Floating Ni Capping for High-Mobility p-Channel SnO Thin-Film Transistors
Abstract
1. Introduction
2. Experimental Procedure
3. Results and Discussion
4. Conclusions
Author Contributions
Funding
Conflicts of Interest
References
- Nomura, K.; Ohta, H.; Takagi, A.; Kamiya, T.; Hirano, M.; Hosono, H. Room-temperature fabrication of transparent flexible thin-film transistors using amorphous oxide semiconductors. Nature 2004, 432, 488–492. [Google Scholar] [CrossRef]
- Kamiya, T.; Nomura, K.; Hosono, H. Present status of amorphous In-Ga-Zn-O thin-film transistors. Sci. Technol. Adv. Mater. 2010, 11, 044305. [Google Scholar] [CrossRef] [PubMed]
- Lee, S.Y.; Kim, D.H.; Chong, E.; Jeon, Y.W.; Kim, D.H. Effect of channel thickness on density of states in amorphous InGaZnO thin film transistor. Appl. Phys. Lett. 2011, 98, 122105-1–122105-3. [Google Scholar] [CrossRef]
- Kwon, J.Y.; Jeong, J.K. Recent progress in high performance and reliable n-type transition metal oxide-based thin film transistors. Semicond. Sci. Technol. 2015, 30, 024002. [Google Scholar] [CrossRef]
- Park, M.-J.; Yun, D.-J.; Ryu, M.-K.; Yang, J.-H.; Pi, J.-E.; Kwon, O.-S.; Kim, G.H.; Hwang, C.-S.; Bak, J.-Y.; Yoon, S.-M. Improvements in the bending performance and bias stability of flexible InGaZnO thin film transistors and optimum barrier structures for plastic poly(ethylene naphthalate) substrates. J. Mater. Chem. C 2015, 3, 4779–4786. [Google Scholar] [CrossRef]
- Noviyana, I.; Lestari, A.D.; Putri, M.; Won, M.-S.; Bae, J.-S.; Heo, Y.-W.; Lee, H.Y. High mobility thin film transistors based on amorphous indium zinc tin oxide. Materials 2017, 10, 702. [Google Scholar] [CrossRef] [PubMed]
- Tai, Y.-H.; Chou, L.-S.; Chiu, H.-L.; Chen, B.-C. Three-transistor AMOLED pixel circuit with threshold voltage compensation function using dual-gate IGZO TFT. IEEE Electron. Device Lett. 2012, 33, 393–395. [Google Scholar] [CrossRef]
- Kim, Y.; Kim, Y.; Lee, H. A novel a-InGaZnO TFT pixel circuit for AMOLED display with the enhanced reliability and aperture ratio. IEEE Electron. Device Lett. 2013, 10, 80–83. [Google Scholar] [CrossRef]
- Lin, C.-L.; Chen, P.-S.; Lai, P.-C.; Hsu, C.-C.; Chang, J.-H. Amorphous IGZO TFT-based pixel buffer to suppress blue-phase liquid crystal high-frequency effect. IEEE Electron. Device Lett. 2017, 38, 1673–1675. [Google Scholar] [CrossRef]
- Chen, J.-W.; Hu, Y.-F.; Chen, Z.-J.; Zhou, L.; Wu, W.-J.; Zou, J.-H.; Xu, M.; Wang, L.; Peng, J.-B. A low-power gate driver integrated by IZO TFTs employing single negative power source. Semicond. Sci. Technol. 2018, 33, 065006. [Google Scholar] [CrossRef]
- Nomura, K.; Aoki, T.; Nakamura, K.; Kamiya, T.; Nakanishi, T.; Hasegawa, T.; Kimura, M.; Kawase, T.; Hirano, M.; Hosono, H. Three-dimensionally stacked flexible integrated circuit: Amorphous oxide/polymer hybrid complementary inverter using n-type a-In-Ga-Zn-O and p-type poly-(9, 9-dioctylfluorene-co-bithiophene) thin-film transistors. Appl. Phys. Lett. 2010, 96, 263509. [Google Scholar] [CrossRef]
- Nayak, P.K.; Caraveo-Frescas, J.A.; Wang, Z.; Hedhili, M.N.; Wang, Q.X.; Alshareef, H.N. Thin film complementary metal oxide semiconductor (CMOS) device using a single-step deposition of the channel layer. Sci. Rep. 2014, 4, 1–7. [Google Scholar] [CrossRef] [PubMed]
- Zhang, J.; Yang, J.; He, J.-C.; Hsu, S.-M.; Lee, C.-C.; Su, D.-Y.; Tasi, F.-Y.; Cheng, I.-C. Flexible complementary oxide–semiconductor-based circuits employing n-Channel ZnO and p-Channel SnO thin-film transistors. IEEE Electron. Device Lett. 2016, 37, 46–49. [Google Scholar] [CrossRef]
- Li, Y.; Zhang, J.; Yang, J.; Yuan, Y.; Hu, Z.; Lin, Z.; Song, A.; Xin, Q. Complementary Integrated Circuits Based on n-Type and p-Type Oxide Semiconductors for Applications Beyond Flat-Panel Displays. IEEE Electron. Device Lett. 2019, 66, 950–956. [Google Scholar] [CrossRef]
- Zhang, J.; Yang, J.; Li, Y.; Wlison, J.; Ma, X.; Xin, Q.; Song, A. High performance complementary circuits based on p-SnO and n-IGZO thin film transistors. Materials 2017, 10, 319. [Google Scholar] [CrossRef] [PubMed]
- Zou, X.; Fang, G.; Yuan, L.; Li, M.; Guan, W.; Zhao, X. Top-gate low-threshold voltage p-Cu2O thin-film transistor grown on SiO2/Si substrate using a high-k HfON gate dielectric. IEEE Electron. Device Lett. 2010, 31, 827–829. [Google Scholar] [CrossRef]
- Yao, Z.Q.; Liu, S.L.; Zhang, L.; He, B.; Kumar, A.; Jiang, X.; Zhang, W.J.; Shao, G. Room temperature fabrication of p-channel Cu2O thin-film transistors on flexible polyethylene terephthalate substrates. Appl. Phys. Lett. 2012, 101, 042114. [Google Scholar] [CrossRef]
- Sung, S.-Y.; Kim, S.-Y.; Jo, K.-M.; Lee, J.-H.; Kim, J.-J.; Kim, S.-G.; Chai, K.-H.; Pearton, S.J.; Norton, D.P.; Heo, Y.-W. Fabrication of p-channel thin-film transistors using CuO active layers deposited at low temperature. Appl. Phys. Lett. 2010, 97, 222109. [Google Scholar] [CrossRef]
- Maeng, W.; Lee, S.-H.; Kwon, J.-D.; Park, J.; Park, J.-S. Atomic layer deposited p-type copper oxide thin films and the associated thin film transistor properties. Ceram. Int. 2016, 42, 5517–5522. [Google Scholar] [CrossRef]
- Liu, A.; Liu, G.; Zhu, H.; Shin, B.; Fortunato, E.; Martins, R.; Shan, F. Hole mobility modulation of solution-processed nickel oxide thin-film transistor based on high-k dielectric. Appl. Phys. Lett. 2016, 108, 233506. [Google Scholar] [CrossRef]
- Lee, C.-T.; Chen, C.-C.; Lee, H.-Y. Three dimensional-stacked complementary thin-film transistors using n-type Al:ZnO and p-type NiO thin-film transistors. Sci. Rep. 2018, 8, 3968. [Google Scholar] [CrossRef]
- Lin, T.; Li, X.; Jang, J. High performance p-type NiOx thin-film transistor by Sn doping. Appl. Phys. Lett. 2016, 108, 233503. [Google Scholar] [CrossRef]
- Lee, C.-T.; Lin, Y.-H. P-type ZnO thin-film transistors and passivation using photoelectrochemical oxidation method. Appl. Phys. Exp. 2014, 7, 076502-1–076502-3. [Google Scholar] [CrossRef]
- Hsu, P.-C.; Chen, W.-C.; Tasi, Y.-T.; Tsai, Y.-T.; Kung, Y.-C.; Chang, C.-H.; Hsu, C.-J.; Wu, C.-C.; Hsieh, H.-H. Fabrication of p-Type SnO thin-film transistors by sputtering with practical metal electrodes. Jpn. J. Appl. Phys. 2013, 52, 05DC07. [Google Scholar] [CrossRef]
- Caraveo-Frescas, J.A.; Nayak, P.K.; Al-Jawhari, H.A.; Granato, D.B.; Schwingenschlögl, U.; Alshareef, H.N. Record mobility in transparent p-type tin monoxide films and devices by phase engineering. ACS Nano 2013, 77, 5160–5167. [Google Scholar] [CrossRef] [PubMed]
- Kim, J.-Y.; Bae, B.; Yun, E.-J. Effects of Post-Annealing on the Electrical Properties of Sputter-Deposited SnO Thin-Film Transistors. Sci. Adv. Mater. 2016, 8, 272–277. [Google Scholar] [CrossRef]
- Ogo, Y.; Hiramatsu, H.; Nomura, K.; Yanagi, H.; Kamiya, T.; Hirano, M.; Hosono, H. p-channel thin-film transistor using p-type oxide semiconductor, SnO. Appl. Phys. Lett. 2008, 93, 032113. [Google Scholar] [CrossRef]
- Hwang, S.; Kim, Y.Y.; Lee, J.H.; Seo, D.K.; Lee, J.Y.; Cho, H.K. Irregular electrical conduction types in tin oxide thin films induced by nanoscale phase separation. J. Am. Ceram. Soc. 2011, 95, 324–327. [Google Scholar] [CrossRef]
- Ogo, Y.; Hiramatsu, H.; Nomura, K.; Yanagi, H.; Kamiya, T.; Kimura, M.; Hirano, M.; Hosono, H. Tin monoxide as an s-orbital-based p-type oxide semiconductor: Electronic structures and TFT application. Phys. Status Solid. A 2009, 206, 2187–2191. [Google Scholar] [CrossRef]
- Bae, S.-D.; Kwon, S.-H.; Jeong, H.-S.; Kwon, H.-I. Demonstration of high-performance p-type tin oxide thin-film transistors using argon plasma surface treatments. Semicond. Sci. Technol. 2017, 32, 075006. [Google Scholar] [CrossRef]
- Azmi, A.; Lee, J.; Gim, T.J.; Choi, R.; Jeong, J.K. Performance Improvement of p-Channel Tin Monoxide Transistors with a Solution-Processed Zirconium Oxide Gate Dielectric. IEEE Electron. Device Lett. 2017, 38, 1543–1546. [Google Scholar] [CrossRef]
- Qu, Y.; Yang, J.; Li, Y.; Zhang, J.; Wang, Q.; Song, A.; Xin, Q. Organic and inorganic passivation of p-type SnO thin-film transistors with different active layer thicknesses. Semicond. Sci. Technol. 2018, 33, 075001. [Google Scholar] [CrossRef]
- Zan, H.-W.; Chen, W.-T.; Yeh, C.-C.; Hsueh, H.-W.; Tasi, C.-C.; Meng, H.-F. Dual gate indium-gallium-zinc-oxide thin film transistor with an unisolated floating metal gate for threshold voltage modulation and mobility enhancement. Appl. Phys. Lett. 2011, 98, 153506. [Google Scholar] [CrossRef]
- Zan, H.-W.; Yeh, C.-C.; Meng, H.-F.; Tasi, C.-C.; Chen, L.-H. Achieving High Field-Effect Mobility in Amorphous Indium-Gallium-Zinc Oxide by Capping a Strong Reduction Layer. Adv. Mater. 2012, 24, 3509–3514. [Google Scholar] [CrossRef] [PubMed]
- Kim, K.T.; Kim, J.; Kim, Y.-H.; Park, S.K. In-Situ Metallic Oxide Capping for High Mobility Solution-Processed Metal Oxide TFTs. IEEE Electron. Device Lett. 2014, 35, 850–852. [Google Scholar] [CrossRef]
- Choi, J.Y.; Kim, S.; Kim, D.H.; Lee, S.Y. Role of metal capping layer on highly enhanced electrical performance of In-free Si-Zn-Sn-O thin film transistor. Thin Solid Films 2015, 594, 293–298. [Google Scholar] [CrossRef]
- Lee, B.H.; Sohn, A.; Kim, S.; Lee, S.Y. Mechanism of carrier controllability with metal capping layer on amorphous oxide SiZnSnO semiconductor. Sci. Rep. 2019, 9, 886. [Google Scholar] [CrossRef]
- Cho, I.T.; Myeonghun, U.; Song, S.H.; Lee, J.H.; Kwon, H.I. Effects of air-annealing on the electrical properties of p-type tin monoxide thin-film transistors. Semicond. Sci. Technol. 2014, 29, 045001. [Google Scholar] [CrossRef]
- Han, Y.-J.; Choi, Y.-J.; Cho, I.-T.; Jin, S.H.; Lee, J.-H.; Kwon, H.-I. Improvement of Long-Term Durability and Bias Stress Stability in p-Type SnO Thin-Film Transistors Using a SU-8 Passivation Layer. IEEE Electron. Device Lett. 2014, 35, 1260–1262. [Google Scholar] [CrossRef]
- Jiang, Y.-H.; Chiu, I.-C.; Kao, P.-K.; He, J.-C.; Wu, Y.-H.; Yang, Y.-J.; Hsu, C.-C.; Cheng, I.-C.; Chen, J.-Z. Influence of rapid-thermal-annealing temperature on properties of rf-sputtered SnOx thin films. Appl. Surf. Sci. 2015, 327, 358–363. [Google Scholar] [CrossRef]
- Bozso, F.; Arias, J.M.; Hanrahan, C.P.; Yates, J.T., Jr.; Metiu, H.; Martin, R.M. A surface penning ionization study of NH3 on Ni (111). Surf. Sci. 1984, 138, 488–504. [Google Scholar] [CrossRef]
- Park, S.; Colombo, L.; Nishi, Y.; Cho, K. Ab initio study of metal gate electrode work function. Appl. Phys. Lett. 2005, 86, 073118. [Google Scholar] [CrossRef]
- Xu, Y.; Liu, C.; Amegadez, P.S.K.; Ryu, G.-S.; Wei, H.; Balestra, F.; Ghibaudo, G.; Noh, Y.-Y. On the origin of improved charge transport in double-gate In-Ga-Zn-O thin-film transistors: A low-frequency noise perspective. IEEE Electron. Device Lett. 2015, 36, 1040–1043. [Google Scholar] [CrossRef]
- Zhong, C.-W.; Lin, H.-C.; Liu, K.-C.; Huang, T.-Y. Improving electrical performances of p-type SnO thin-film transistors using double-gated structure. IEEE Electron. Device Lett. 2015, 36, 1053–1055. [Google Scholar] [CrossRef]
- Qiang, L.; Liu, W.; Pei, Y.; Wang, G.; Yao, R. Trap states extraction of p-channel SnO thin-film transistors based on percolation and multiple trapping carrier conductions. Solid-State Electron. 2017, 129, 163–167. [Google Scholar] [CrossRef]






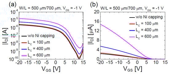
| w/o Ni Capping | Lc = 100 μm | Lc = 400 μm | Lc = 600 μm | |
|---|---|---|---|---|
| μFE (cm2/V·s) | 1.7 | 1.9 | 4.0 | 10.5 |
| SS (V/decade) | 3.1 | 2.9 | 2.8 | 2.5 |
| VTH (V) | 5.2 | 5.4 | 5.8 | 6.1 |
| VON (V) | 12.5 | 12.6 | 12.9 | 13.2 |
© 2020 by the authors. Licensee MDPI, Basel, Switzerland. This article is an open access article distributed under the terms and conditions of the Creative Commons Attribution (CC BY) license (http://creativecommons.org/licenses/by/4.0/).
Share and Cite
Shin, M.-G.; Bae, K.-H.; Cha, H.-S.; Jeong, H.-S.; Kim, D.-H.; Kwon, H.-I. Floating Ni Capping for High-Mobility p-Channel SnO Thin-Film Transistors. Materials 2020, 13, 3055. https://doi.org/10.3390/ma13143055
Shin M-G, Bae K-H, Cha H-S, Jeong H-S, Kim D-H, Kwon H-I. Floating Ni Capping for High-Mobility p-Channel SnO Thin-Film Transistors. Materials. 2020; 13(14):3055. https://doi.org/10.3390/ma13143055
Chicago/Turabian StyleShin, Min-Gyu, Kang-Hwan Bae, Hyun-Seok Cha, Hwan-Seok Jeong, Dae-Hwan Kim, and Hyuck-In Kwon. 2020. "Floating Ni Capping for High-Mobility p-Channel SnO Thin-Film Transistors" Materials 13, no. 14: 3055. https://doi.org/10.3390/ma13143055
APA StyleShin, M.-G., Bae, K.-H., Cha, H.-S., Jeong, H.-S., Kim, D.-H., & Kwon, H.-I. (2020). Floating Ni Capping for High-Mobility p-Channel SnO Thin-Film Transistors. Materials, 13(14), 3055. https://doi.org/10.3390/ma13143055
