Modeling of One-Side Surface Modifications of Graphene
Abstract
1. Introduction
2. Model of Modified Graphene Sheet
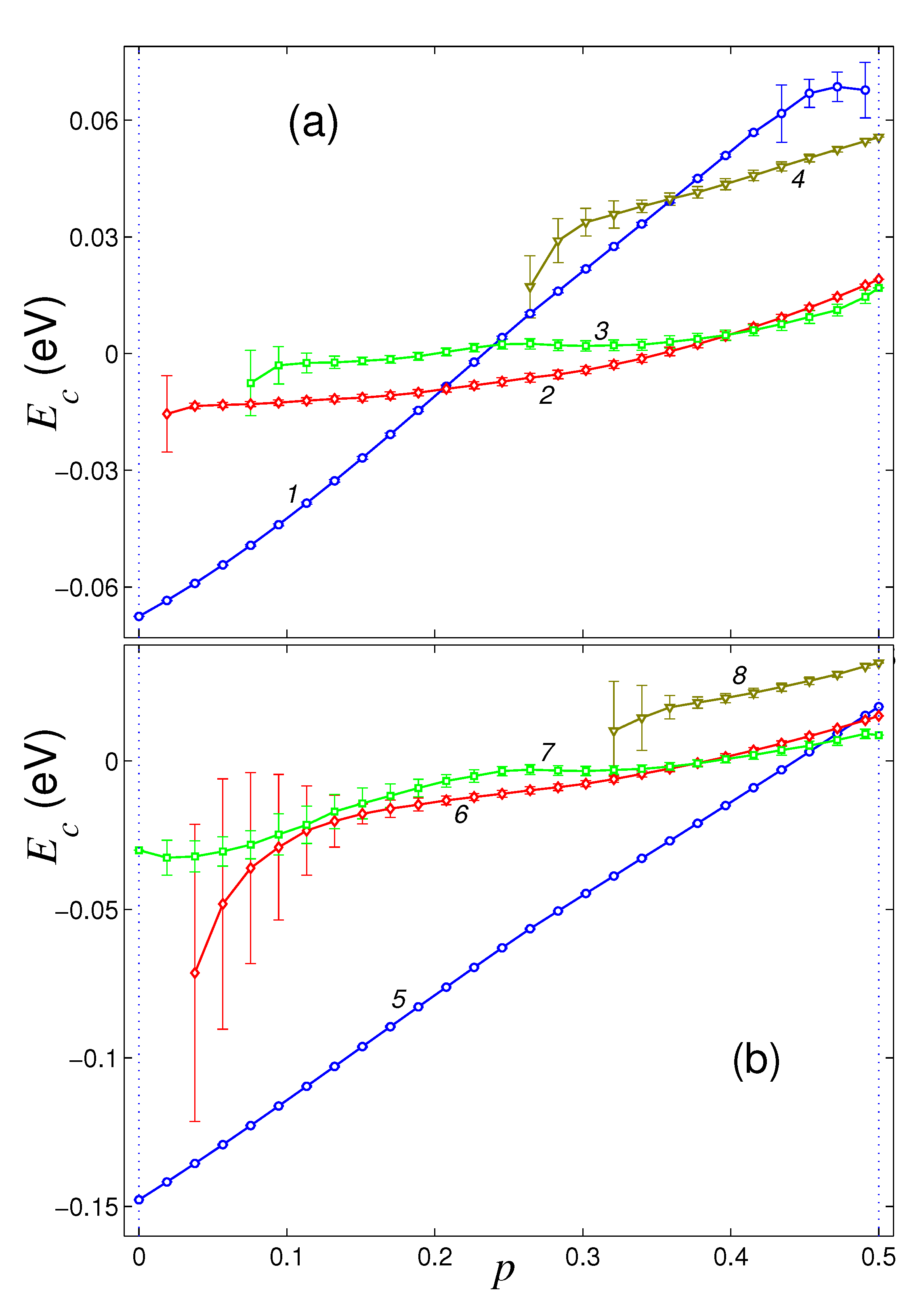
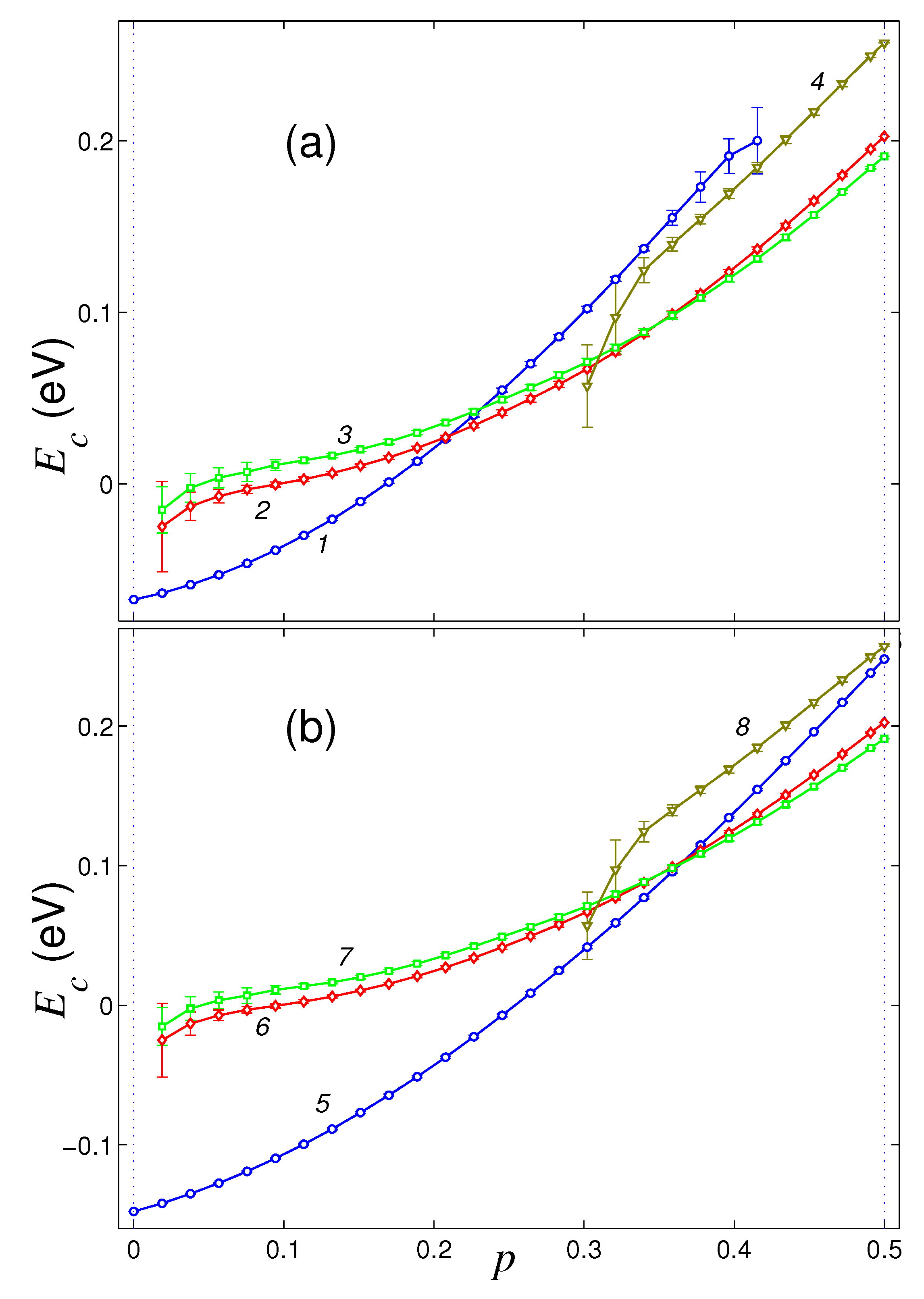
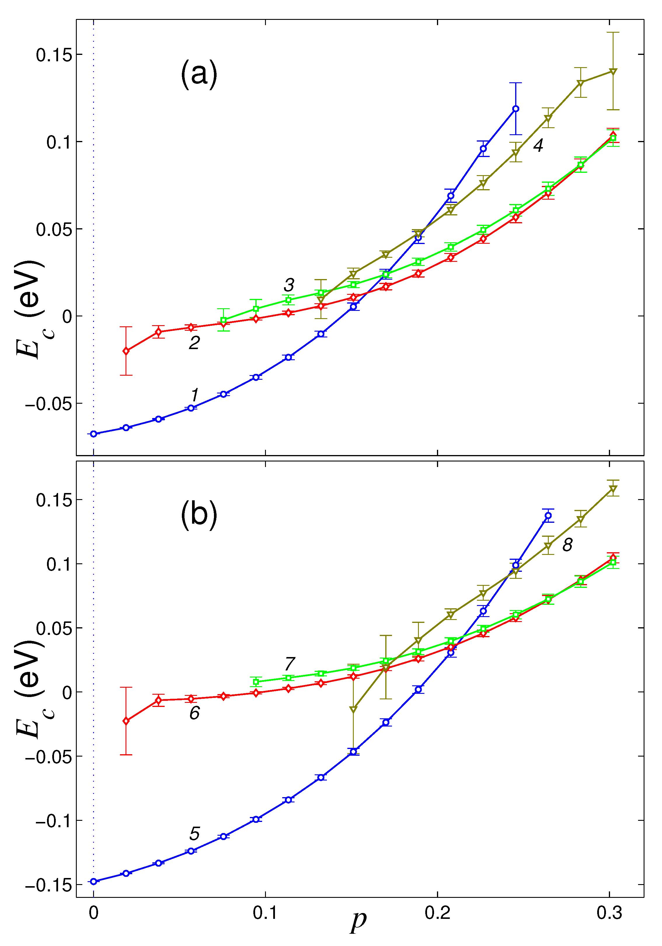
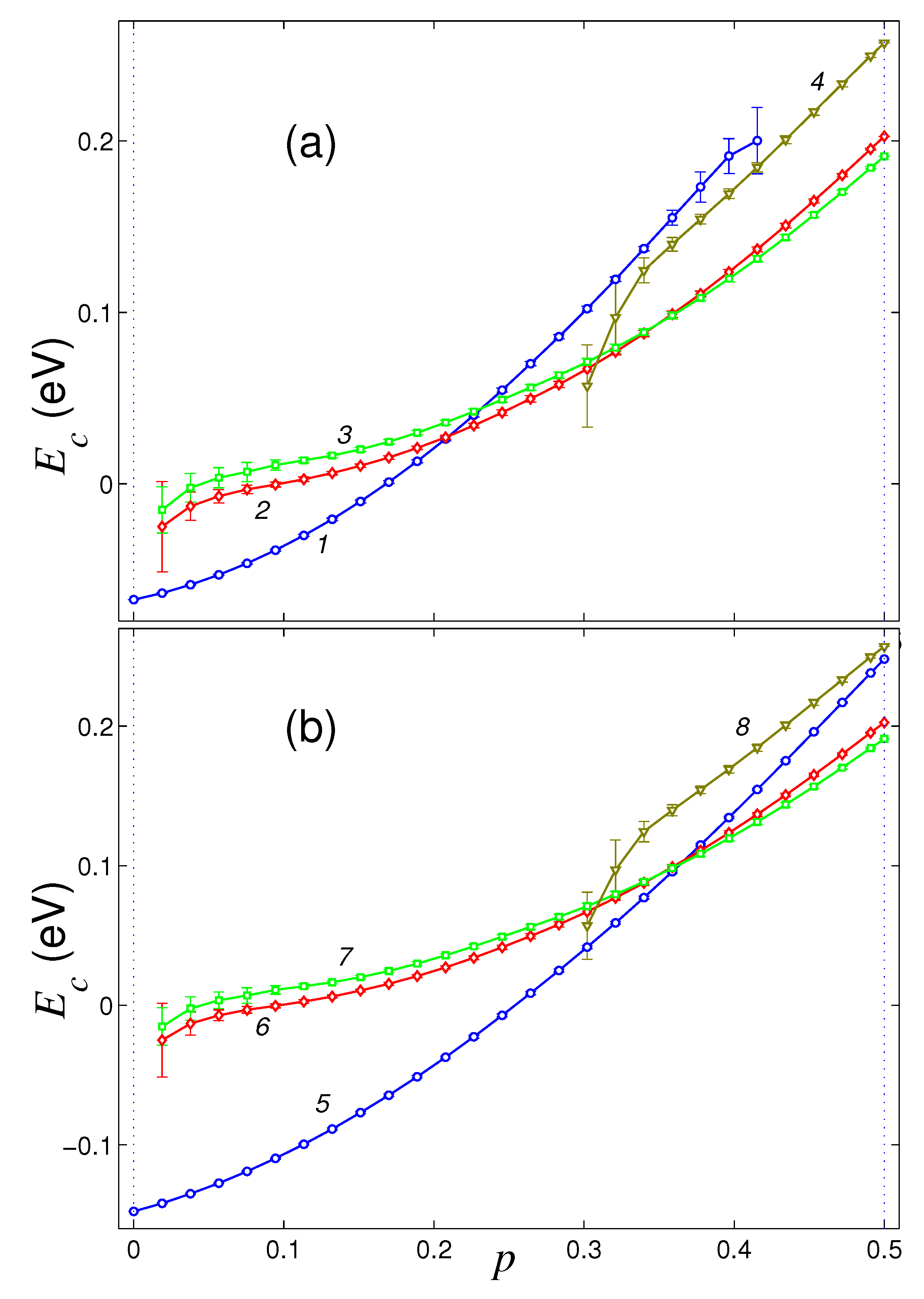
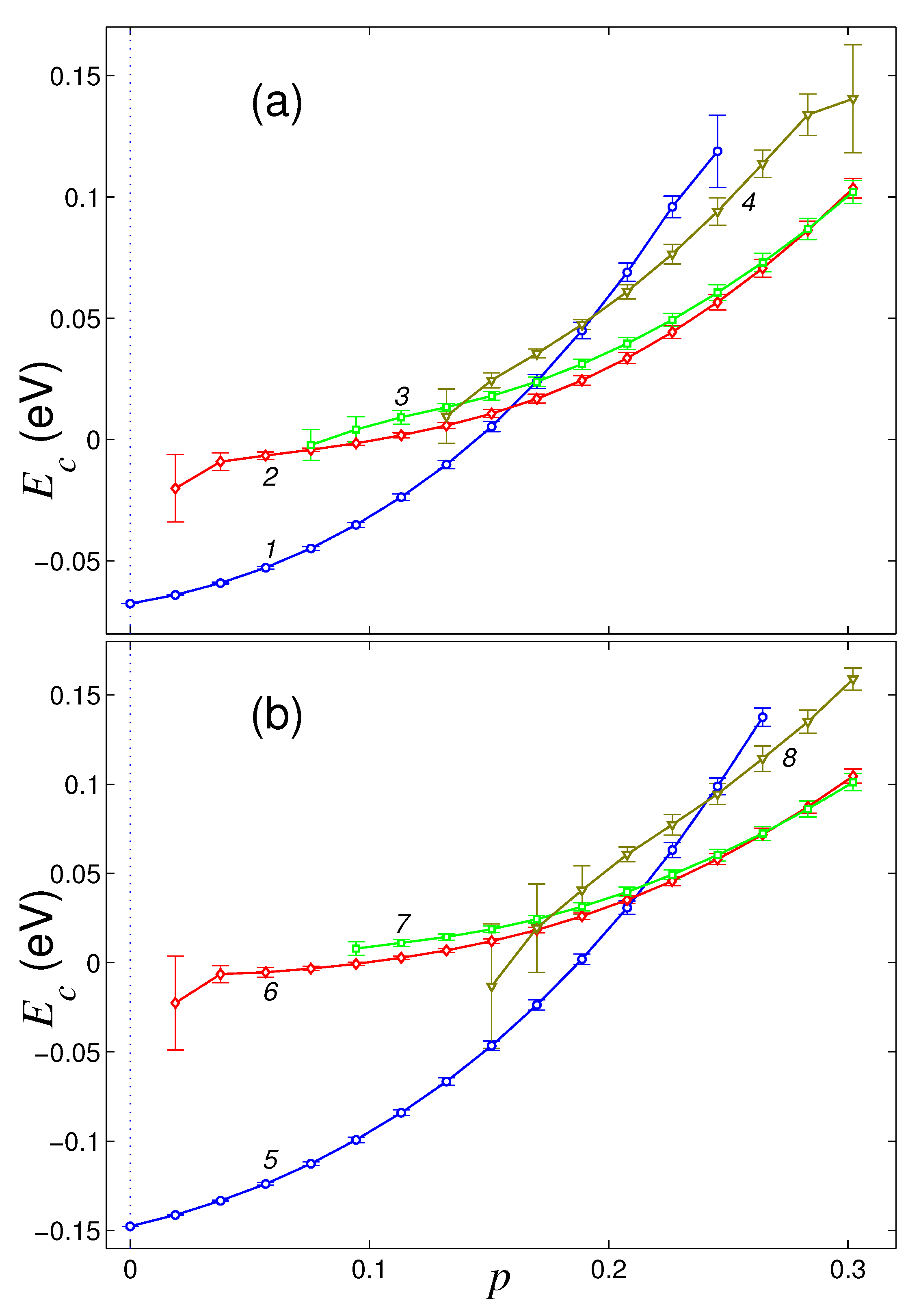
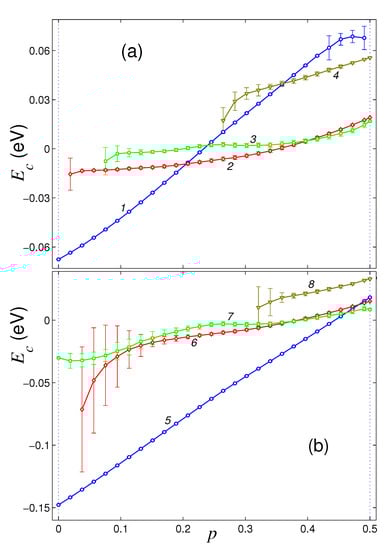
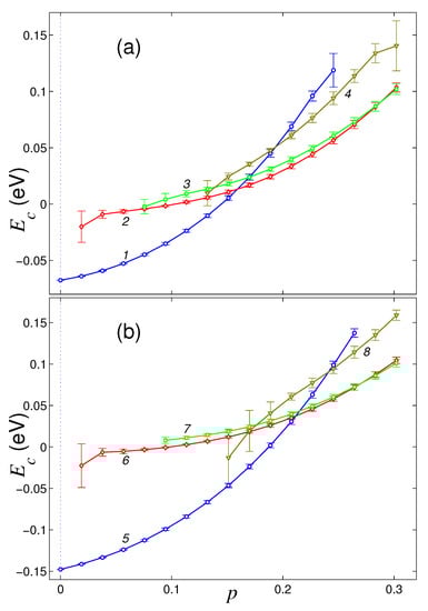
3. Stationary Structures of Square Sheet
4. Conclusions
Author Contributions
Funding
Acknowledgments
Conflicts of Interest
References
- Novoselov, K.S.; Geim, A.K.; Morozov, S.V.; Jiang, D.; Zhang, Y.; Dubonos, S.V.; Grigorieva, I.V.; Firsov, A.A. Electric Field Effect in Atomically Thin Carbon Films. Science 2004, 306, 666. [Google Scholar] [CrossRef] [PubMed]
- Geim, A.K.; Novoselov, K.S. The rise of graphene. Nat. Mater. 2007, 6, 183. [Google Scholar] [CrossRef] [PubMed]
- Soldano, C.; Mahmood, A.; Dujardin, E. Production, properties and potential of graphene. Carbon 2010, 48, 2127. [Google Scholar] [CrossRef]
- Peng, Q.; Dearden, A.K.; Crean, J.; Han, L.; Liu, S.; Wen, X.; De, S. New materials graphyne, graphdiyne, graphone, and graphane: Review of properties, synthesis, and application in nanotechnology. Nanotechnol. Sci. Appl. 2014, 7, 1. [Google Scholar] [CrossRef] [PubMed]
- Sofo, J.O.; Chaudhari, A.S.; Barber, G.D. Graphane: A two-dimensional hydrocarbon. Phys. Rev. B 2007, 75, 153401. [Google Scholar] [CrossRef]
- Elias, D.C.; Nair, R.R.; Mohiuddin, T.M.G.; Morozov, S.V.; Blake, P.; Halsall, M.P.; Ferrari, A.C.; Boukhalov, D.W.; Katsnelson, M.I.; Geim, A.K.; et al. Control of Graphene’s Properties by Reversible Hydrogenation: Evidence for Graphane. Science 2009, 323, 610. [Google Scholar] [CrossRef]
- Nair, R.R.; Ren, W.; Jalil, R.; Riaz, I.; Kravets, V.G.; Britnell, L.; Blake, P.; Schedin, F.; Mayorov, A.S.; Yuan, S.; et al. Fluorographene: A two-dimensional counterpart of Teflon. Small 2010, 6, 2877–2884. [Google Scholar] [CrossRef]
- Leenaerts, O.; Peelaers, H.; Hernández-Nieves, A.D.; Partoens, B.; Peeters, F.M. First-principles investigation of graphene fluoride and graphane. Phys. Rev. B 2010, 82, 195436. [Google Scholar] [CrossRef]
- Zhou, J.; Wang, Q.; Sun, Q.; Chen, X.C.; Kawazoe, Y.; Jena, P. Ferromagnetism in Semihydrogenated Graphene Sheet. Nano Lett. 2009, 9, 3867. [Google Scholar] [CrossRef]
- Balog, R.; Jorgensen, B.; Nilsson, L.; Andersen, M.; Rienks, E.; Bianchi, M.; Fanetti, M.; Lagsgaard, E.; Baraldi, A.; Lizzit, S.; et al. Bandgap opening in graphene induced by patterned hydrogen adsorption. Nat. Mater. 2010, 9, 315. [Google Scholar] [CrossRef]
- Neek-Amal, M.; Beheshtian, J.; Shayeganfar, F.; Singh, S.K.; Los, J.H.; Peeters, F.M. Spiral graphone and one-sided fluorographene nanoribbons. Phys. Rev. B 2013, 87, 075448. [Google Scholar] [CrossRef]
- Zhao, W.; Gebhardt, J.; Späth, F.; Gotterbarm, K.; Gleichweit, C.; Steinrück, H.-P.; Görling, A.; Papp, C. Reversible Hydrogenation of Graphene on Ni(111)—Synthesis of “Graphone”. Chem. Eur. J. 2015, 21, 3347. [Google Scholar] [CrossRef] [PubMed]
- Robinson, J.T.; Burgess, J.S.; Junkermier, C.E.; Badescu, S.C.; Reinecke, T.L.; Perkins, F.K.; Zalatudinov, M.K.; Baldwin, J.W.; Culbertson, J.C.; Sheehan, P.E.; et al. Properties of Fluorinated Graphene Films. Nano Lett. 2010, 10, 3001–3005. [Google Scholar] [CrossRef] [PubMed]
- Enyashin, A.N.; Ivanovskii, A.L. Layers and tubes of fluorographene C4F: Stability, structural and electronic properties from DFTB calculations. Chem. Phys. Lett. 2013, 576, 44–48. [Google Scholar] [CrossRef]
- Sahin, H.; Ciraci, S. Chlorine Adsorption on Graphene: Chlorographene. J. Phys. Chem. C 2012, 116, 24075–24083. [Google Scholar] [CrossRef]
- Ruffieux, P.; Gröning, O.; Bielmann, M.; Mauron, P.; Schlapbach, L.; Gröning, P. Hydrogen adsorption on sp2-bonded carbon: Influence of the local curvature. Phys. Rev. B 2002, 66, 245416. [Google Scholar] [CrossRef]
- Pei, Q.X.; Zhang, Y.W.; Shenoy, V.B. A molecular dynamics study of the mechanical properties of hydrogen functionalized graphene. Carbon 2010, 48, 898. [Google Scholar] [CrossRef]
- Reddy, C.D.; Zhang, Y.W.; Shenoy, V.B. Patterned graphone—A novel template for molecular packing. Nanotechnology 2012, 23, 165303. [Google Scholar] [CrossRef]
- Liu, Z.; Xue, Q.; Xing, W.; Dub, Y.; Han, Z. Self-assembly of C4H-type hydrogenated graphene. Nanoscale 2013, 5, 11132. [Google Scholar] [CrossRef]
- Zhu, S.; Li, T. Hydrogenation enabled scrolling of graphene. J. Phys. D Appl. Phys. 2013, 46, 075301. [Google Scholar] [CrossRef]
- Liu, Z.; Xue, Q.; Tao, Y.; Li, X.; Wu, T.; Jin, Y.; Zhang, Z. Carbon nanoscroll from C4H/C4F-type graphene superlattice: MD and MM simulation insights. Phys. Chem. Chem. Phys. 2015, 17, 3441. [Google Scholar] [CrossRef] [PubMed]
- Savin, A.V.; Sakovich, R.A.; Mazo, M.A. Using spiral chain models for study of nanoscroll structures. Phys. Rev. B 2018, 97, 165436. [Google Scholar] [CrossRef]
- Stoney, G.G. The tension of metallic films deposited by electrolysis. Proc. R. Soc. Lond. Ser. A 1909, 82, 172. [Google Scholar] [CrossRef]
- Martinez, R.E.; Augustyniak, W.M.; Golovchenko, J.A. Direct Measurement of Crystal Surface Stress. Phys. Rev. Lett. 1990, 64, 1035. [Google Scholar] [CrossRef]
- Schell-Sorokin, A.J.; Tromp, R.M. Mechanical Stresses in (Sub) monolayer Epitaxial Films. Phys. Rev. Lett. 1990, 64, 1039. [Google Scholar] [CrossRef]
- Schell-Sorokin, A.J.; Tromp, R.M. Measurement of surface stress during epitaxial growth of Ge on arsenic terminated Si( 001). Surf. Sci. 1994, 319, 110. [Google Scholar] [CrossRef]
- Zahl, P.; Kury, P.; von Hoegen, M.H. Interplay of surface morphology, strain relief, and surface stress during surfactant mediated epitaxy of Ge on Si. Appl. Phys. A 1999, 69, 481. [Google Scholar] [CrossRef]
- Kosevich, Y.A.; Kosevich, A.M. On the possibility of measuring the tensor of surface stress in thin crystalline plates. Solid State Commun. 1989, 70, 541. [Google Scholar] [CrossRef]
- Cammarata, R.C.; Sieradzki, K. Effects of Surface Stress on the Elastic Moduli of Thin Films and Superlattices. Phys. Rev. Lett. 1989, 62, 2005. [Google Scholar] [CrossRef]
- Cammarata, R.C. Surface and interface stress in thin films. Progr. Surf. Sci. 1994, 46, 1. [Google Scholar] [CrossRef]
- Kosevich, Y.A. Capillary phenomena and macroscopic dynamics of complex two-dimensional defects in crystals. Progr. Surf. Sci. 1997, 55, 1. [Google Scholar] [CrossRef]
- Grima, J.N.; Grech, M.C.; Grima-Cornish, J.N.; Gatt, R.; Attard, D. Giant Auxetic Behaviour in Engineered Graphene. Ann. Phys. 2018, 530, 1700330. [Google Scholar] [CrossRef]
- Woellner, C.F.; Autreto, P.A.S.; Galvao, D.S. Graphone (one-side hydrogenated graphene) formation on different substrates. arXiv 2016, arXiv:1606.09235. [Google Scholar]
- Woellner, C.F.; Autreto, P.A.S.; Galvao, D.S. One Side-Graphene Hydrogenation (Graphone): Substrate Effects. MRS Adv. 2016, 1, 1429. [Google Scholar] [CrossRef]
- Kosevich, Y.A.; Syrkin, E.S. Long wavelength surface oscillations of a crystal with an adsorbed monolayer. Phys. Lett. A 1989, 135, 298. [Google Scholar] [CrossRef]
- Garova, E.A.; Maradudin, A.A.; Mayer, A.P. Interaction of Rayleigh waves with randomly distributed oscillators on the surface. Phys. Rev. B 1999, 59, 13291. [Google Scholar] [CrossRef]
- Maznev, A.A.; Gusev, V.E. Waveguiding by a locally resonant metasurface. Phys. Rev. B 2015, 92, 115422. [Google Scholar] [CrossRef]
- Boechler, N.; Eliason, J.K.; Kumar, A.; Maznev, A.A.; Nelson, K.A.; Fang, N. Interaction of a contact resonance of microspheres with surface acoustic waves. Phys. Rev. Lett. 2013, 111, 036103. [Google Scholar] [CrossRef]
- Beltramo, P.J.; Schneider, D.; Fytas, G.; Furst, E.M. Anisotropic hypersonic phonon propagation in films of aligned ellipsoids. Phys. Rev. Lett. 2014, 113, 205503. [Google Scholar] [CrossRef]
- Dahal, A.; Batzill, M. Graphene–nickel interfaces: A review. Nanoscale 2014, 6, 2548. [Google Scholar] [CrossRef]
- Cornell, W.D.; Cieplak, P.; Bayly, C.I.; Gould, I.R.; Merz, K.M.; Ferguson, D.M.; Spellmeyer, D.C.; Fox, T.; Caldwell, J.W.; Kollman, P.A. A second generation force field for the simulation of proteins, nucleic acids, and organic molecules. J. Am. Chem. Soc. 1995, 117, 5179. [Google Scholar] [CrossRef]
- Savin, A.V.; Mazo, M.A. Simulation of Scrolled Packings of Graphone Nanoribbons. Phys. Solid State 2017, 59, 1260. [Google Scholar] [CrossRef]
- Savin, A.V.; Kivshar, Y.S.; Hu, B. Suppression of thermal conductivity in graphene nanoribbons with rough edges. Phys. Rev. B 2010, 82, 195422. [Google Scholar] [CrossRef]
- Casolo, S.; Lovvik, O.M.; Martinazzo, R.; Tantardini, G.F. Understanding adsorption of hydrogen atoms on graphene. J. Chem. Phys. 2009, 130, 054704. [Google Scholar] [CrossRef] [PubMed]
- Setton, R. Carbon nanotubes—II. Cohesion and formation energy of cylindrical nanotubes. Carbon 1996, 34, 69–75. [Google Scholar] [CrossRef]
- Rappé, A.K.; Casewit, C.J.; Colwell, K.S.; Goddard, W.A., III; Skiff, W.M. UFF, a full periodic table force field for molecular mechanics and molecular dynamics simulations. J. Am. Chem. Soc. 1992, 114, 10024–10035. [Google Scholar]
- Savin, A.V.; Savina, O.I. Bistability of Multiwalled Carbon Nanotubes Arranged on Plane Substrates. Phys. Solid State 2019, 61, 2241–2248. [Google Scholar] [CrossRef]
- Lahiri, J.; Miller, T.S.; Ross, A.J.; Adamska, L.; Oleynik, I.I.; Batzill, M. Graphene growth and stability at nickel surfaces. New J. Phys. 2011, 13, 025001. [Google Scholar] [CrossRef]
- Gamo, Y.; Nagashima, A.; Wakabayashi, M.; Terai, M.; Oshima, C. Atomic structure of monolayer graphite formed on Ni(111). Surf. Sci. 1997, 374, 61–64. [Google Scholar] [CrossRef]






| X—Y | (eV) | (Å) | (Å−1) |
|---|---|---|---|
| C—C | 4.9632 | 1.418 | 1.7889 |
| C—C′ | 4.0 | 1.522 | 1.65 |
| C—H | 4.28 | 1.08 | 1.8 |
| C′—F | 5.38 | 1.36 | 2.0 |
| C′—Cl | 3.40 | 1.761 | 2.0 |
| X—Y—Z | (eV) | (°) |
|---|---|---|
| C—C—C | 1.3143 | 120.0 |
| C—C′—C | 1.3 | 109.5 |
| C′—C′—C′ | 1.3 | 109.5 |
| C—C—H | 0.8 | 120.0 |
| C—C′—W | 1.0 | 109.5 |
| C′—C′—H | 1.0 | 109.5 |
| H—C′—H | 0.7 | 109.5 |
| X,Y | (eV) | (Å−1) |
|---|---|---|
| C,C | 0.002757 | 3.393 |
| H,H | 0.000681 | 2.471 |
| C,H | 0.001369 | 2.932 |
| F,F | 0.002645 | 3.118 |
| C,F | 0.002700 | 3.256 |
| Cl,Cl | 0.009843 | 3.516 |
| C,Cl | 0.005209 | 3.455 |
| (eV) | (Å−1) | l | k | (N/m) | (cm−1) | |
|---|---|---|---|---|---|---|
| SiO2 | 0.037 | 4.13 | 16 | 3.75 | 2.1 | 54.5 |
| graphite | 0.052 | 3.37 | 10 | 3.75 | 2.8 | 62.4 |
| Si (100) | 0.061 | 3.85 | 14 | 3.75 | 3.4 | 69.8 |
| 6H-SiC | 0.073 | 4.19 | 17 | 3.75 | 4.2 | 77.5 |
| Au (111) | 0.073 | 2.96 | 10 | 3.5 | 4.7 | 81.4 |
| h-BN | 0.090 | 3.46 | 10 | 3.75 | 4.5 | 80.1 |
| Ni (111) | 0.133 | 2.14 | - | - | 41.0 | 240 |
© 2019 by the authors. Licensee MDPI, Basel, Switzerland. This article is an open access article distributed under the terms and conditions of the Creative Commons Attribution (CC BY) license (http://creativecommons.org/licenses/by/4.0/).
Share and Cite
Savin, A.V.; Kosevich, Y.A. Modeling of One-Side Surface Modifications of Graphene. Materials 2019, 12, 4179. https://doi.org/10.3390/ma12244179
Savin AV, Kosevich YA. Modeling of One-Side Surface Modifications of Graphene. Materials. 2019; 12(24):4179. https://doi.org/10.3390/ma12244179
Chicago/Turabian StyleSavin, Alexander V., and Yuriy A. Kosevich. 2019. "Modeling of One-Side Surface Modifications of Graphene" Materials 12, no. 24: 4179. https://doi.org/10.3390/ma12244179
APA StyleSavin, A. V., & Kosevich, Y. A. (2019). Modeling of One-Side Surface Modifications of Graphene. Materials, 12(24), 4179. https://doi.org/10.3390/ma12244179

