Determination of Mortar Strength in Historical Brick Masonry Using the Penetrometer Test and Double Punch Test
Abstract
1. Introduction
2. Experimental Research of Historical Mortars
2.1. Scope of Research
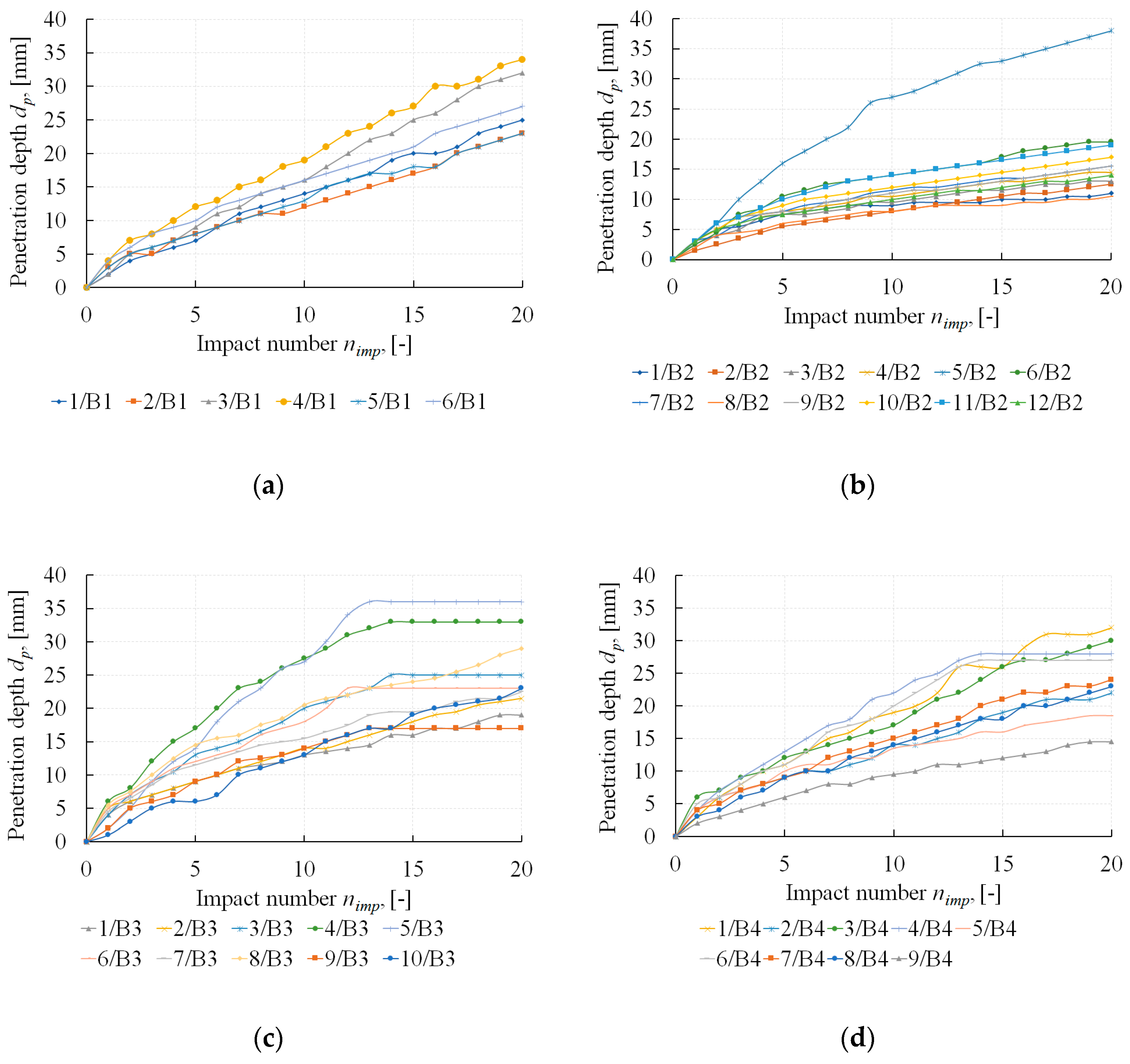
2.2. In Situ Tests Using Penetrometer (PT)
2.3. The Double Punch Tests (DPT)
3. Discussion of Test Results
4. Summary
Author Contributions
Funding
Acknowledgments
Conflicts of Interest
References
- Segura, J.; Pelà, L.; Roca, P. Influence of geometry of cylindrical samples in the mechanical characterization of existing brickwork. In Structural Analysis of Historical Constructions; Springer: Cham, Switzerland, 2019; Volume 18, pp. 549–557. [Google Scholar] [CrossRef]
- Sassoni, E.; Mazzotti, C.; Pagliai, G. Comparison between experimental methods for evaluating the compressive strength of existing masonry buildings. Constr. Build. Mater. 2014, 68, 206–219. [Google Scholar] [CrossRef]
- Sassoni, E.; Mazzotti, C. The use of small diameter cores for assessing the compressive strength of clay brick masonries. J. Cult. Herit. 2013, 14, 95–101. [Google Scholar] [CrossRef]
- Brencich, A.; Sterpi, E. Compressive strength of solid clay brick masonry: Calibration of experimental tests and theoretical issues. In Proceedings of the 5th International Conference on Structural Analysis of Historical Constructions, New Delhi, India, 6–8 November 2006; pp. 757–765. [Google Scholar]
- Cescatti, E.; Dalla Benetta, M.; Modena, C.; Casarin, F. Analysis and evaluations of flat jack on a wide existing masonry buildings sample. In Brick and Block Masonry–Trends, Innovations and Challenges; Taylor & Francis Group: London, UK, 2016. [Google Scholar]
- Guadagnuolo, M.; Aurilio, M.; Basile, A.; Faella, G. Modulus of elasticity and compressive strength of tuff masonry: Results of a wide set of flat-jack tests. Buildings 2020, 10, 84. [Google Scholar] [CrossRef]
- Domingues, J.C.; Ferreira, T.M.; Vicente, R.; Negrao, J. Mechanical and typological characterization of traditional stone masonry walls in old urban centres: A case study in Viseu, Portugal. Buildings 2019, 9, 18. [Google Scholar] [CrossRef]
- Łątka, D.; Matysek, P. The estimation of compressive stress level in brick masonry using the flat-jack method. Procedia Eng. 2017, 93, 266–272. [Google Scholar] [CrossRef]
- Lumantarna, R.; Biggs, D.T.; Ingham, J.M. Uniaxial compressive strength and stiffness of field extracted and laboratory constructed masonry prisms. J. Mater. Civ. Eng. 2014, 25, 567–575. [Google Scholar] [CrossRef]
- Matysek, P.; Witkowski, M. Compressive tests of historical brick masonry–case study of the Archduke Rudolf Casern buildings. Int. J. Archit. Herit. 2019, in press. [Google Scholar] [CrossRef]
- Matysek, P.; Witkowski, M. A comparative study on the compressive strength of bricks from different historical periods. Int. J. Archit. Herit. 2016, 10, 396–405. [Google Scholar] [CrossRef]
- Fódi, A. Effects influencing the compressive strength of a solid, fired clay brick. Period. Polytech. 2011, 55, 117–128. [Google Scholar] [CrossRef]
- Beben, D.; Ukleja, J.; Maleska, T.; Anigacz, W. Study on the restoration of a masonry arch viaduct: Numerical and lab tests. Materials 2020, 13, 1846. [Google Scholar] [CrossRef]
- EN 1015-11 Methods of Test for Mortar for Masonry–Part 11: Determination of Flexural and Compressive Strength of Hardened Mortar, European Committee for Standardization; CEN: Brussels, Belgium, 2007.
- Benedetti, A.; Pelà, L. Experimental characterization of mortar by testing on small specimens. In Proceedings of the 15th International Brick Block Masonry Conference, Florianópolis, Brazil, 3–6 June 2012; pp. 1–10. [Google Scholar]
- Henzel, J.; Karl, S. Determination of strength of mortar in the joints of masonry by compression tests on small specimens. Darmstadt Concr. 1987, 2, 123–136. [Google Scholar]
- Gucci, N.; Barsotti, R. A non-destructive technique for the determination of mortar load capacity in situ. Mater. Struct. 1995, 28, 276–283. [Google Scholar] [CrossRef]
- Pelà, L.; Roca, P.; Aprile, A. Comparison of MDT techniques for mechanical characterization of historical masonry. In Proceedings of the 10th International Conference on Structural Analysis of Historical Constructions, Leuven, Belgium, 13–15 September 2016; pp. 769–775. [Google Scholar]
- Marastoni, D.; Pelà, L.; Benedetti, A.; Roca, P. Combining Brazilian Tests on masonry cores and Double Punch Tests for the mechanical characterization of historical mortars. Constr. Build. Mater. 2016, 112, 112–127. [Google Scholar] [CrossRef]
- Matysek, P.; Seręga, S.; Kańka, S. Determination of the mortar strength using double punch testing. Procedia Eng. 2017, 193, 104–111. [Google Scholar] [CrossRef]
- Pelà, L.; Roca, P.; Aprile, A. Combined in-situ and laboratory minor destructive testing of historical mortars. Int. J. Archit. Herit. 2018, 12, 334–349. [Google Scholar] [CrossRef]
- Van Parys, L.; Dagrain, F.; Descamps, T.; Coudyzer, C. Scratching test for compressive strength determination: Method and preliminary results on historic mortars. In Proceedings of the 7th International Masonry Conference, London, UK, 30 October–1 November 2006. [Google Scholar]
- Łątka, D.; Matysek, P. Assessment of the compressive strength of lime mortar in the joints of brick walls—Case study. Matec Web Conf. 2018, 163, 02006. [Google Scholar] [CrossRef][Green Version]
- Sassoni, E.; Mazzotti, C. Assessment of masonry mortar compressive strength by double punch test: The influence of mortar porosity. In Proceedings of the International Conference Built Heritage 2013 Monitoring Conservation Management, Milan, Italy, 18–20 November 2013; pp. 996–1002. [Google Scholar]
- Slivinskas, T.; Jonaitis, B.; Zavalis, R. Mortar compressive strength estimation by applying various experimental test methods. Procedia Eng. 2017, 172, 1123–1128. [Google Scholar] [CrossRef]
- Drdácký, M.; Makšìn, D.; Mekonone, M.D.; Slížková, Z. Compression tests on non-standard historic mortar specimens. In Proceedings of the Historic Mortar Conference—Characterization, Diagnosis, Conservation, Repair and Compatibility, Lisbon, Portugal, 24–26 September 2008. [Google Scholar]
- Drdácký, M. Non-Standard Testing of Mechanical Characteristics of Historic Mortars. Int. J. Archit. Herit. 2011, 4, 383–394. [Google Scholar] [CrossRef]
- Jurina, L. La caratterizzazione meccanica delle murature. Parte prima: Prove penetrometriche. In Proceedings of the IX Seminario Internazionale CIAS–Evoluzione nella sperimentazione per le costruzioni, Nicosia, Cyprus, 21–28 April 2007. [Google Scholar]
- RILEM Recommendation. MS-D.9: Determination of mortar strength by the screw (helix) pull-out method. Mater. Struct. 1997, 30, 325–327. [Google Scholar]
- Vekey, R.C. In situ test for masonry. In Proceedings of the 9th International Brick/Block Masonry Conference, Berlin, Germany, 13–16 October 1991. [Google Scholar]
- Liberatore, D.; Masini, N.; Sorrentino, L.; Racina, V.; Frezza, L.; Soleo, M. A static penetration test for masonry mortar. In Proceedings of the 9th International Conference on Structural Analysis of Historical Constructions, Mexico City, Mexico, 14–17 October 2014. [Google Scholar]
- Slivinskas, T. Mūro skiedinio gulsčiojoje siūlėje gniuždomojo stiprio tyrimų metodų analizė. StatybaTransp. Aviac. Technol. 2014, 6, 514–519. [Google Scholar] [CrossRef]
- Gądek, K.; Dudzik, M.; Strek, A. Novel Three-Head Ultrasonic System for Distance Measurements Based on the Correlation Method. Meas. Sci. Rev. 2014, 14, 331–336. [Google Scholar] [CrossRef]
- Penetrometro Malta SRM 1.0 User Manual—2015. Retrieved 5 February 2017. Available online: www.drcitalia.it/en (accessed on 5 February 2018).
- DIN. 18555-9:2019-04, Prüfung von Mörteln mit Mineralischen Bindemitteln—Teil 9: Festmörtel; Bestimmung der Fugendruckfestigkeit; DIN: Berlin, Germany, 2019. [Google Scholar]
- UIC. 778-3 Recommendations for the Inspection, Assessment and Maintenance of Masonry Arch Bridges; International Union of Railways: Paris, France, 2008. [Google Scholar]
- EN 1996-1-1 Eurocode 6—Design of Masonry Structures—Part 1-1: General Rules for Reinforced and Unreinforced Masonry Structures; CEN: Brussels, Belgium, 2005.
- Sassoni, E.; Franzoni, E.; Mazzotti, C. Influence of sample thickness and capping on characterization of bedding mortars from historic masonries by double punch test (DPT). Key Eng. Mater. 2015, 624, 322–329. [Google Scholar] [CrossRef]










| Building Symbol | Building Function | Number of Stories | Construction Year | Wall Material |
|---|---|---|---|---|
| B1 | warehouse | 1 | 1882 | brick masonry |
| B2 | manufacturing hall | 1 | 1907 | brick masonry |
| B3 | tenement house | 2 + 1 1 | 1909 | brick masonry |
| B4 | tenement house | 2 + 1 1 | 1910 | brick masonry |
| Building | Number of Specimens (pcs.) | Average Mortar Specimen Thickness 1 (mm) | fDPT | |||
|---|---|---|---|---|---|---|
| Value Range (MPa) | Average Value (MPa) | Standard Deviation (MPa) | Coefficient of Variation (–) | |||
| B1 | 8 | 20.7 (25.7) | 1.02–2.80 | 1.98 | 0.52 | 0.26 |
| B2 | 9 | 15.1 (19.0) | 3.10–4.46 | 3.59 | 0.47 | 0.13 |
| B3 | 9 | 17.1 (23.2) | 0.92–2.06 | 1.48 | 0.33 | 0.22 |
| B4 | 12 | 16.8 (20.5) | 1.33–2.69 | 2.00 | 0.44 | 0.22 |
| Building | Δdp (5) (mm) | |||
|---|---|---|---|---|
| 1–5 | 6–10 | 11–15 | 16–20 | |
| B1 | (7.0–12.0) 9.0 | (5.0–7.0) 6.3 | (5.0–9.0) 6.3 | (5.0–7.0) 6.0 |
| B2 | (5.5–10.5) 8.0 | (1.5–4.0) 2.7 | (1.0–3.0) 2.2 | (1.5–2.5) 2.1 |
| B3 | (6.0–14.5) 10.5 | (4.0–7.0) 6.1 | (3.0–7.0) 5.0 | (3.0–5.0) 4.1 |
| B4 | (6.0–12.0) 9.4 | (3.5–8.0) 5.1 | (2.5–9.0) 5.1 | (2.5–8.0) 4.4 |
| Building | zp,z (mm) | nimp,z (mm) | ||
|---|---|---|---|---|
| Value Range | Average Value | Value Range | Average Value 1 | |
| B1 | 5–16 | 11.2 | 2–10 | 7.0 (7) |
| B2 | 6–11 | 9.1 | 5–9 | 6.5 (7) |
| B3 | 10–18 | 14.5 | 7–9 | 7.8 (8) |
| B4 | 8–15 | 11.4 | 4–10 | 6.7 (7) |
| Building | fm1 (MPa) | |
|---|---|---|
| Value Range | Average Value | |
| B1 | 1.0–1.9 | 1.5 |
| B2 | 2.5–3.7 | 2.9 |
| B3 | 1.2–2.3 | 1.7 |
| B4 | 0.9–2.8 | 1.9 |
| Building | t2/Øs (–) | fm2 (MPa) |
|---|---|---|
| B1 | 1.29 | 1.9 |
| B2 | 0.95 | 2.8 |
| B3 | 1.16 | 1.4 |
| B4 | 1.03 | 1.7 |
© 2020 by the authors. Licensee MDPI, Basel, Switzerland. This article is an open access article distributed under the terms and conditions of the Creative Commons Attribution (CC BY) license (http://creativecommons.org/licenses/by/4.0/).
Share and Cite
Łątka, D.; Matysek, P. Determination of Mortar Strength in Historical Brick Masonry Using the Penetrometer Test and Double Punch Test. Materials 2020, 13, 2873. https://doi.org/10.3390/ma13122873
Łątka D, Matysek P. Determination of Mortar Strength in Historical Brick Masonry Using the Penetrometer Test and Double Punch Test. Materials. 2020; 13(12):2873. https://doi.org/10.3390/ma13122873
Chicago/Turabian StyleŁątka, Dawid, and Piotr Matysek. 2020. "Determination of Mortar Strength in Historical Brick Masonry Using the Penetrometer Test and Double Punch Test" Materials 13, no. 12: 2873. https://doi.org/10.3390/ma13122873
APA StyleŁątka, D., & Matysek, P. (2020). Determination of Mortar Strength in Historical Brick Masonry Using the Penetrometer Test and Double Punch Test. Materials, 13(12), 2873. https://doi.org/10.3390/ma13122873

