2017, 7, 45538. [Google Scholar] [CrossRef]
- Tan, S.; Sherman, R.L.; Ford, W.T. Nanoscale compression of polymer microspheres by atomic force microscopy. Langmuir 2004, 20, 7015–7020. [Google Scholar] [CrossRef]
- Huang, H.; Wu, Y.Q.; Wang, S.L.; He, Y.H.; Zou, J.; Huang, B.; Liu, C.T. Mechanical properties of single crystal tungsten microwhiskers characterized by nanoindentation. Mater. Sci. Eng. A 2004, 523, 193–198. [Google Scholar] [CrossRef]
- Gerberich, W.W.; Yu, W.; Kramer, D.; Strojny, A.; Bahr, D.; Lilleodden, E.; Nelson, J. Elastic loading and elastoplastic unloading from nanometer level indentations for modulus determinations. J. Mater. Res. 1998, 13, 421–439. [Google Scholar] [CrossRef]
- Sohn, Y.S.; Park, J.; Yoon, G.; Song, J.; Jee, S.W.; Lee, J.H.; Na, S.; Kwon, T.; Eom, K. Mechanical properties of silicon nanowires. Nanoscale Res. Lett. 2010, 5, 211–216. [Google Scholar] [CrossRef]
- He, R.; Yang, P. Giant piezoresistance effect in silicon nanowires. Nat. Nanotechnol. 2006, 1, 42. [Google Scholar] [CrossRef] [PubMed]
- Gao, J.J.; Zhao, Z.L.; Wei, L.F.; Cui, K. Microstructure and microhardness of directionally solidified NiAl–W eutectic alloy. Rare Metals 2020, 39, 1174–1180. [Google Scholar] [CrossRef]
- Huang, Q.J.; Lilley, C.M.; Bode, M.; Divan, R. Surface and size effects on the electrical properties of Cu nanowires. J. Appl. Phys. 2008, 104, 023709. [Google Scholar] [CrossRef]
- Tanuma, S.; Powell, C.J.; Penn, D.R. Calculations of electron inelastic mean free paths for 31 materials. Surf. Interface Anal. 1988, 11, 577–589. [Google Scholar] [CrossRef]
- Steinhögl, W.; Schindler, G.; Steinlesberger, G.; Engelhardt, M. Size−dependent resistivity of metallic wires in the mesoscopic range. Phys. Rev. B 2002, 66, 075414. [Google Scholar] [CrossRef]










| Growth Rate V (μm/s) | Diameter d (nm) | Resistance R (Ω) | Number N | Resistivity ρ (μΩ·cm) |
|---|---|---|---|---|
| 2 | 484 | 6.48 | 5 | 5.95 |
| 4 | 402 | 15.96 | 3 | 6.08 |
| 6 | 331 | 10.36 | 7 | 6.24 |
| 8 | 239 | 24.52 | 6 | 6.60 |
| 15 | 214 | 37.56 | 5 | 6.75 |
| 25 | 190 | 61.16 | 4 | 6.93 |
© 2020 by the authors. Licensee MDPI, Basel, Switzerland. This article is an open access article distributed under the terms and conditions of the Creative Commons Attribution (CC BY) license (http://creativecommons.org/licenses/by/4.0/).
Share and Cite
Gao, J.; Luo, J.; Geng, H.; Cui, K.; Zhao, Z.; Liu, L. Morphologies, Young’s Modulus and Resistivity of High Aspect Ratio Tungsten Nanowires. Materials 2020, 13, 3749. https://doi.org/10.3390/ma13173749
Gao J, Luo J, Geng H, Cui K, Zhao Z, Liu L. Morphologies, Young’s Modulus and Resistivity of High Aspect Ratio Tungsten Nanowires. Materials. 2020; 13(17):3749. https://doi.org/10.3390/ma13173749
Chicago/Turabian StyleGao, Jianjun, Jian Luo, Haibin Geng, Kai Cui, Zhilong Zhao, and Lin Liu. 2020. "Morphologies, Young’s Modulus and Resistivity of High Aspect Ratio Tungsten Nanowires" Materials 13, no. 17: 3749. https://doi.org/10.3390/ma13173749
APA StyleGao, J., Luo, J., Geng, H., Cui, K., Zhao, Z., & Liu, L. (2020). Morphologies, Young’s Modulus and Resistivity of High Aspect Ratio Tungsten Nanowires. Materials, 13(17), 3749. https://doi.org/10.3390/ma13173749

