Modulated Photocurrent Spectroscopy Study of the Electronic Transport Properties of Working Organic Photovoltaics: Degradation Analysis
Abstract
1. Introduction
2. Modulated Photocurrent Spectroscopy
3. Experiment
3.1. Solar Cell Fabrication and Characterization
3.2. MPC Measurements
4. Results and Discussion
4.1. OPV Performance
4.2. MPC Spectra of Working OPV
4.3. Degradation of OPV Performance under AM1.5G Irradiation
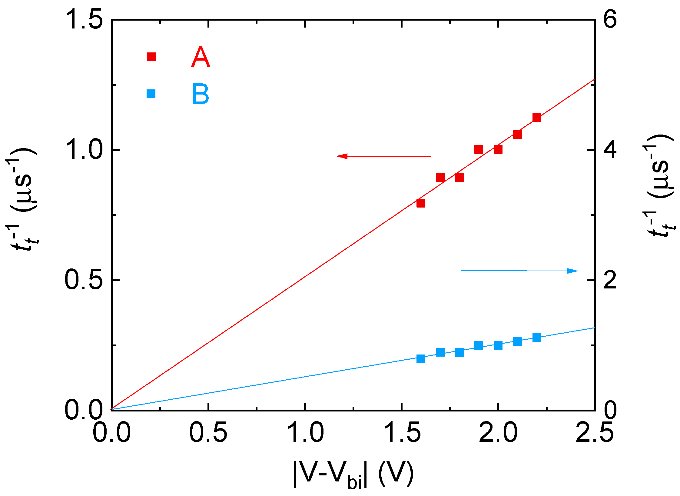
4.4. Electronic Transport Properties in Degraded OPVs
4.5. Photoinduced Degradation Mechanism in OPVs
5. Conclusions
Author Contributions
Funding
Conflicts of Interest
References
- Yang, Y.; Li, G. (Eds.) Progress in High-Efficient Solution Process Organic Photovoltaic Devices Fundamentals, Materials, Devices, Devices and Fabrication; Sprigner: Berlin/Heidelberg, Germany, 2015; pp. 347–408. [Google Scholar]
- Zhang, H.; Yao, H.; Hou, J.; Zhu, J.; Zhang, J.; Li, W.; Yu, R.; Gao, B.; Zhang, S.; Hou, J. Over 14% Efficiency in Organic Solar Cells Enabled by Chlorinated Nonfullerene Small-Molecule Acceptors. Adv. Mater. 2018, 30, 1800613. [Google Scholar] [CrossRef] [PubMed]
- Hou, J.; Inganas, O.; Friend, R.H.; Gao, F. Organic solar cells based on non-fullerene acceptors. Nature Mater. 2018, 17, 119–128. [Google Scholar] [CrossRef] [PubMed]
- Kotlarski, J.D.; Blom, P.W.M. Impact of unbalanced charge transport on the efficiency of normal and inverted solar cells. Appl. Phys. Lett. 2012, 100, 013306. [Google Scholar] [CrossRef]
- Shrotriya, V.; Yao, Y.; Li, G.; Yang, Y. Effect of self-organization in polymer/fullerene bulk heterojunctions on solar cell performance. Appl. Phys. Lett. 2006, 89, 063505. [Google Scholar] [CrossRef]
- Morii, K.; Ishida, M.; Takashima, T.; Shimoda, T.; Wang, Q.; Nazeeruddin, M.K.; Grätzel, M. Encapsulation-free hybrid organic-inorganic light-emitting diodes. Appl. Phys. Lett. 2006, 89, 183510. [Google Scholar] [CrossRef]
- Kyaw, A.K.K.; Sun, X.W.; Jiang, C.Y.; Lo, G.Q.; Zhao, D.W.; Kwong, D.L. An inverted organic solar cell employing a sol-gel derived ZnO electron selective layer and thermal evaporated MoO3 hole selective layer. Appl. Phys. Lett. 2008, 93, 221107. [Google Scholar] [CrossRef]
- Hau, S.K.; Yip, H.-L.; Jen, A.K.-Y. A Review on the Development of the Inverted Polymer Solar Cell Architecture. Polym. Rev. 2010, 50, 474. [Google Scholar] [CrossRef]
- Reale, A.; La Notte, L.; Salamandra, L.; Polino, G.; Susanna, G.; Brown, T.M.; Brunetti, F.; Di Carlo, A. Spray Coating for Polymer Solar Cells: An Up-to-Date Overview. Energy Technol. 2015, 3, 385–406. [Google Scholar] [CrossRef]
- Kopola, P.; Aernouts, T.; Sliz, R.; Guillerez, S.; Ylikunnari, M.; Cheyns, D.; Välimäki, M.; Tuomikoski, M.; Hast, J.; Jabbour, G.; et al. Solar Energy Materials & Solar Cells. Sol. Energy Mater. Sol. Cells 2011, 95, 1344–1347. [Google Scholar] [CrossRef]
- Hübler, A.; Trnovec, B.; Zillger, T.; Ali, M.; Wetzold, N.; Mingebach, M.; Wagenpfahl, A.; Deibel, C.; Dyakonov, V. Printed Paper Photovoltaic Cells. Adv. Energy Mater. 2011, 1, 1018–1022. [Google Scholar] [CrossRef]
- Välimäki, M.; Apilo, P.; Po, R.; Jansson, E.; Bernardi, A.; Ylikunnari, M.; Vilkman, M.; Corso, G.; Puustinen, J.; Tuominen, J.; et al. R2R-printed inverted OPV modules—Towards arbitrary patterned designs. Nanoscale 2015, 7, 9570–9580. [Google Scholar] [CrossRef] [PubMed]
- Fukuda, T.; Takagi, K.; Asano, T.; Honda, Z.; Kamata, N.; Ueno, K.; Shirai, H.; Ju, J.; Yamagata, Y.; Tajima, Y. Bulk heterojunction organic photovoltaic cell fabricated by the electrospray deposition method using mixed organic solvent. Phys. Status Solidi RRL 2011, 5, 229–231. [Google Scholar] [CrossRef]
- Jørgensen, M.; Norrman, K.; Krebs, F.C. Stability/degradation of polymer solar cells. Sol. Energy Mater. Sol. Cells 2008, 92, 686–714. [Google Scholar] [CrossRef]
- Reese, M.O.; Nardes, A.M.; Rupert, B.L.; Larsen, R.E.; Olson, D.C.; Lloyd, M.T.; Shaheen, S.E.; Ginley, D.S.; Rumbles, G.; Kopidakis, N. Photoinduced degradation of polymer and polymer-fullerene active layers: Experiment and theory. Adv. Funct. Mater. 2010, 20, 3476–3483. [Google Scholar] [CrossRef]
- Kawano, K.; Pacios, R.; Poplavskyy, D.; Nelson, J.; Bradley, D.D.C.; Durrant, J.R. Degradation of organic solar cells due to air exposure. Sol. Energy Mater. Sol. Cells 2006, 90, 3520–3530. [Google Scholar] [CrossRef]
- Naito, H.; Iwai, T.; Okuda, M. A simple microcomputer-based modulated photocurrent spectroscopy system for the measurement of localized-state distributions in amorphous semiconductors. Meas. Sci. Technol. 1991, 2, 912–915. [Google Scholar] [CrossRef]
- Nojima, H.; Kobayashi, T.; Nagase, T.; Naito, H. Modulated Photocurrent Spectroscopy for Determination of Electron and Hole Mobilities in Working Organic Solar Cells. Sci. Rep. 2019, 9, 20346. [Google Scholar] [CrossRef]
- Ho, C.H.Y.; Cheung, S.H.; Li, H.-W.; Chiu, K.L.; Cheng, Y.; Yin, H.; Chan, M.H.; So, F.; Tsang, S.-W.; So, S.K. Using Ultralow Dosages of Electron Acceptor to Reveal the Early Stage Donor–Acceptor Electronic Interactions in Bulk Heterojunction Blends. Adv. Energy Mater. 2017, 7, 1602360. [Google Scholar] [CrossRef]
- Martens, H.C.F.; Huiberts, J.N.; Blom, P.W.M. Simultaneous measurement of electron and hole mobilities in polymer light-emitting diodes. Appl. Phys. Lett. 2000, 77, 1852–1854. [Google Scholar] [CrossRef]
- Ishihara, S.; Hase, H.; Okachi, T.; Naito, H. Bipolar carrier transport in tris(8-hydroxyquinolinato) aluminum observed by impedance spectroscopy measurements. J. Appl. Phys. 2011, 110, 036104. [Google Scholar] [CrossRef]
- Takada, M.; Nagase, T.; Kobayashi, T.; Naito, H. Full characterization of electronic transport properties in working polymer light-emitting diodes via impedance spectroscopy. J. Appl. Phys. 2019, 125, 115501. [Google Scholar] [CrossRef]
- Ogawa, N.; Naito, H. Transient hopping transport in percolation clusters. Electr. Eng. Japan 2002, 140, 2. [Google Scholar] [CrossRef]
- Upama, M.B.; Wright, M.; Veettil, B.P.; Elumalai, N.K.; Mahmud, M.A.; Wang, D.; Chan, K.H.; Xu, C.; Haque, F.; Uddin, A. Analysis of burn-in photo degradation in low bandgap polymer PTB7 using photothermal deflection spectroscopy. RCS Adv. 2016, 6, 103899–103904. [Google Scholar] [CrossRef]
- Mamada, M.; Kumaki, D.; Nishida, J.; Tokito, S.; Yamashita, Y. Novel Semiconducting Quinone for Air-Stable n-Type Organic Field-Effect Transistors. ACS Appl. Mater. Interfaces 2010, 2, 1303–1307. [Google Scholar] [CrossRef] [PubMed]
- Kettle, J.; Ding, Z.; Horie, M.; Smith, G.C. XPS analysis of the chemical degradation of PTB7 polymers for organic photovoltaics. Org. Electron. 2016, 39, 222–228. [Google Scholar] [CrossRef]
- Jeong, J.; Seo, J.; Nam, S.; Han, H.; Kim, H.; Anthopoulos, T.D.; Bradley, D.D.C.; Kim, Y. Significant Stability Enhancement in High-Efficiency Polymer: Fullerene Bulk Heterojunction Solar Cells by Blocking Ultraviolet Photons from Solar Light. Adv. Sci. 2016, 3, 1500269. [Google Scholar] [CrossRef]
- Blom, P.W.M.; Mihailetchi, V.D.; Koster, L.J.A.; Markov, D.E. Device Physics of Polymer:Fullerene Bulk Heterojunction Solar Cells. Adv. Mater. 2007, 19, 1551–1566. [Google Scholar] [CrossRef]
- Pisarkiewicz, T. Photodecay method in investigation of materials and photovoltaic structures. Opto-Electron Rev. 2004, 12, 33–40. [Google Scholar]
- Bartesaghi, D.; Pere, I.C.; Kniepert, J.; Roland, S.; Turbiez, M.; Neher, D.; Koster, L.J.A. Competition between recombination and extraction of free charges determines the fill factor of organic solar cells. Nature Commun. 2015, 6, 7083. [Google Scholar] [CrossRef]
- Nishida, K.; Oka, M.; Hase, H.; Naito, H. Determination of Physical Parameters in Organic Bulk Heterojunction Solar Cells Using a Genetic Algorithm. Trans. IEEJ C 2011, 131, 283–289. [Google Scholar] [CrossRef]
- Marquardt, D.W. An algorithm for least-squares estimation of nonlinear parameters. J. Soc. Ind. Appl. Mathemaitcs 1963, 11, 431–441. [Google Scholar] [CrossRef]
- Goldberg, D. Genetic Algorithms in Search, Optimization, and Machine Learning; Addison-Wesley: Boston, MA, USA, 1989. [Google Scholar]
- Deb, K. Multi-Objective Optimization Using Evolutionary Algorithms; John Wiley & Sons: Somerset, NJ, USA, 2001. [Google Scholar]
- Jao, M.-H.; Liao, H.-C.; Su, W.-F. Achieving a high fill factor for organic solar cells. J. Mater. Chem. A 2016, 4, 5784–5801. [Google Scholar] [CrossRef]
- Qi, B.; Wang, J. Fill factor in organic solar cells. Phys. Chem. Chem. Phys. 2013, 15, 8972–8982. [Google Scholar] [CrossRef]
- Kam, Z.; Wang, X.; Zhang, J.; Wu, J. Elimination of Burn-in Open-Circuit Voltage Degradation by ZnO Surface Modification in Organic Solar Cells. ACS Appl. Mater. Interface 2015, 7, 1608–1615. [Google Scholar] [CrossRef]
- Manor, A.; Katz, E.A.; Tromholt, T.; Krebs, F.C. Electrical and Photo-Induced Degradation of ZnO Layers in Organic Photovoltaics. Adv. Energy Mater. 2011, 1, 836–843. [Google Scholar] [CrossRef]
- Fernandez, D.; Viterisi, A.; Ryan, J.W.; Guirado, F.G.; Vidal, S.; Filippone, S.; Martin, N.; Palomares, E. Small molecule BHJ solar cells based on DPP(TBFu)2 and diphenylmethanofullerenes (DPM): Linking morphology, transport, recombination and crystallinity. Nanoscale 2014, 6, 5871–5878. [Google Scholar] [CrossRef]
- Zhou, N.; Kim, M.-G.; Loser, S.; Smith, J.; Yoshida, H.; Guo, X.; Song, C.; Jin, H.; Chen, Z.; Yoon, S.M.; et al. Amorphous oxide alloys as interfacial layers with broadly tunable electronic structures for organic photovoltaic cells. PNAS 2015, 112, 7897–7902. [Google Scholar] [CrossRef] [PubMed]
- Liang, Z.; Zhang, Q.; Jiang, L.; Cao, G. ZnO cathode buffer layers for inverted polymer solar cells. Energy Environ. Sci. 2015, 8, 3442–3476. [Google Scholar] [CrossRef]
- Takada, M.; Nagase, T.; Kobayashi, T.; Naito, H. Electron injection in inverted organic light-emitting diodes with poly(ethyleneimine) electron injection layers. Org. Electron. 2017, 50, 290–295. [Google Scholar] [CrossRef]












© 2020 by the authors. Licensee MDPI, Basel, Switzerland. This article is an open access article distributed under the terms and conditions of the Creative Commons Attribution (CC BY) license (http://creativecommons.org/licenses/by/4.0/).
Share and Cite
Nakatsuka, E.; Kumoda, Y.; Mori, K.; Kobayashi, T.; Nagase, T.; Naito, H. Modulated Photocurrent Spectroscopy Study of the Electronic Transport Properties of Working Organic Photovoltaics: Degradation Analysis. Materials 2020, 13, 2660. https://doi.org/10.3390/ma13112660
Nakatsuka E, Kumoda Y, Mori K, Kobayashi T, Nagase T, Naito H. Modulated Photocurrent Spectroscopy Study of the Electronic Transport Properties of Working Organic Photovoltaics: Degradation Analysis. Materials. 2020; 13(11):2660. https://doi.org/10.3390/ma13112660
Chicago/Turabian StyleNakatsuka, Emi, Yo Kumoda, Kiyohito Mori, Takashi Kobayashi, Takashi Nagase, and Hiroyoshi Naito. 2020. "Modulated Photocurrent Spectroscopy Study of the Electronic Transport Properties of Working Organic Photovoltaics: Degradation Analysis" Materials 13, no. 11: 2660. https://doi.org/10.3390/ma13112660
APA StyleNakatsuka, E., Kumoda, Y., Mori, K., Kobayashi, T., Nagase, T., & Naito, H. (2020). Modulated Photocurrent Spectroscopy Study of the Electronic Transport Properties of Working Organic Photovoltaics: Degradation Analysis. Materials, 13(11), 2660. https://doi.org/10.3390/ma13112660

