Influence of Geometric Imperfections on Buckling Resistance of Reinforcing Bars during Inelastic Deformation
Abstract
1. Introduction
2. Literature Review
2.1. Bucking Form of the Rebar
2.2. Deformation of the Rebar
2.3. Inelastic Buckling of Reinforcing Bars
3. Description of the Numerical Analyses
3.1. Aim and Scope of Research
3.2. Reinforcing Bars Models
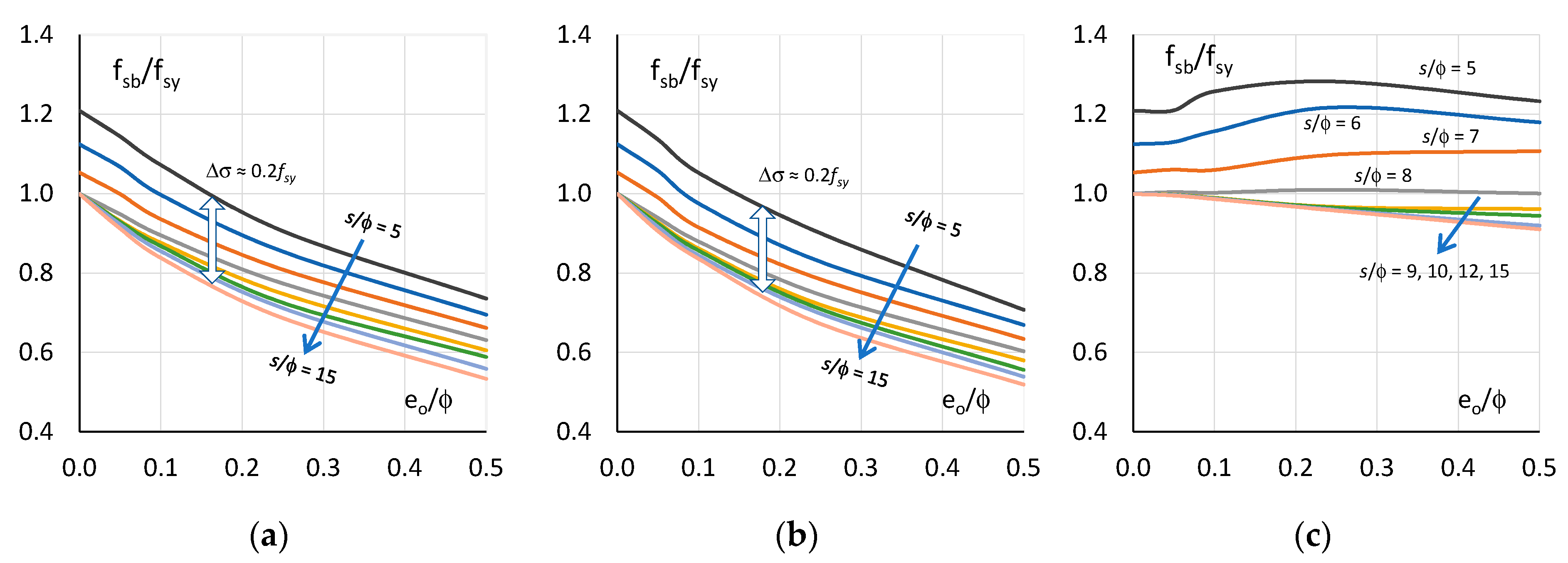
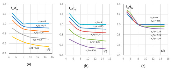
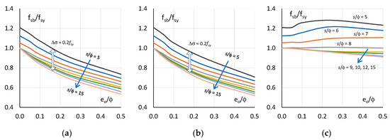
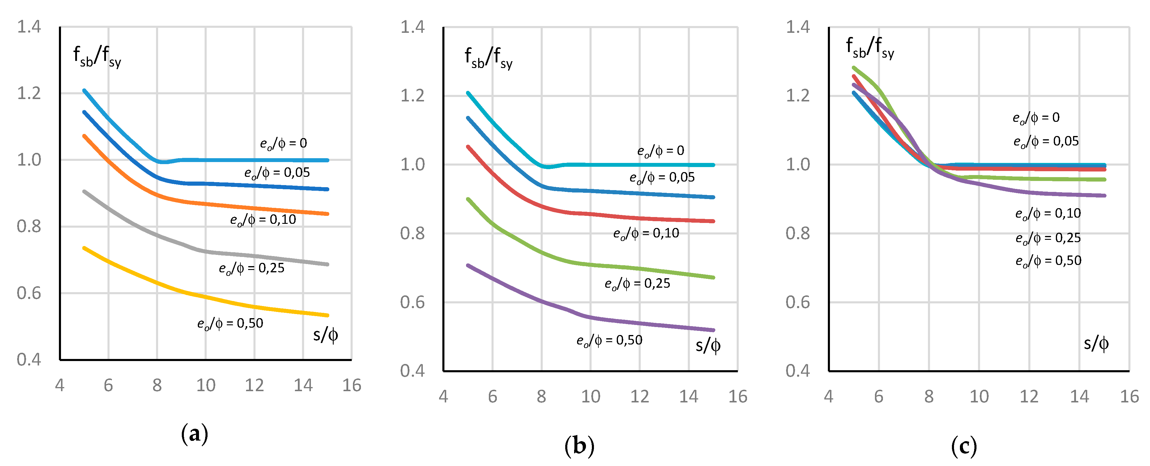
3.3. Results of the Analyses
3.4. Analysis and Summary of Results
4. Conclusions
Funding
Conflicts of Interest
References
- EN 1992-1-1: Eurocode 2: Design of Concrete Structures: General Rules and Rules for Buildings (Part 1-1); National Standards Authority of Ireland: Dublin, Ireland, 2004.
- EN 1998-1: Eurocode 8: Design of Structures for Earthquake Resistance: General Rules, Seismic Actions and Rules for Buildings (Part 1); National Standards Authority of Ireland: Dublin, Ireland, 2004.
- Scribner, C.F. Reinforcement buckling in reinforced concrete flexural members. ACI J. 1986, 83, 966–973. [Google Scholar]
- Wallace, J.W.; Massone, L.M.; Bonelli, P.; Dragovich, J.; Lagos, R.; Lüders, C.; Moehle, J. Damage and Implications for seismic design of RC structural wall buildings. Earthq. Spectra 2012, 28, 281–299. [Google Scholar] [CrossRef]
- Massone, M.; López, E.E. Modeling of reinforcement global buckling in RC elements. Eng. Struct. 2014, 59, 484–494. [Google Scholar] [CrossRef]
- Isler, O. Seismic performance and typical damages of beam-column joints in the RC building. In Proceedings of the 14th Word Conference on Earthquake Engineering, Beijing, China, 12–17 October 2008. [Google Scholar]
- Ates, S.; Kahya, V.; Yurdakul, M.; Adanur, S. Damages on reinforced concrete building due to consecutive in Van. Soil Dyn. Earthq. Eng. 2013, 53, 109–118. [Google Scholar] [CrossRef]
- Doğan, G.; Arslan, M.H. Failure modes of RC columns under loading. Int. J. Sci. Eng. Res. 2016, 7, 1279–1300. [Google Scholar]
- Mortezaei, A.; Kheyroddin, A.; Amiri, G.G. Influence of external steel palates on the characteristics of existing RC columns under near field ground motion. In Proceedings of the 14th Word Conference on Earthquake Engineering, Beijing, China, 12–17 October 2008. [Google Scholar]
- Eom, T.S.; Park, H.G.; Kang, S.M.; Jin, J.M.; Ahn, H.B. Continuous hoops for transverse reinforcement of reinforced concrete column. In Proceedings of the 2013 World Congress on Advances in Structural Engineering and Mechanics (ASEM13), Jeju, Korea, 8–12 September 2013; pp. 2657–2671. [Google Scholar]
- Tripathi, M.; Dhakal, R.P.; Dashti, F. Bar buckling in dctile RC walls with different boundary detailing: Experimental investigation. Eng. Struct. 2019, 198, 109544. [Google Scholar] [CrossRef]
- Moyer, M.J.; Kowalsky, M.J. Influence of tension strain buckling of reinforcement in concrete columns. ACI Struct. J. 2003, 100, 75–85. [Google Scholar]
- Berry, M.P.; Eberhard, M.O. Practical performance model for bar buckling. J. Struct. Eng. 2005, 131, 1060–1070. [Google Scholar] [CrossRef]
- Dhakal, R.P.; Maekawa, K. Modeling for postyield buckling of reinforcement. J. Struct. Eng. 2002, 128, 1139–1147. [Google Scholar] [CrossRef]
- Zhang, S.; Liu, J. Seismic behavior and strength of square tube confined reinforced-concrete (STRC) columns. J. Constr. Steel Res. 2007, 63, 1194–1207. [Google Scholar] [CrossRef]
- Allos, A.E.; Martin, L.H. Factors affecting Poison’s ratio for concrete. Build. Environ. 1981, 16, 1–9. [Google Scholar] [CrossRef]
- Ferretti, E. On poisson’s ratio and volumetric strain in concrete. Int. J. Fract. 2004, 126, 49–55. [Google Scholar] [CrossRef]
- Park, R.; Priestley, M.J.N.; Gill, W.D. Ductility of square-confine concrete columns. J. Struct. Div. 1982, 108, 929–950. [Google Scholar]
- Mander, J.B.; Priestley, M.J.N.; Park, R. Observed stress-strain behaviour of confined concrete. J. Struct. Eng. 1988, 114, 1827–1849. [Google Scholar] [CrossRef]
- Samani, A.K.; Attard, M.M. Lateral strain model for concrete under compression. ACI Struct. J. 2014, 111, 441–452. [Google Scholar]
- Bayrak, O.; Sheikh, S.A. Plastic hinge analysis. J. Struct.l Eng. 2001, 127, 1092–1100. [Google Scholar] [CrossRef]
- Sezen, H.; Moehle, J.P. Strength and deformation capacity of reinforced concrete columns with limited ductility. In Proceedings of the 13th World Conference on Earthquake Engineering, Vancouver, BC, Canada, 1–6 August 2004. [Google Scholar]
- Jing, D.-H.; Huang, L.-B. Effect of transverse reinforcement on rectangular concrete columns with MTSTR. Mag. Concr. Res. 2019, 71, 71–84. [Google Scholar]
- Salah-Eldi, A.; Mohamed, H.M.; Benmokrane, B. Axial-flexural performance of high-strength-concrete bridge compression members reinforced basalt-FRP bars and ties: experimental and theoretical investigation. J. Bridge. Eng. 2019, 24. [Google Scholar] [CrossRef]
- Pujol, S.; Sozen, M.A.; Ramirez, J.A. Displacement history effects on drift capacity of reinforced concrete columns. ACI Struct. J. 2006, 103, 253–262. [Google Scholar]
- Sasani, M. Shear strength and deformation capacity models for RC columns. In Proceedings of the 13th World Conference on Earthquake Engineering, Vancouver, BC, Canada, 1–6 August 2004. Paper No 1838. [Google Scholar]
- Bae, S.; Mieses, A.M.; Bayrak, O. Inelastic buckling of reinforcing bars. J. Struct. Eng. 2005, 131, 314–321. [Google Scholar] [CrossRef]
- Korentz, J.; Kucharczyk, A.; Urbańska, K. Buckling resistance of reinforcing bars made of steel without distinctive yield stress. IOP Conf. Ser.: Mater. Sci. Eng. 2019, 471. [Google Scholar] [CrossRef]
- Cosenza, E.; Prota, A. Experimental behaviour and numerical modelling of smooth steel bars under compression. J. Earthq. Eng. 2006, 10, 313–329. [Google Scholar] [CrossRef]
- Rodrigez, M.E.; Botero, J.C.; Villa, J. Cyclic stress-strain behavior of reinforcing steel including effect of buckling. J. Struct. Eng. 1999, 125, 605–612. [Google Scholar] [CrossRef]
- Monti, G.; Nuti, C. Nonlinear cyclic behavior of reinforcing bar including buckling. J. Struct. Eng. 1992, 118, 3268–3284. [Google Scholar] [CrossRef]
- Mau, S.T.; El-Mabsout, M. Inelastic buckling of reinforcing bars. J. Eng. Mech. 1989, 115, 1–17. [Google Scholar] [CrossRef]
- Mau, S.T. Effect of tie spacing on inelastic buckling of reinforced bars. ACI Struct. J. 1990, 87, 671–677. [Google Scholar]
- Korentz, J.; Marcinowski, J. Effect of mechanical parameters of steel on inelastic buckling of reinforcing bars. Int. J. Struct. Stab. Dy. 2016, 16, 15550028. [Google Scholar] [CrossRef]
- Korentz, J. The effect of yield strength on inelastic buckling of reinforcing bars. Mech. Mech. Eng. 2010, 14, 247–255. [Google Scholar]
- Mander, J.B. Seismic Design of Bridge Piers. Ph.D. Thesis, Department of Civil Engineering, University of Canterbury, Christchurch, New Zealand, 1983. [Google Scholar]
- Massone, L.M.; Moroder, D. Buckling modeling of reinforcing bars with imperfections. Eng. Struct. 2009, 31, 758–767. [Google Scholar] [CrossRef]
- Electronic Manual, COSMOS/M; Version 2.9; Finite Element Analysis System; Structural Research and Analysis Corporation: Los Angeles, CA, USA, 2002.
- Nagrodzka-Godycka, K.; Korzeniowski, P. Skuteczność uzwojenia w stosunku do zbrojenia podłużnego o takim samym ciężarze. Konstr. Betonowe i Mater. Bud. 2000, 2, 105–110. [Google Scholar]
- Chilver, A.H. Coupled modes of elastic bucking. J. Mech. Phys. Solid. 1967, 15, 15–28. [Google Scholar] [CrossRef]










© 2020 by the author. Licensee MDPI, Basel, Switzerland. This article is an open access article distributed under the terms and conditions of the Creative Commons Attribution (CC BY) license (http://creativecommons.org/licenses/by/4.0/).
Share and Cite
Korentz, J. Influence of Geometric Imperfections on Buckling Resistance of Reinforcing Bars during Inelastic Deformation. Materials 2020, 13, 3473. https://doi.org/10.3390/ma13163473
Korentz J. Influence of Geometric Imperfections on Buckling Resistance of Reinforcing Bars during Inelastic Deformation. Materials. 2020; 13(16):3473. https://doi.org/10.3390/ma13163473
Chicago/Turabian StyleKorentz, Jacek. 2020. "Influence of Geometric Imperfections on Buckling Resistance of Reinforcing Bars during Inelastic Deformation" Materials 13, no. 16: 3473. https://doi.org/10.3390/ma13163473
APA StyleKorentz, J. (2020). Influence of Geometric Imperfections on Buckling Resistance of Reinforcing Bars during Inelastic Deformation. Materials, 13(16), 3473. https://doi.org/10.3390/ma13163473
