Characterization of Sheared Edges in Warm Blanking of Magnesium Alloy AZ31B
Abstract
1. Introduction
2. Materials and Methods
2.1. Edge Damage Assessments
2.2. Experimental Setup
2.3. Experimental Procedure
3. Results and Discussion
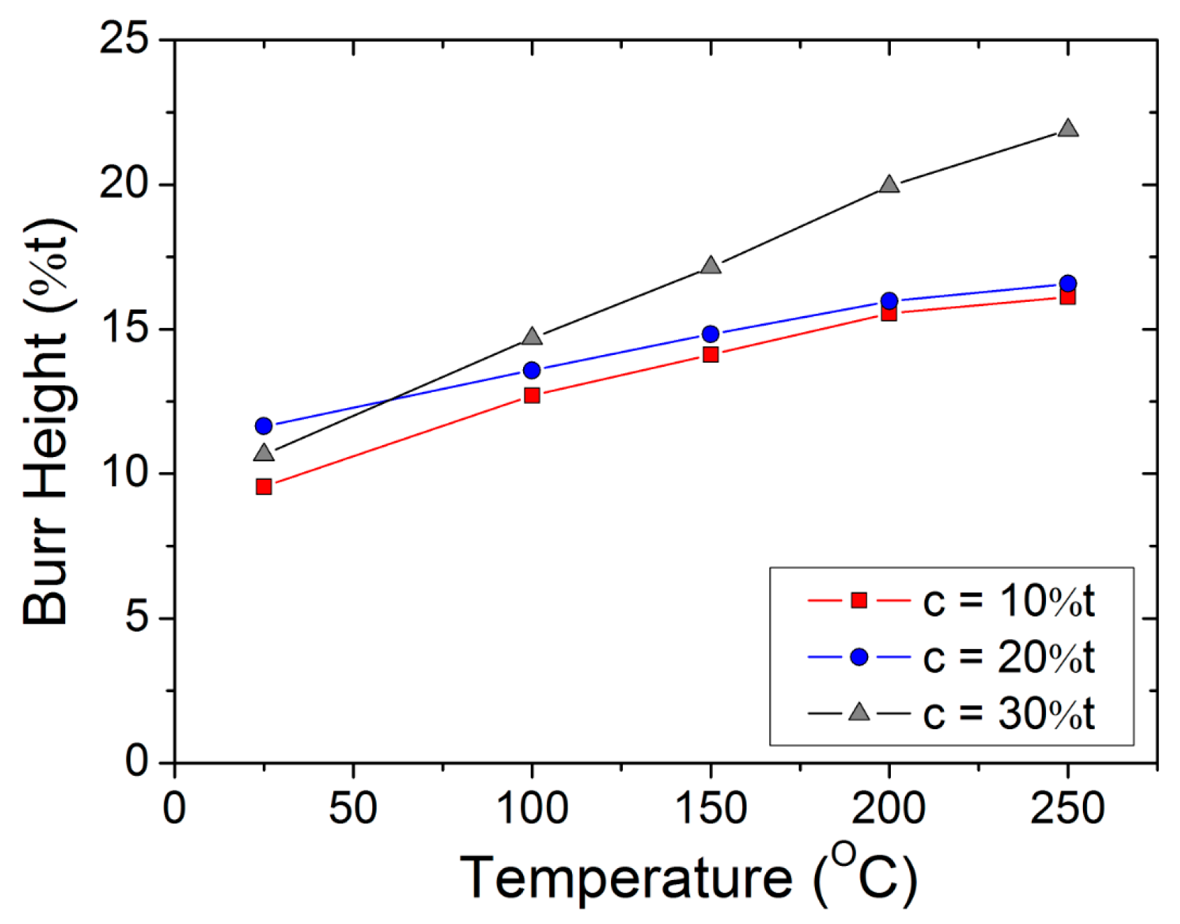
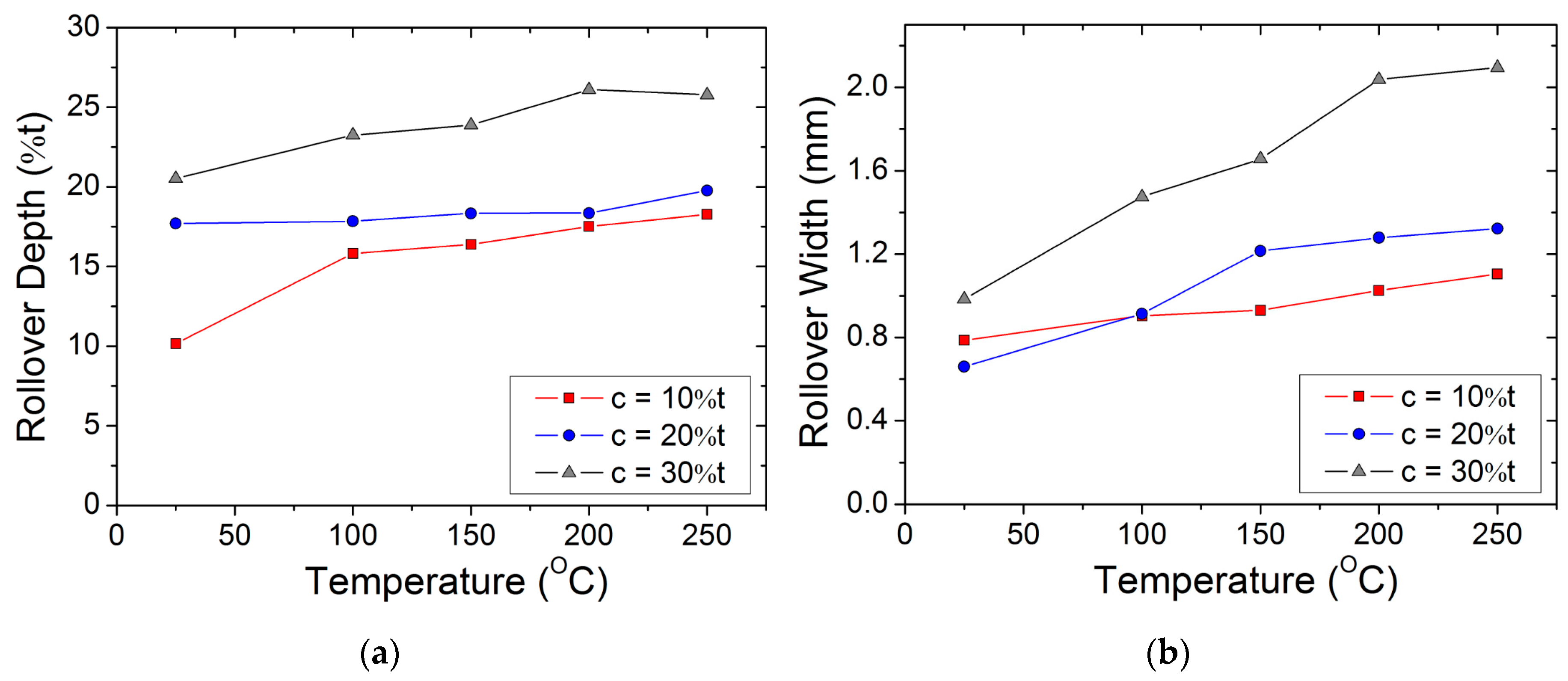
3.1. Geometrical Features of the Sheared Edge
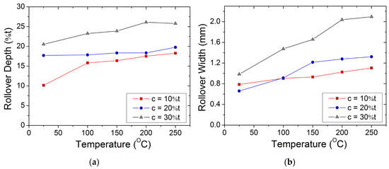
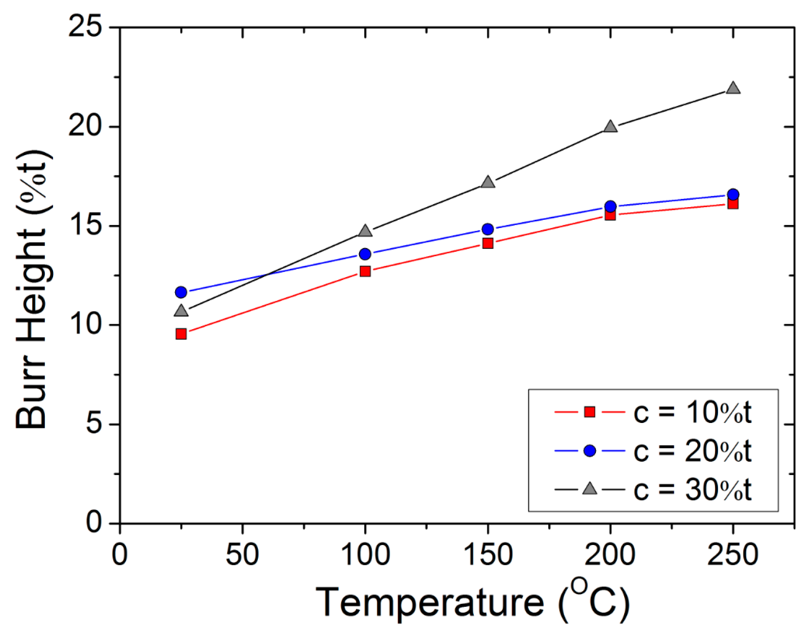
- Rollover depth, rollover width, and burr heights for each blank were measured and averaged from its two side-view OM images. The side-view morphology corresponding to 20% clearance (expressed as the percentage ratio of punch–die clearance to the workpiece thickness) and temperatures of 25 °C and 250 °C are shown in Figure 4a,b respectively.
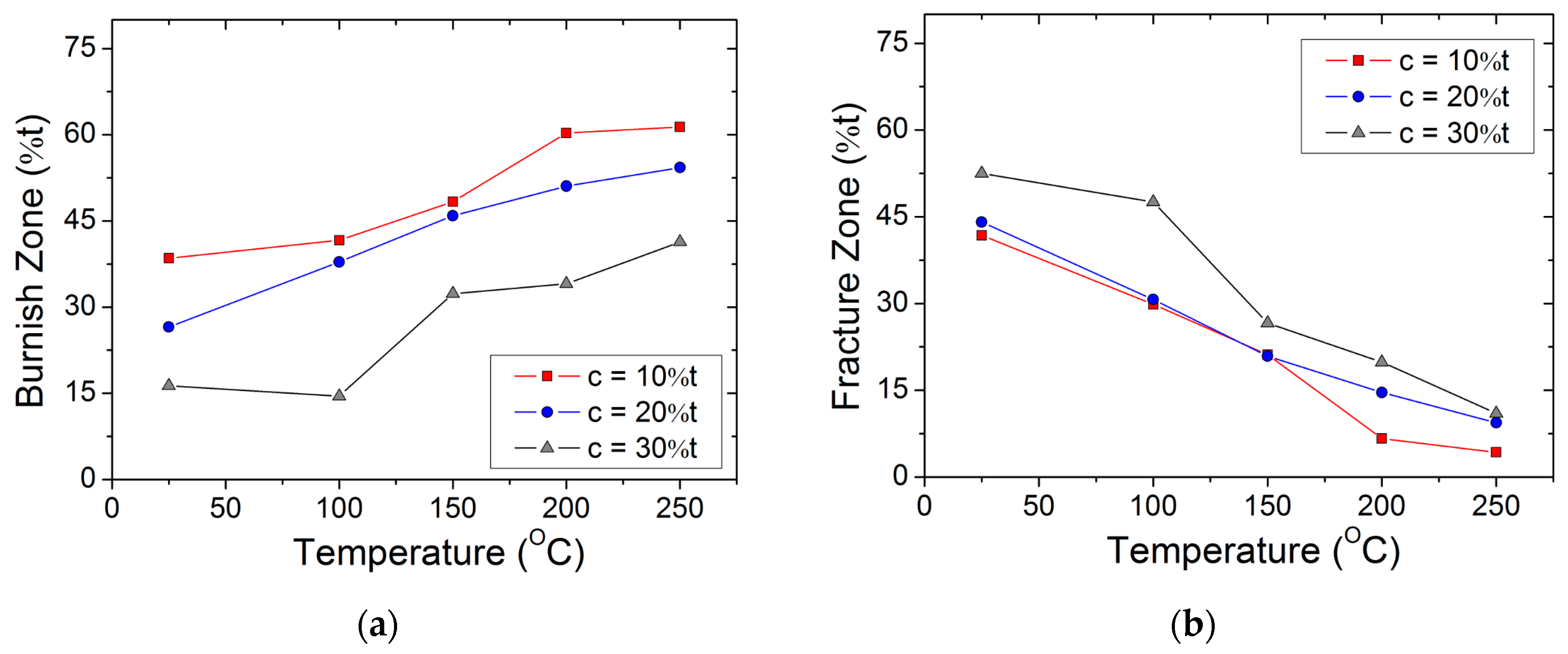
- Burnish zone and fracture zones were quantified from the normal morphologies of the sheared edges. The dimensions were measured at various positions and averaged to account for variations. The front-view morphology corresponding to 20% clearance and temperatures of 25 °C and 250 °C are shown in Figure 5a,b respectively.
- Detailed features of the fracture profile were obtained from the scanning electron microscopy in an oriented view of the sheared edge.
- To analyze sheared edge quality, the blanks were further examined under SEM for obtaining fracture morphologies.
3.2. Distribution of Edge Strain Hardening Index
3.3. Microstructure Observations
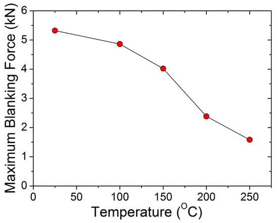
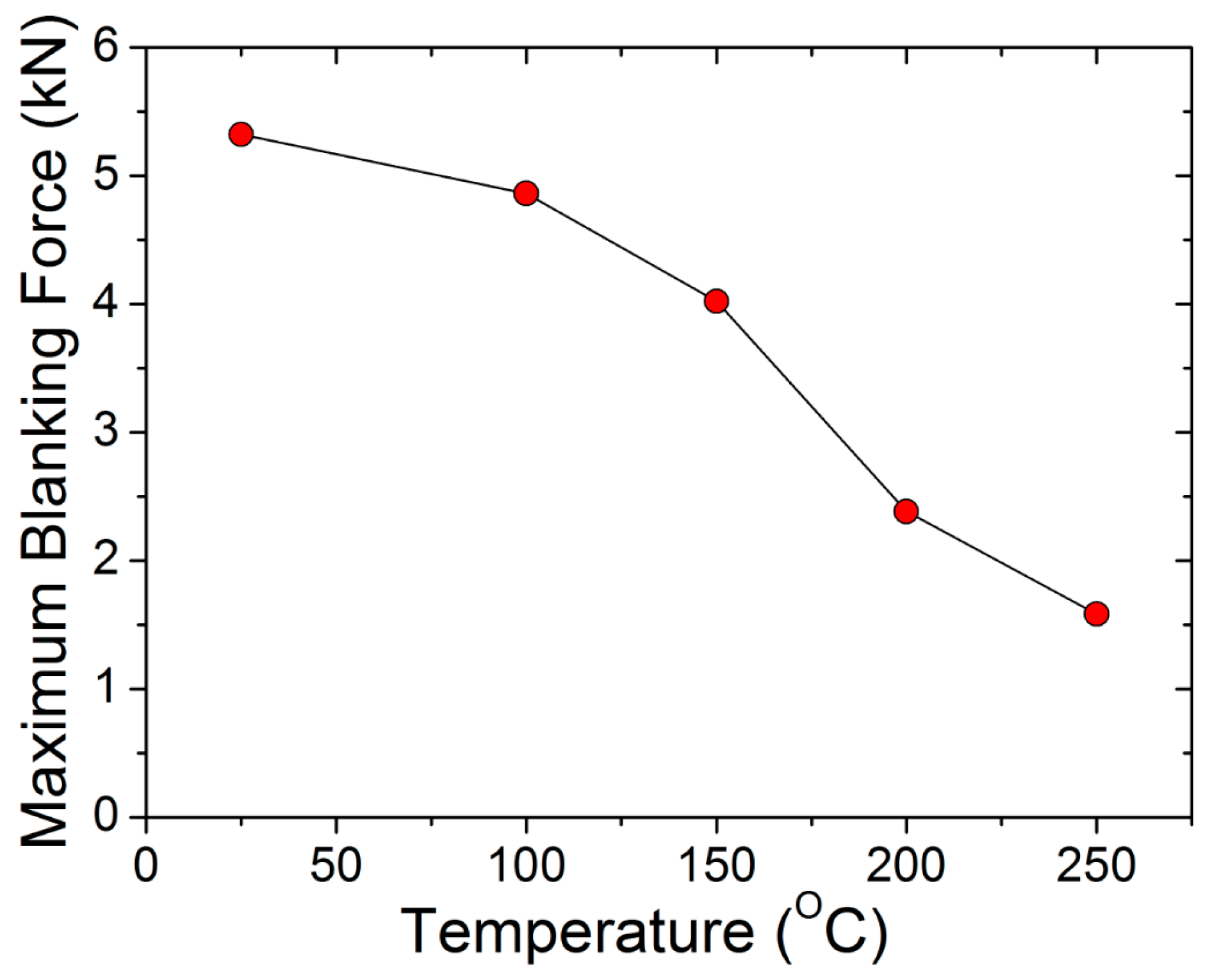
3.4. Maximum Blanking Force
4. Conclusions
- Based on OM and SEM morphologies, at temperatures of 25 °C and 100 °C, the sheared edge revealed defects, such as loose particles, microcracks, jagged fracture profile, and curved fracture profile. However, such deformities were completely suppressed at blanking temperatures of 150 °C and beyond. Furthermore:
- Rollover depth and rollover width increase with the increase in temperature and clearance;
- Burnish zone increases with increase in temperature and decreases with the increase in clearance;
- Fracture zone is reciprocal to the burnish zone, hence its value decreases with the increase in temperature and increases with increase in clearance;
- Burr height increases with increase in temperature and clearance.
- Micro-hardness tests, at temperatures 25 °C and 100 °C, of the sheared zone vicinities revealed significant strain hardening. The phenomenon was demonstrated by the positive value of the edge strain hardening index, which decreases with an increase in temperature. Furthermore:
- The distribution of the ESH index along the shear zone decreases with the increase in temperature;
- The ESH index decreases from the sheared edge to the interior, indicating the extent of the SAZ. The positive gradient of the ESH index vanishes with the increase in temperature.
- Microstructure observations of the sheared edge obtained at temperatures 25 °C and 100 °C revealed evident twins and shear bands. However, the fraction of twins decreases with the increase in temperature. The sheared edge obtained at 250 °C revealed dynamic recrystallization (DRX) with no evidence of twining.
Author Contributions
Funding
Conflicts of Interest
References
- Konieczny, A.; Henderson, T. On Formability Limitations in Stamping Involving Sheared Edge Stretching. SAE Tech. Pap. 2007. [Google Scholar] [CrossRef]
- Golovashchenko, S.F. Quality of Trimming and its Effect on Stretch Flanging of Automotive Panels. J. Mater. Eng. Perform. 2008, 17, 316–325. [Google Scholar] [CrossRef]
- Shih, H.-C.; Chiriac, C.; Shi, M.F. The Effects of AHSS Shear Edge Conditions on Edge Fracture. In Proceedings of the ASME 2010 International Manufacturing Science and Engineering Conference, Erie, PA, USA, 12–15 October 2010; Volume 1, pp. 599–608. [Google Scholar] [CrossRef]
- Koga, N.; Hato, K.; Paisarn, R. Shearing and shaving of AZ31 magnesium alloy sheets. J. Jpn. Inst. Light Metals 2001, 51, 452–456. [Google Scholar] [CrossRef]
- Gillespie, L.K. Deburring and Edge Finishing Handbook; Society of Manufacturing Engineers: Dearborn, MI, USA, 1999. [Google Scholar]
- Friedrich, H.E.; Mordike, B.L. Technology of Magnesium and Magnesium Alloys. In Magnesium Technology: Metallurgy, Design Data, Applications, 1st ed.; Springer: Berlin/Heidelberg, Germany, 2006; pp. 219–430. [Google Scholar] [CrossRef]
- Hilditch, T.B.; Hodgson, P.D. Development of the sheared edge in the trimming of steel and light metal sheet: Part 1—Experimental observations. J. Mater. Process. Technol. 2005, 169, 184–191. [Google Scholar] [CrossRef]
- Agnew, S.R.; Duygulu, Ö. Plastic anisotropy and the role of non-basal slip in magnesium alloy AZ31B. Int. J. Plast. 2005, 21, 1161–1193. [Google Scholar] [CrossRef]
- Klimanek, P.; Pötzsch, A. Microstructure evolution under compressive plastic deformation of magnesium at different temperatures and strain rates. Mater. Sci. Eng. A 2002, 324, 145–150. [Google Scholar] [CrossRef]
- Barnett, M.R. Twinning and the ductility of magnesium alloys: Part II. “Contraction” twins. Mater. Sci. Eng. A 2007, 464, 8–16. [Google Scholar] [CrossRef]
- Nürnberg, G.; Jing, X.; Scherer, D.; Ersoy-Nürnberg, K.; Golle, R.; Bohlen, J.; Fuskova, L.; Letzig, D.; Hoffmann, H. Improving the sheared edge in the blanking of commercial AZ31 sheet through texture modification. J. Mater. Process. Technol. 2011, 211, 2022–2031. [Google Scholar] [CrossRef]
- Scintilla, L.D.; Tricarico, L. Experimental investigation on fiber and CO2 inert gas fusion cutting of AZ31 magnesium alloy sheets. Opt. Laser Technol. 2013, 46, 42–52. [Google Scholar] [CrossRef]
- Kwak, T.S.; Kim, Y.J.; Bae, W.B. Finite element analysis on the effect of die clearance on shear planes in fine blanking. J. Mater. Process. Technol. 2002, 130–131, 462–468. [Google Scholar] [CrossRef]
- Tekiner, Z.; Nalbant, M.; Gürün, H. An experimental study for the effect of different clearances on burr, smooth-sheared and blanking force on aluminium sheet metal. Mater. Des. 2006, 27, 1134–1138. [Google Scholar] [CrossRef]
- Li, M. Micromechanisms of deformation and fracture in shearing aluminum alloy sheet. Int. J. Mech. Sci. 2000, 42, 907–923. [Google Scholar] [CrossRef]
- Mackensen, A.; Golle, M.; Golle, R.; Hoffmann, H. Experimental investigation of the cutting force reduction during the blanking operation of AHSS sheet materials. CIRP Ann. 2010, 59, 283–286. [Google Scholar] [CrossRef]
- Samuel, M. FEM simulations and experimental analysis of parameters of influence in the blanking process. J. Mater. Process. Technol. 1998, 84, 97–106. [Google Scholar] [CrossRef]
- Subramonian, S.; Altan, T.; Campbell, C.; Ciocirlan, B. Determination of forces in high speed blanking using FEM and experiments. J. Mater. Process. Technol. 2013, 213, 2184–2190. [Google Scholar] [CrossRef]
- Mori, K.; Saito, S.; Maki, S. Warm and hot punching of ultra high strength steel sheet. CIRP Ann. 2008, 57, 321–324. [Google Scholar] [CrossRef]
- Fazily, P.; Yu, J.; Lee, C.-W. Finite Element Analysis of Blanking Operation of Magnesium Alloy (AZ31) Sheet Using Ductile Fracture Criteria and Its Experimental Verification at Various Temperatures. J. Phys. Conf. Ser. 2018, 1063, 012158. [Google Scholar] [CrossRef]
- Dykeman, J.; Malcolm, S.; Yan, B.; Chintamani, J.; Huang, G.; Ramisetti, N.; Zhu, H. Characterization of Edge Fracture in Various Types of Advanced High Strength Steel. SAE Tech. Pap. 2011. [Google Scholar] [CrossRef]
- Butcher, C.; Anderson, D.; Worswick, M. Predicting Failure during Sheared Edge Stretching Using a Damage-Based Model for the Shear-Affected Zone. SAE Int. J. Mater. Manf. 2013, 6, 304–312. [Google Scholar] [CrossRef]
- Wu, X.; Bahmanpour, H.; Schmid, K. Characterization of mechanically sheared edges of dual phase steels. J. Mater. Process. Technol. 2012, 212, 1209–1224. [Google Scholar] [CrossRef]
- Chiriac, C.; Shi, M.F. Studies on Edge Strain Hardening Produced by Trimming Operations. SAE Tech. Pap. 2013. [Google Scholar] [CrossRef]
- Kim, H.Y.; Kim, H.J. BM2−Simulation of the Cross-shaped Cup Deep-drawing Process. In Proceedings of the NUMISHEET 2011 Benchmark Study of the 8th International Conference and Workshop on Numerical Simulation of 3D Sheet Metal Forming Processes, Seoul, Korea, 21–26 August 2011; Part C. pp. 49–127. [Google Scholar]






















| Mg | Al | Zn | Mn | Si | Fe | Cu | Ni |
|---|---|---|---|---|---|---|---|
| Bal. | 3.15 | 1.02 | 0.54 | 0.0150 | 0.0032 | 0.0115 | 0.0028 |
| Parameters | Value | |
|---|---|---|
| Tooling Setup | Punch–die material | Cr-alloy tool Steel SDK61 |
| Punch maximum travel | 2 mm | |
| Shear angle | 0° | |
| Compression spring | SWG20-40 | |
| Initial workpiece dimensions | 60 × 30 (mm × mm) | |
| Punch–die radius | 0.05 mm (fictitious) | |
| Experimental Setup | Workpiece thickness (t) | 1 mm |
| Punch–die clearance (c) | 10, 20, 30 (% of thickness) | |
| Punch–stripper clearance | 2.1, 2.2, 2.3 (mm) | |
| Punch speed (v) | 2 mm/min | |
| Temperature (T) | 25, 100, 150, 200, 250 (°C) |
© 2019 by the authors. Licensee MDPI, Basel, Switzerland. This article is an open access article distributed under the terms and conditions of the Creative Commons Attribution (CC BY) license (http://creativecommons.org/licenses/by/4.0/).
Share and Cite
Fazily, P.; Yu, J.; Lee, C.-W. Characterization of Sheared Edges in Warm Blanking of Magnesium Alloy AZ31B. Materials 2019, 12, 1023. https://doi.org/10.3390/ma12071023
Fazily P, Yu J, Lee C-W. Characterization of Sheared Edges in Warm Blanking of Magnesium Alloy AZ31B. Materials. 2019; 12(7):1023. https://doi.org/10.3390/ma12071023
Chicago/Turabian StyleFazily, Piemaan, Jaehyeong Yu, and Chang-Whan Lee. 2019. "Characterization of Sheared Edges in Warm Blanking of Magnesium Alloy AZ31B" Materials 12, no. 7: 1023. https://doi.org/10.3390/ma12071023
APA StyleFazily, P., Yu, J., & Lee, C.-W. (2019). Characterization of Sheared Edges in Warm Blanking of Magnesium Alloy AZ31B. Materials, 12(7), 1023. https://doi.org/10.3390/ma12071023

