Stress Concentration and Damage Factor Due to Central Elliptical Hole in Functionally Graded Panels Subjected to Uniform Tensile Traction
Abstract
1. Introduction
2. Problem Description
2.1. Problem Description
2.2. Inhomogeneity Variation
2.3. Stress Concentration and Damage Factor
3. Results and Discussions
3.1. Verification
3.1.1. Verification 1: Analysis of Homogeneous Rectangular Panel with a Circular Hole
3.1.2. Stress Analysis of FGM Panel without Hole
3.1.3. Stress Analysis of FGM Panel with a Circular Hole
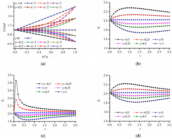
3.2. Stress Concentration Factor
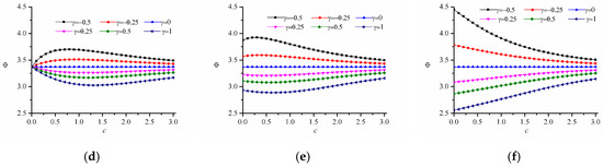
3.2.1. The Power-Law Inhomogeneous Variation When c > 0
3.2.2. The Power-Law Inhomogeneous Variation When c < 0
3.3. Failure Index and Damage Factor
3.3.1. The Power-Law Inhomogeneous Variation When c > 0
3.3.2. The Power-Law Inhomogeneous Variation When c < 0
4. Conclusions
Author Contributions
Funding
Conflicts of Interest
References
- Tornabene, F. Free vibration analysis of functionally graded conical, cylindrical shell and annular plate structures with a four-parameter power-law distribution. Comput. Methods Appl. Mech. Eng. 2009, 198, 2911–2935. [Google Scholar] [CrossRef]
- Koizumi, M.; Niino, M. Overview of FGM research in Japan. Mrs Bull. 1995, 20, 19–21. [Google Scholar] [CrossRef]
- Zhang, B.B.; Jaiswal, P.; Rai, R.; Nelaturi, S. Additive manufacturing of functionally graded material objects: A review. J. Comput. Inf. Sci. Eng. 2018, 18, 223–235. [Google Scholar] [CrossRef]
- Xu, F.X.; Zhang, X.; Zhang, H. A review on functionally graded structures and materials for energy absorption. Eng. Struct. 2018, 171, 309–325. [Google Scholar] [CrossRef]
- Cramer, C.L.; Hsin, W.; Kaka, M. Performance of functionally graded thermoelectric materials and devices: A review. J. Electron. Mater. 2018, 47, 5122–5132. [Google Scholar] [CrossRef]
- Petit, C.; Palmero, P. Functionally Graded Ceramics for biomedical application: Concept, manufacturing, properties. Int. J. Appl. Ceram. Technol. 2018, 15, 820–840. [Google Scholar] [CrossRef]
- Suresh, S. Graded materials for resistance to contact deformation and damage. Science 2001, 292, 2447–2451. [Google Scholar] [CrossRef]
- Birman, V. Modeling and Analysis of Functionally Graded Materials and Structures. Appl. Mech. Rev. 2007, 60, 195–216. [Google Scholar] [CrossRef]
- Shanmugavel, P.; Bhaskar, G.B.; Chandrasekaran, M.; Mani, P.S.; Srinivasan, S.P. An overview of fracture analysis in functionally graded materials. Eur. J. Sci. Res. 2012, 68, 412–439. [Google Scholar]
- Jha, D.K.; Kant, T.; Singh, R.K. A critical review of recent research on functionally graded plates. Compos. Struct. 2013, 96, 833–849. [Google Scholar] [CrossRef]
- Swaminathan, K.; Naveenkumar, D.T.; Zenkour, A.M.; Carrera, E. Stress, vibration and buckling analyses of FGM plates—A state-of-the-art review. Compos. Struct. 2015, 120, 10–31. [Google Scholar] [CrossRef]
- Swaminathan, K.; Sangeetha, D.M. Thermal analysis of FGM plates—A critical review of various modeling techniques and solution methods. Compos. Struct. 2017, 160, 43–60. [Google Scholar] [CrossRef]
- Barretta, R. Analogies between Kirchhoff plates and Saint-Venant beams under flexure. Acta Mech. 2014, 225, 2075–2083. [Google Scholar] [CrossRef]
- Barretta, R.; Luciano, R. Analogies between Kirchhoff plates and functionally graded Saint-Venant beams under torsion. Contin. Mech. Thermodyn. 2015, 27, 499–505. [Google Scholar] [CrossRef]
- Barretta, R.; Marotti de Sciarra, F. A nonlocal model for carbon nanotubes under axial loads. Adv. Mater. Sci. Eng. 2013, 2013, 360935. [Google Scholar] [CrossRef]
- Barretta, R.; Čanađija, M.; Luciano, R.; de Sciarra, F.M. Stress-driven modeling of nonlocal thermoelastic behavior of nanobeams. Int. J. Eng. Sci. 2018, 126, 53–67. [Google Scholar] [CrossRef]
- Mohammadi, M.; Dryden, J.R.; Jiang, L. Stress concentration around a hole in a radially inhomogeneous plate. Int. J. Solids Struct. 2011, 48, 483–491. [Google Scholar] [CrossRef]
- Yang, Q.; Gao, C.F. Reduction of the stress concentration around an elliptic hole by using a functionally graded layer. Acta Mech. 2016, 227, 2427–2437. [Google Scholar] [CrossRef]
- Dave, J.M.; Sharma, D.S. Stress field around rectangular hole in functionally graded plate. Int. J. Mech. Sci. 2018, 136, 360–370. [Google Scholar] [CrossRef]
- Shi, P.P. Stress field of a radially functionally graded panel with a circular elastic inclusion under static anti-plane shear loading. J. Mech. Sci. Technol. 2015, 29, 1163–1173. [Google Scholar] [CrossRef]
- Shi, P.P. Imperfect interface effect for nanocomposites accounting for fiber section shape under antiplane shear. Appl. Math. Model. 2017, 43, 393–408. [Google Scholar] [CrossRef]
- Goyat, V.; Verma, S.; Garg, R.K. Reduction in stress concentration around a pair of circular holes with functionally graded material layer. Acta Mech. 2018, 229, 1045–1060. [Google Scholar] [CrossRef]
- Mehrparvar, M.; Ghannadpour, S.A.M. Plate assembly technique for nonlinear analysis of relatively thick functionally graded plates containing rectangular holes subjected to in-plane compressive load. Compos. Struct. 2018, 202, 867–880. [Google Scholar] [CrossRef]
- Shi, P.P.; Zheng, X.J. The Yoffe-type moving tubular interface crack in a hollow composite cylinder with finite length. Int. J. Mech. Sci. 2015, 98, 29–38. [Google Scholar] [CrossRef]
- Shi, P.P.; Sun, S.; Li, X. Arc-shaped interfacial crack in a non-homogeneous electro-elastic hollow cylinder with orthotropic dielectric layer. Meccanica 2013, 48, 415–426. [Google Scholar] [CrossRef]
- Shi, P.P.; Sun, S.; Li, X. The cyclically symmetric distributed cracks on the arc-shaped interface between a functionally graded magneto-electro-elastic layer and an orthotropic elastic substrate under static anti-plane shear load. Eng. Fract. Mech. 2013, 105, 238–249. [Google Scholar] [CrossRef]
- Shi, P.P. Effect of boundary conditions on the interfacial fracture behavior: Circular arc antiplane crack model for an annular sector bilayer plate. Theor. Appl. Fract. Mech. 2016, 82, 136–151. [Google Scholar] [CrossRef]
- Sburlati, R. Stress concentration factor due to a functionally graded ring around a hole in an isotropic plate. Int. J. Solids Struct. 2013, 50, 3649–3658. [Google Scholar] [CrossRef]
- Gouasmi, S.; Megueni, A.; Bouchikhi, A.S.; Zouggar, K.; Sahli, A. On the reduction of stress concentration factor around a notch using a functionally graded layer. Mater. Res. 2015, 18, 971–977. [Google Scholar] [CrossRef]
- Sburlati, R.; Atashipour, S.R.; Atashipour, S.A. Reduction of the stress concentration factor in a homogeneous panel with hole by using a functionally graded layer. Compos. Part B Eng. 2014, 61, 99–109. [Google Scholar] [CrossRef]
- Hsu, W.H.; Chien, W.T. Effect of electrical discharge machining on stress concentration in titanium alloy holes. Materials 2016, 9, 957. [Google Scholar] [CrossRef]
- Yang, Y.; Cheng, Y.; Zhu, W. Stress concentration around a rectangular cuboid hole in a three-dimensional elastic body under tension loading. Arch. Appl. Mech. 2018, 88, 1229–1241. [Google Scholar] [CrossRef]
- Kubair, D.V.; Bhanu-Chandar, B. Stress concentration factor due to a circular hole in functionally graded panels under uniaxial tension. Int. J. Mech. Sci. 2008, 50, 732–742. [Google Scholar] [CrossRef]
- Nie, G.J.; Zhong, Z.; Batra, R.C. Material tailoring for reducing stress concentration factor at a circular hole in a functionally graded material (FGM) panel. Compos. Struct. 2018, 205, 49–57. [Google Scholar] [CrossRef]
- Kim, J.H.; Paulino, G.H. Isoparametric graded finite elements for nonhomogeneous isotropic and orthotropic materials. J. Appl. Mech. 2002, 69, 502–514. [Google Scholar] [CrossRef]
- Huang, J.; Venkataraman, S.; Rapoff, A.J.; Haftka, R.T. Optimization of axisymmetric elastic modulus distributions around a hole for increased strength. Struct. Multidiscip. Optim. 2003, 25, 225–236. [Google Scholar] [CrossRef]
- Chen, Z.; Li, W.; Negahban, M.; Saiter, J.M.; Delpouve, N.; Tan, L.; Li, Z. Approaching the upper bound of load capacity: Functional grading with interpenetrating polymer networks. Mater. Des. 2018, 137, 152–163. [Google Scholar] [CrossRef]
- Young, W.C.; Budynas, R.G.; Sadegh, A.M. Roark’s Formulas for Stress and Strain, 8th ed.; McGraw-Hill Companies: New York, NY, USA, 2012. [Google Scholar]













| Values | ||||
|---|---|---|---|---|
| Simulations Parameters | Width of Rectangle Panel W | Length of Rectangle Panel L | Semi-Major Axis of Elliptical Hole a | Semi-Minor Axis of Elliptical Hole b |
| Figure 2 | 200 mm | L/W changes from 1 to 5 | a/W changes from 0.05 to 0.4 | b = a |
| Figure 3 | 200 mm | 200 mm | Case for no hole, b = a = 0 mm | |
| Figure 4 | 200 mm | 200 mm | 10 mm | b = a |
| Figure 5, Figure 6, Figure 7, Figure 8, Figure 9, Figure 10, Figure 11 and Figure 12 | 200 mm | 300 mm | 60 mm | 40 mm |
© 2019 by the authors. Licensee MDPI, Basel, Switzerland. This article is an open access article distributed under the terms and conditions of the Creative Commons Attribution (CC BY) license (http://creativecommons.org/licenses/by/4.0/).
Share and Cite
Wang, W.; Yuan, H.; Li, X.; Shi, P. Stress Concentration and Damage Factor Due to Central Elliptical Hole in Functionally Graded Panels Subjected to Uniform Tensile Traction. Materials 2019, 12, 422. https://doi.org/10.3390/ma12030422
Wang W, Yuan H, Li X, Shi P. Stress Concentration and Damage Factor Due to Central Elliptical Hole in Functionally Graded Panels Subjected to Uniform Tensile Traction. Materials. 2019; 12(3):422. https://doi.org/10.3390/ma12030422
Chicago/Turabian StyleWang, Wenshuai, Hongting Yuan, Xing Li, and Pengpeng Shi. 2019. "Stress Concentration and Damage Factor Due to Central Elliptical Hole in Functionally Graded Panels Subjected to Uniform Tensile Traction" Materials 12, no. 3: 422. https://doi.org/10.3390/ma12030422
APA StyleWang, W., Yuan, H., Li, X., & Shi, P. (2019). Stress Concentration and Damage Factor Due to Central Elliptical Hole in Functionally Graded Panels Subjected to Uniform Tensile Traction. Materials, 12(3), 422. https://doi.org/10.3390/ma12030422

