Recent Progress in Nanomaterials for Modern Concrete Infrastructure: Advantages and Challenges
Abstract
1. Introduction
2. Nanomaterials in Cement-Based Materials
2.1. Nano-Silica (Nano-SiO2)
2.2. Nano-Ferric Oxide (Nano-Fe2O3)
2.3. Nano-Titanium Oxide (Nano-TiO2)
2.4. Nano-Alumina (Al2O3)
2.5. Carbon Nanotubes (CNTs)
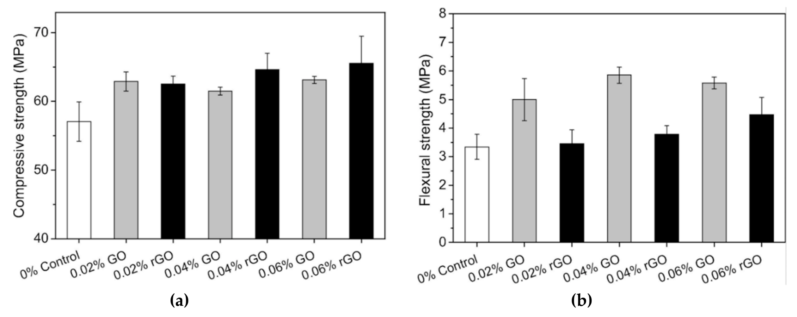
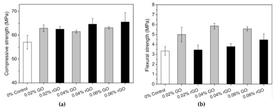
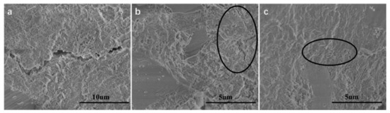
2.6. Graphene-Based Nanomaterials
3. Challenges
4. Conclusions
Author Contributions
Funding
Conflicts of Interest
References
- Aslani, F. Nanoparticles in self-compacting concrete. A review. Mag. Concr. Res. 2015, 67, 1084–1100. [Google Scholar] [CrossRef]
- Kawashima, S.; Hou, P.; Corr, D.J.; Shah, S.P. Modification of cement-based materials with nanoparticles. Cem. Concr. Compos. 2013, 36, 8–15. [Google Scholar] [CrossRef]
- Chuah, S.; Pan, Z.; Sanjayan, J.G.; Wang, C.M.; Duan, W.H. Nano reinforced cement and concrete composites and new perspective from graphene oxide. Constr. Build. Mater. 2014, 73, 113–124. [Google Scholar] [CrossRef]
- Lazaro, A.; Yu, Q.L.; Brouwers, H.J.H. Nanotechnologies for sustainable construction. In Sustainability of Construction Materials, 2nd ed.; Khatib, J.M., Ed.; Woodhead Publishing: Duxford, UK, 2016; pp. 55–78. [Google Scholar] [CrossRef]
- Hanus, M.J.; Harris, A.T. Nanotechnology innovations for the construction industry. Prog. Mater. Sci. 2013, 58, 1056–1102. [Google Scholar] [CrossRef]
- Saleh, H.M.; El-Sheikh, S.M.; Elshereafy, E.E.; Essa, A.K. Performance of cement-slag-titanate nanofibers composite immobilized radioactive waste solution through frost and flooding events. Constr. Build. Mater. 2019, 223, 221–232. [Google Scholar] [CrossRef]
- Jassam, T.H.; Kien-Woh, K.; Yang-Zhi, J.N.; Lau, B.; Yaseer, M.M.M. Novel cement curing technique by using controlled release of carbon dioxide coupled with nanosilica. Constr. Build. Mater. 2019, 223, 692–704. [Google Scholar] [CrossRef]
- Du, H. Properties of ultra-lightweight cement composites with nano-silica. Constr. Build. Mater. 2019, 199, 696–704. [Google Scholar] [CrossRef]
- Xu, J.; Shen, W.; Corr, D.J.; Shan, S.P. Effects of nanosilica on cement grain/C–S–H gel interfacial properties quantified by modulus mapping and nanoscratch. Mater. Res. Express 2019, 6, 045061. [Google Scholar] [CrossRef]
- Evangelista, A.C.J.; de Morais, J.F.; Tam, V.; Soomro, M.; Di Gregorio, L.T.; Haddad, A.N. Evaluation of Carbon Nanotube Incorporation in Cementitious Composite Materials. Materials 2019, 12, 1504. [Google Scholar] [CrossRef]
- Srikanth, M.; Asmatulu, R. Nanotechnology safety in the construction and infrastructure industries. In Nanotechnology Safety in the Construction and Infrastructure Industries, 1st ed.; Asmatulu, R., Ed.; Elsevier: Burlington, MA, USA, 2013; pp. 99–1013. [Google Scholar] [CrossRef]
- Konsta-Gdoutos, M.S.; Aza, C.A. Self-sensing carbon nanotube (CNT) and nanofiber (CNF) cementitious composites for teal time damage assessment in smart structures. Cem. Concr. Compos. 2014, 53, 162–169. [Google Scholar] [CrossRef]
- Carriço, A.; Bogas, J.A.; Hawreen, A.; Guedes, M. Durability of multi-walles carbon nanotube reinforced concrete. Constr. Build. Mater. 2018, 164, 121–133. [Google Scholar] [CrossRef]
- Papanikolaou, I.; Arena, N.; Al-Tabbaa, A. Graphene nanoplatelet reinforced concrete for self-sensing structures—A lifecycle assessment perspective. J. Clean. Prod. 2019, 240, 118202. [Google Scholar] [CrossRef]
- Mahdikhani, M.; Bamshad, O.; Shirvani, M.F. Mechanical properties and durability of concrete specimens containing nano silica in sulfuric acid rain condition. Constr. Build. Mater. 2018, 167, 929–935. [Google Scholar] [CrossRef]
- Zabihi, N.; Ozkul, M.H. The fresh properties of nano silica incorporating polymer-modified cement pastes. Constr. Build. Mater. 2018, 168, 570–579. [Google Scholar] [CrossRef]
- Luo, Z.; Li, W.; Wang, K.; Shah, S.P. Research progress in advanced nanomechanical characterization of cement-based materials. Cem. Concr. Compos. 2018, 94, 277–295. [Google Scholar] [CrossRef]
- Mijowska, E.; Horszczaruk, E.; Sikora, P.; Cendrowski, K. The effect of nanomaterials on thermal resistance of cement-based composites exposed to elevated temperature. Mater. Today Proc. 2018, 5, 15968–15975. [Google Scholar] [CrossRef]
- Rai, S.; Tiwari, S. Nano Silica in Cement Hydration. Mater. Today Proc. 2018, 5, 9196–9202. [Google Scholar] [CrossRef]
- El-Gamal, S.M.A.; Hashem, F.S.; Amin, M.S. Influence of carbon nanotubes, nanosilica and nanometakaolin on some morphological-mechanical properties of oil well cement pastes subjected to elevated water curing temperature and regular room air curing temperature. Constr. Build. Mater. 2017, 146, 531–546. [Google Scholar] [CrossRef]
- Li, L.G.; Huang, Z.H.; Zhu, J.; Kwan, A.K.H.; Chen, H.Y. Synergistic effects of micro-silica and nano-silica on strength and microstructure of mortar. Constr. Build. Mater. 2017, 140, 229–238. [Google Scholar] [CrossRef]
- Braz de Abreu, G.B.; Marques-Costa, S.M.; Gumieri, A.G.; Fonseca-Calixto, J.M.; França, F.C.; Silva, C.; Delgado-Quinõnes, A. Mechanical properties and microstructure of high performance concrete containing stabilized nano-silica. Matéria 2017, 22, e11824. [Google Scholar] [CrossRef]
- Sobolev, K. Modern developments related to nanotechnology and nanoengineering of concrete. Front. Struct. Civ. Eng. 2016, 10, 131–141. [Google Scholar] [CrossRef]
- Yang, Q.; Liu, P.; Ge, Z.; Wang, D. Self-Sensing Carbon Nanotube-Cement Composite Material for Structural Health Monitoring of Pavements. J. Test. Eval. 2020, 48. [Google Scholar] [CrossRef]
- Silvestre, J.; Silvestre, N.; de Brito, J. Review on concrete nanotechnology. Eur. J. Environ. Civ. Eng. 2016, 20, 455–485. [Google Scholar] [CrossRef]
- Huseien, G.F.; Shah, K.W.; Sam, A.R.M. Sustainability of nanomaterials based self-healing concrete: An all-inclusive insight. J. Build. Eng. 2019, 23, 155–171. [Google Scholar] [CrossRef]
- Singh, N.B.; Kalra, M.; Saxena, S.K. Nanoscience of Cement and Concrete. Mater. Today Proc. 2017, 4, 5478–5487. [Google Scholar] [CrossRef]
- Sikora, P.; Horszczaruk, E.; Cendrowski, K.; Mijowska, E. The influence of nano-Fe3O4 on the microstructure and mechanical properties of cementitious composites. Nanoscale Res. Lett. 2016, 11, 182. [Google Scholar] [CrossRef]
- An, J.; Nam, B.H.; Alharbi, Y.; Cho, B.H.; Khawaji, M. Edge-oxidized graphene oxide (EOGO) in cement composites: Cement hydration and microstructure. Compos. Part B Eng. 2019, 173, 106795. [Google Scholar] [CrossRef]
- Xiao, H.; Zhang, F.; Liu, R.; Zhang, R.; Liu, Z.; Liu, H. Effects of pozzolanic and non-pozzolanic nanomaterials on cement-based materials. Constr. Build. Mater. 2019, 213, 1–9. [Google Scholar] [CrossRef]
- He, R.; Huang, X.; Zhang, J.; Geng, Y.; Guo, H. Preparation and evaluation of exhaust-purifying cement concrete employing titanium dioxide. Materials 2019, 12, 2182. [Google Scholar] [CrossRef]
- Sun, J.; She, X.; Tan, G.; Tanner, J.E. Modification effects of nano-SiO2 on early compressive strength and hydration characteristics of high-volume fly ash concrete. J. Mater. Civ. Eng. 2019, 31, 04019057. [Google Scholar] [CrossRef]
- Wang, J.; Wang, W.; Wu, X.; Zhou, Y. Mechanical properties of cement asphalt mortar under low temperature condition. J. Test. Eval. 2019, 47, 1995–2009. [Google Scholar] [CrossRef]
- Tiong, M.; Gholami, R.; Rahman, M.E. Cement degradation in CO2 storage sites: A review on potential applications of nanomaterials. J. Pet. Explor. Prod. Technol. 2019, 9, 329. [Google Scholar] [CrossRef]
- Yoo, D.-Y.; You, I.; Zi, G.; Lee, S.-J. Effects of carbon nanomaterial type and amount on self-sensing capacity of cement paste. Measurement 2019, 134, 750–761. [Google Scholar] [CrossRef]
- Sivasankaran, U.; Raman, S.; Nallusamy, S. Experimental analysis of mechanical properties on concrete with nano silica additive. J. Nano Res. 2019, 57, 93–104. [Google Scholar] [CrossRef]
- Saleh, H.M.; El-Saied, F.A.; Salaheldin, T.A.; Hezo, A.A. Macro- and nanomaterials for improvement of mechanical and physical properties of cement kiln dust-based composite materials. J. Clean. Prod. 2018, 204, 532–541. [Google Scholar] [CrossRef]
- Paul, S.C.; van Rooyen, A.S.; van Zijl, G.P.A.G.; Petrik, L.F. Properties of cement-based composites using nanoparticles: A comprehensive review. Constr. Build. Mater. 2018, 189, 1019–1034. [Google Scholar] [CrossRef]
- Da Rocha Segundo, I.G.; Lages Dias, E.A.; Pereira Fernandes, F.D.; de Freitas, E.F.; Costa, M.F.; Oliveira Carneiro, J. Photocatalytic asphalt pavement: The physicochemical and rheological impact of TiO2 nano/microparticles and ZnO microparticles onto the bitumen. Road Mater. Pavement Des. 2019, 20, 1452–1467. [Google Scholar] [CrossRef]
- Indukuri, C.S.R.; Nerella, R.; Madduru, S.R.C. Effect of graphene oxide on microstructure and strengthened properties of fly ash and silica fume based cement composites. Constr. Build. Mater. 2019, 229, 116863. [Google Scholar] [CrossRef]
- Khooshechin, M.; Tanzadeh, J. Experimental and mechanical performance of shotcrete made with nanomaterials and fiber reinforcement. Constr. Build. Mater. 2018, 165, 199–205. [Google Scholar] [CrossRef]
- Staub de Melo, J.V.; Trichês, G. Study of the influence of nano-TiO2 on the properties of Portland cement concrete for application on road surfaces. Road Mater. Pavement Des. 2018, 19, 1011–1026. [Google Scholar] [CrossRef]
- Diamond, S.A.; Kennedy, A.J.; Melby, N.L.; Moser, R.D.; Poda, A.R.; Weiss, C.A.; Brame, J.A. Assessment of the potential hazard of nano-scale TiO2 in photocatalytic cement: Application of a tiered assessment framework. NanoImpact 2017, 8, 11–19. [Google Scholar] [CrossRef]
- Sikora, P.; Cendrowski, K.; Markowska-Szczupak, A.; Horszczaruk, E.; Mijowska, E. The effects of silica/titania nanocomposite on the mechanical and bactericidal properties of cement mortars. Constr. Build. Mater. 2017, 150, 738–746. [Google Scholar] [CrossRef]
- Balopoulos, V.D.; Archontas, N.; Pantazopoulou, S.J. Model of the mechanical behavior of cementitious matrices reinforced with nanomaterials. J. Eng. 2017, 2017, 7329540. [Google Scholar] [CrossRef]
- Bossa, N.; Chaurand, P.; Levard, C.; Borschneck, D.; Miche, H.; Vicente, J.; Geantet, C.; Aguerre-Chariol, O.; Michel, F.M.; Rose, J. Environmental exposure to TiO2 nanomaterials incorporated in building material. Environ. Pollut. 2017, 220, 1160–1170. [Google Scholar] [CrossRef]
- Bastos, G.; Patiño-Barbeito, F.; Patiño-Cambeiro, F.; Armesto, J. Nano-inclusions applied in cement-matrix composites: A review. Materials 2016, 9, 1015. [Google Scholar] [CrossRef]
- Liew, K.M.; Kai, M.F.; Zhang, L.W. Carbon nanotube reinforced cementitious composites: An overview. Compos. Part A Appl. Sci. Manuf. 2016, 91, 301–323. [Google Scholar] [CrossRef]
- Wu, Z.; Shi, C.; Khayat, K.H.; Wan, S. Effects of different nanomaterials on hardening and performance of ultra-high strength concrete (UHSC). Cem. Concr. Compos. 2016, 70, 24–34. [Google Scholar] [CrossRef]
- Muzenski, S.; Flores-Vivian, I.; Sobolev, K. Ultra-high strength cement-based composites designed with aluminum oxide nano-fibers. Constr. Build. Mater. 2019, 220, 177–186. [Google Scholar] [CrossRef]
- Hendrix, D.; McKeon, J.; Wille, K. Behavior of colloidal nanosilica in an ultrahigh performance concrete environment using dynamic light scattering. Materials 2019, 12, 1976. [Google Scholar] [CrossRef]
- Varghese, L.; Kanta Rao, V.V.L.; Parameswaran, L. Effect of nanosilica and microsilica on bond and flexural behaviour of reinforced concrete. In Recent Advances in Structural Engineering. In Lecture Notes in Civil Engineering; Rao, A., Ramanjaneyulu, K., Eds.; Springer: Singapore, 2019; Volume 2, pp. 825–839. [Google Scholar] [CrossRef]
- Alhawat, M.; Ashour, A.; El-Khoja, A. Properties of concrete incorporating different nano silica particles. Mater. Res. Innov. 2019. [Google Scholar] [CrossRef]
- Varghese, L.; Rao, V.K.; Parameswaran, L. Improvement of early-age strength of high-volume siliceous fly ash concrete with nanosilica—A review. Adv. Civ. Eng. Mater. 2018, 7, 599–615. [Google Scholar] [CrossRef]
- Hela, R.; Bodnarova, L.; Rundt, L. Development of ultra high performance concrete and reactive powder concrete with nanosilica. IOP Conf. Ser. Mater. Sci. Eng. 2018, 371, 012017. [Google Scholar] [CrossRef]
- Setiati, N.R. Effects of additional nanosilica of compressive strength on mortar. IOP Conf. Ser. Mater. Sci. Eng. 2017, 223, 012065. [Google Scholar] [CrossRef]
- Khaloo, A.; Mobini, M.H.; Hosseini, P. Influence of different types of nano-SiO2 particles on properties of high-performance concrete. Constr. Build. Mater. 2016, 113, 188–201. [Google Scholar] [CrossRef]
- Isfahani, F.T.; Redaelli, E.; Lollini, F.; Li, W.; Bertolini, L. Effects of nanosilica on compressive strength and durability properties of concrete with different water to binder ratios. Adv. Mater. Sci. Eng. 2016, 2016, 8453567. [Google Scholar] [CrossRef]
- Moon, J.; Taha, M.M.R.; Youm, K.-S.; Kim, J.J. Investigation of pozzolanic reaction in nanosilica-cement blended pastes based on solid-state kinetic models and 29Si MAS NMR. Materials 2016, 9, 99. [Google Scholar] [CrossRef]
- Oltulu, M.; Şahin, R. Single and combined effects of nano-SiO2, nano-Al2O3 and nano-Fe2O3 powders on compressive strength and capillary permeability of cement mortar containing silica fume. Mater. Sci. Eng. A 2011, 528, 7012–7019. [Google Scholar] [CrossRef]
- Shaikh, F.U.A.; Hosan, A. Effect of Nano Alumina on Compressive Strength and Microstructure of High Volume Slag and Slag-Fly Ash Blended Pastes. Front. Mater. 2019, 6, 90. [Google Scholar] [CrossRef]
- Zhan, B.J.; Xuan, D.X.; Poon, C.S. The effect of nanoalumina on early hydration and mechanical properties of cement pastes. Constr. Build. Mater. 2019, 202, 169–176. [Google Scholar] [CrossRef]
- Jaishankar, P.; Karthikeyan, C. Characteristics of cement concrete with nano alumina particles. IOP Conf. Ser. Earth Environ. Sci. 2017, 80, 012005. [Google Scholar] [CrossRef]
- Xing, X.; Xu, J.; Bai, E.; Zhu, J.; Wang, Y. Response surface research of the preparation of nano-Fe2O3 cement-based composite. Mater. Rep. 2018, 32, 1367–1372. [Google Scholar] [CrossRef]
- Mutuk, H.; Mutuk, T.; Gumus, H.; Mesci Oktay, B. Shielding behaviors and analysis of mechanical treatment of cement containing nanosized powders. Acta Phys. Pol. A 2016, 130, 172–174. [Google Scholar] [CrossRef]
- Faraldos, M.; Kropp, R.; Anderson, M.A.; Sobolev, K. Photocatalytic hydrophobic concrete coatings to combat air pollution. Catal. Today 2016, 259, 228–236. [Google Scholar] [CrossRef]
- Chen, J.; Poon, C.-S. Photocatalytic construction and building materials: From fundamentals to applications. Build. Environ. 2009, 44, 1899–1906. [Google Scholar] [CrossRef]
- Kamaruddin, S.; Stephan, D. Quartz–titania composites for the photocatalytical modification of construction materials. Cem. Concr. Compos. 2013, 36, 109–115. [Google Scholar] [CrossRef]
- Zhao, L.; Guo, X.; Liu, Y.; Zhao, Y.; Chen, Z.; Zhang, Y.; Guo, L.; Shu, X.; Liu, J. Hydration kinetics, pore structure, 3D network calcium silicate hydrate, and mechanical behavior of graphene oxide reinforced cement composites. Constr. Build. Mater. 2018, 190, 150–163. [Google Scholar] [CrossRef]
- Chen, Z.-S.; Zhou, X.; Wang, X.; Guo, P. Mechanical behavior of multilayer GO carbon-fiber cement composites. Constr. Build. Mater. 2018, 159, 205–212. [Google Scholar] [CrossRef]
- Lv, S.; Hu, H.; Zhang, J.; Luo, X.; Lei, Y.; Sun, L. Fabrication of GO/cement composites by incorporation of few-layered GO nanosheets and characterization of their crystal/chemical structure and properties. Nanomaterials 2017, 7, 457. [Google Scholar] [CrossRef]
- Wang, B.; Jiang, R.; Wu, Z. Investigation of the mechanical properties and microstructure of graphene nanoplatelet-cement composite. Nanomaterials 2016, 6, 200. [Google Scholar] [CrossRef]
- Sanchez, F.; Sobolev, K. Nanotechnology in concrete—A review. Constr. Build. Mater. 2010, 24, 2060–2071. [Google Scholar] [CrossRef]
- Tian, Z.; Li, Y.; Zheng, J.; Wang, S. A state-of-the-art on self-sensing concrete: Materials, fabrication and properties. Comp. Part B: Eng. 2019, 177, 107437. [Google Scholar] [CrossRef]
- Pisello, A.L.; Alessandro, A.D.; Sambuco, S.; Rallini, M.; Ubertini, F.; Asdrubali, F.; Materazzi, A.L.; Cotana, F. Multipurpose experimental characterization of smart nanocomposite cement-based materials for thermal-energy efficiency and strain-sensing capability. Sol. Energy Mater. Sol. Cells 2017, 161, 77–88. [Google Scholar] [CrossRef]
- García-Macías, E.; Downey, A.; D’Alessandro, A.; Castro-Triguero, R.; Laflamme, S.; Ubertini, F. Enhanced lumped circuit model for smart nanocomposite cement-based sensors under dynamic compressive loading conditions. Sens. Actuators A 2017, 260, 45–57. [Google Scholar] [CrossRef]
- Flores-Vivian, I.; Pradoto, R.G.K.; Moini, M.; Kozhukhova, M.; Potapov, V.; Sobolev, K. The effect of SiO2 nanoparticles derived from hydrothermal solutions on the performance of portland cement based materials. Front. Struct. Civ. Eng. 2017, 11, 436–445. [Google Scholar] [CrossRef]
- Heidari, A.; Tavakoli, D. A study of the mechanical properties of ground ceramic powder concrete incorporating nano-SiO2 particles. Constr. Build. Mater. 2013, 38, 255–264. [Google Scholar] [CrossRef]
- Supit, S.W.M.; Shaikh, F.U.A. Durability properties of high-volume fly ash concrete containing nano-silica. Mater. Struct. 2015, 48, 2431–2445. [Google Scholar] [CrossRef]
- Han, B.; Li, Z.; Zhang, L.; Zeng, S.; Yu, X.; Han, B.; Ou, J. Reactive powder concrete reinforced with nano SiO2-coated TiO2. Constr. Build. Mater. 2017, 148, 104–112. [Google Scholar] [CrossRef]
- Li, W.; Huang, Z.; Cao, F.; Sun, Z.; Shah, S. Effects of nano-silica and nano-limestone on flowability and mechanical properties of ultra-high-performance concrete matrix. Constr. Build. Mater. 2015, 95, 366–374. [Google Scholar] [CrossRef]
- Sadeghi Nik, A.; Lotfi Omran, O. Estimation of compressive strength of self-compacted concrete with fibers consisting nano-SiO2 using ultrasonic pulse velocity. Constr. Build. Mater. 2013, 44, 654–662. [Google Scholar] [CrossRef]
- Najigivi, A.; Khaloo, A.; Iraji Zad, A.; Abdul Rashid, S. Investigating the effects of using different types of SiO2 nanoparticles on the mechanical properties of binary blended concrete. Compos. Part B Eng. 2013, 54, 52–58. [Google Scholar] [CrossRef]
- Zhang, P.; Li, Q.; Chen, Y.; Shi, Y.; Ling, Y.-F. Durability of steel fiber-reinforced concrete containing SiO2 Nano-Particles. Materials 2019, 12, 2184. [Google Scholar] [CrossRef] [PubMed]
- Tavakoli, D.; Heidari, A. Properties of concrete incorporating silica fume and nano-SiO2. Indian J. Sci. Technol. 2013, 6, 108–112. [Google Scholar]
- Nazarigivi, A.; Najigivi, A. Study on mechanical properties of ternary blended concrete containing two different sizes of nano SiO2. Compos. Part B Eng. 2019, 167, 20–254. [Google Scholar] [CrossRef]
- Mastali, M.; Dalvand, A. The impact resistance and mechanical properties of fiber reinforced self-compacting concrete (SCC) containing nano-SiO2 and silica fume. Eur. J. Environ. Civ. Eng. 2016, 1–27. [Google Scholar] [CrossRef]
- Mohammed, B.S.; Liew, M.S.; Alaloul, W.S.; Khed, V.C.; Hoong, C.Y.; Adamu, M. Properties of nano-silica modified pervious concrete. Case Stud. Constr. Mater. 2018, 8, 409–422. [Google Scholar] [CrossRef]
- Fang, Y.; Sun, Y.; Lu, M.; Xing, F.; Li, W. Mechanical and pressure-sensitive properties of cement mortar containing nano Fe2O3. Adv. Eng. Res. 2018, 146, 206–210. [Google Scholar] [CrossRef][Green Version]
- Rashad, A.M. A synopsis about the effect of nano-Al2O3, nano-Fe2O3, nano-Fe3O4 and nano-clay on some properties of cementitious materials—A short guide for Civil Engineer. Mater. Des. 2013, 52, 143–157. [Google Scholar] [CrossRef]
- Nazari, A.; Riahi, S.; Riahi, S.; Shamekhi, S.F.; Khademno, A. Benefits of Fe2O3 nanoparticles in concrete mixing matrix. J. Am. Sci. 2010, 6, 102–106. [Google Scholar]
- Nazari, A.; Riahi, S. Computer-aided design of the effects of Fe2O3 nanoparticles on split tensile strength and water permeability of high strength concrete. Mater. Des. 2011, 32, 3966–3979. [Google Scholar] [CrossRef]
- Khoshakhlagh, A.; Nazari, A.; Khalaj, G. Effects of Fe2O3 nanoparticles on water permeability and strength assessment of high strength self-compacting concrete. J. Mater. Sci. Technol. 2012, 28, 73–82. [Google Scholar] [CrossRef]
- Zhang, R.; Cheng, X.; Hou, P.; Ye, Z. Influences of nano-TiO2 on the properties of cement-based materials: Hydration and drying shrinkage. Constr. Build. Mater. 2015, 81, 35–41. [Google Scholar] [CrossRef]
- Chen, Y. A review on the effects of nanoparticles on properties of self-compacting concrete. IOP Conf. Ser. Mater. Sci. Eng. 2018, 452, 022134. [Google Scholar] [CrossRef]
- Li, Z.; Han, B.; Yu, X.; Zheng, Q.; Wang, Y. Comparison of the mechanical property and microstructures of cementitious composites with nano- and micro-rutile phase TiO2. Arch. Civ. Mech. Eng. 2019, 19, 615–626. [Google Scholar] [CrossRef]
- Wang, L.; Zhang, H.; Gao, Y. Effect of TiO2 nanoparticles on physical and mechanical properties of cement at low temperatures. Adv. Mater. Sci. Eng. 2018, 2018, 8934689. [Google Scholar] [CrossRef]
- ASTM. ASTM C109-93: Standard Specification for Compressive Strength of Mortars; American Society for Testing and Materials: West Conshohocken, PA, USA, 2007. [Google Scholar]
- ASTM. ASTM C293/C293M–10: Standard Test Method for Flexural Strength of Concrete; American Society for Testing and Materials: West Conshohocken, PA, USA, 2007. [Google Scholar]
- Feng, D.; Xie, N.; Gong, C.; Leng, Z.; Xiao, H.; Li, H.; Shi, X. Portland Cement Paste Modified by TiO2 Nanoparticles: A Microstructure Perspective. Ind. Eng. Chem. Res. 2013, 52, 11575–11582. [Google Scholar] [CrossRef]
- Jalal, M.; Fathi, M.; Farzad, M. Effects of fly ash and TiO2 nanoparticles on rheological, mechanical, microstructural and thermal properties oh high strength self-compacting concrete. Mech. Mater. 2013, 61, 11–27. [Google Scholar] [CrossRef]
- Yu, X.; Kang, S.; Long, X. Compressive strength of concrete reinforced by TiO2 nanoparticles. AIP Conf. Proc. 2018, 2036, 030006. [Google Scholar] [CrossRef]
- Chunping, G.; Qiannan, W.; Jintao, L.; Wei, S. The effect of nano TiO2 on the durability of ultra-high-performance concrete with and without a flexural load. Ceram-Silikáty 2018, 62, 374–381. [Google Scholar] [CrossRef]
- Liu, J.; Li, Q.; Xu, S. Influence of nanoparticles on fluidity and mechanical properties of cement mortar. Constr. Build. Mater. 2015, 101, 892–901. [Google Scholar] [CrossRef]
- Yang, Z.; Gao, Y.; Mu, S.; Chang, H.; Sun, W.; Jiang, J. Improving the chloride binding capacity of cement paste by adding nano-Al2O3. Constr. Build. Mater. 2019, 195, 415–422. [Google Scholar] [CrossRef]
- Mohseni, E.; Mehrinejad Khotbehsara, M.; Naseri, F.; Monazami, M.; Sarker, P. Polypropylene fiber reinforced cement mortars containing rice husk ash and nano-alumina. Constr. Build. Mater. 2016, 111, 429–439. [Google Scholar] [CrossRef]
- Barbhuiya, S.; Mukherjee, S.; Nikraz, H. Effects of nano-Al2O3 on early-age microstructural properties of cement paste. Constr. Build. Mater. 2014, 52, 189–193. [Google Scholar] [CrossRef]
- Gowda, R.; Narendra, H.; Nagabushan, B.; Rangappa, D.; Prabhakara, R. Investigation of nano alumina on the effect of durability and micro-structural properties of the cement mortar. Mater. Today Proc. 2017, 4, 12191–12197. [Google Scholar] [CrossRef]
- Rashad, A.M. Effect of carbon nanotubes (CNTs) on the properties of traditional cementitious materials. Constr. Build. Mater. 2017, 153, 81–101. [Google Scholar] [CrossRef]
- Parvaneh, V.; Khiabani, S.H. Mechanical and piezoresistive properties of self-sensing smart concretes reinforced by carbon nanotubes. Mech. Adv. Mater. Struct. 2019, 25, 993–1000. [Google Scholar] [CrossRef]
- Ding, S.; Ruan, Y.; Yu, X.; Han, B.; Ni, Y.-Q. Self-monitoring of smart concrete column incorporating CNT/NCB composite fillers modified cementitious sensors. Constr. Build. Mater. 2019, 201, 127–137. [Google Scholar] [CrossRef]
- Ramezani, M.; Kim, Y.H.; Sun, Z. Modeling the mechanical properties of cementitious materials containing CNTs. Cem. Concr. Compos. 2019, 104, 103347. [Google Scholar] [CrossRef]
- Douba, A.; Emiroglu, M.; Kandil, U.F.; Reda Taha, M.M. Very ductile polymer concrete using carbon nanotubes. Constr. Build. Mater. 2019, 196, 468–477. [Google Scholar] [CrossRef]
- Hawreen, A.; Bogas, J.A. Influence of carbon nanotubes on steel–concrete bond strength. Mater. Struct. 2018, 51, 155. [Google Scholar] [CrossRef]
- Baloch, W.L.; Khushnood, R.A. Wasim Khaliq. Influence of multi-walled carbon nanotubes on the residual performance of concrete exposed to high temperatures. Constr. Build. Mater. 2018, 185, 44–56. [Google Scholar] [CrossRef]
- Irshidat, M.R.; Al-Shannaq, A. Using textile reinforced mortar modified with carbon nano tubes to improve flexural performance of RC beams. Compos. Struct. 2018, 200, 127–134. [Google Scholar] [CrossRef]
- Qissab, M.A.; Abbas, S.T. Behaviour of reinforced concrete beams with multiwall carbon nanotubes under monotonic loading. Eur. J. Environ. Civ. Eng. 2018, 22, 1111–1130. [Google Scholar] [CrossRef]
- Ruan, Y.; Han, B.; Yu, X.; Zhang, W.; Wang, D. Carbon nanotubes reinforced reactive powder concrete. Compos. Part A Appl. Sci. Manuf. 2018, 112, 371–382. [Google Scholar] [CrossRef]
- Yoo, D.Y.; Kim, S.; Lee, S.H. Self-sensing capability of ultra-high-performance concrete containing steel fibers and carbon nanotubes under tension. Sens. Actuators A Phys. 2018, 276, 125–136. [Google Scholar] [CrossRef]
- Lushnikova, A.; Zaoui, A. Improving mechanical properties of C–S–H from inserted carbon nanotubes. J. Phys. Chem. Solids 2017, 105, 72–80. [Google Scholar] [CrossRef]
- Sedaghatdoost, A.; Behfarnia, K. Mechanical properties of Portland cement mortar containing multi-walled carbon nanotubes at elevated temperatures. Constr. Build. Mater. 2018, 176, 482–489. [Google Scholar] [CrossRef]
- Hawreen, A.; Bojas, J.A. Creep, shrinkage and mechanical properties of concrete reinforced with different types of carbon nanotubes. Constr. Build. Mater. 2019, 198, 70–81. [Google Scholar] [CrossRef]
- García-Macías, E.; Castro-Triguero, R.; Sáez, A.; Ubertini, F. 3D mixed micromechanics-FEM modeling of piezoresistive carbon nanotube smart concrete. Comput. Methods Appl. Mech. Eng. 2018, 340, 396–423. [Google Scholar] [CrossRef]
- García-Macías, E.; D’Alessandro, A.; Castro-Triguero, R.; Pérez-Mira, D.; Ubertini, F. Micromechanics modeling of the uniaxial strain-sensing property of carbon nanotube cement-matrix composites for SHM applications. Compos. Struct. 2017, 163, 195–215. [Google Scholar] [CrossRef]
- Horszczaruk, E.; Sikora, P.; Łukowski, P. Application of nanomaterials in production of self-sensing concretes: Contemporary developments and prospects. Arch. Civ. Eng. 2016, 62, 61–74. [Google Scholar] [CrossRef]
- Gao, Y.; Jing, H.; Zhou, Z.; Chen, W.; Du, M.; Du, Y. Reinforced impermeability of cementitious composites using graphene oxide-carbon nanotube hybrid under different water-to-cement ratios. Constr. Build. Mater. 2019, 222, 610–621. [Google Scholar] [CrossRef]
- Phrompet, C.; Sriwong, C.; Ruttanapun, C. Mechanical, dielectric, thermal and antibacterial properties of reduced graphene oxide (rGO)-nanosized C3AH6 cement nanocomposites for smart cement-based materials. Compos. Part B Eng. 2019, 175, 107128. [Google Scholar] [CrossRef]
- Tragazikis, I.K.; Dassios, K.G.; Dalla, P.T.; Exarchos, D.A.; Matikas, T.E. Acoustic emission investigation of the effect of graphene on the fracture behavior of cement mortars. Eng. Fract. Mech. 2019, 210, 444–451. [Google Scholar] [CrossRef]
- Liu, J.; Fu, J.; Ni, T.; Yang, Y. Fracture toughness improvement of multi-wall carbon nanotubes/graphene sheets reinforced cement paste. Constr. Build. Mater. 2019, 200, 530–538. [Google Scholar] [CrossRef]
- Liu, Y.; Wang, M.; Wang, W. Electric induced curing of graphene/cement-based composites for structural strength formation in deep-freeze low temperature. Mater. Des. 2018, 160, 783–793. [Google Scholar] [CrossRef]
- Lv, S.; Hu, H.; Hou, Y.; Lei, Y.; Sun, L.; Zhang, J.; Liu, L. Investigation of the effects of polymer dispersants on dispersion of GO nanosheets in cement composites and relative microstructures/performances. Nanomaterials 2018, 8, 964. [Google Scholar] [CrossRef]
- Lu, L.; Zhao, P.; Lu, Z. A short discussion on how to effectively use graphene oxide to reinforce cementitious composites. Constr. Build. Mater. 2018, 189, 33–41. [Google Scholar] [CrossRef]
- Roy, R.; Mitra, A.; Ganesh, A.T.; Sairam, V. Effect of graphene oxide nanosheets dispersion in cement mortar composites incorporating metakaolin and silica fume. Constr. Build. Mater. 2018, 186, 514–524. [Google Scholar] [CrossRef]
- Long, W.J.; Wei, J.J.; Xing, F.; Khayat, K.H. Enhanced dynamic mechanical properties of cement paste modified with graphene oxide nanosheets and its reinforcing mechanism. Cem. Concr. Compos. 2018, 93, 127–139. [Google Scholar] [CrossRef]
- Alharbi, Y.; An, J.; Cho, B.H.; Khawaji, M.; Chung, W.; Nam, B.H. Mechanical and Sorptivity Characteristics of Edge-Oxidized Graphene Oxide (EOGO)-Cement Composites: Dry- and Wet-Mix Design Methods. Nanomaterials 2018, 8, 718. [Google Scholar] [CrossRef]
- Duan, Z.; Zhang, L.; Lin, Z.; Fan, D.; Saafi, M.; Castro Gomes, J.; Yang, S. Experimental test and analytical modeling of mechanical properties of graphene-oxide cement composites. J. Compos. Mater. 2018, 52, 3027–3037. [Google Scholar] [CrossRef]
- Ghazizadeh, S.; Duffour, P.; Skipper, N.T.; Bai, Y. Understanding the behaviour of graphene oxide in Portland cement paste. Cem. Concr. Res. 2018, 111, 169–182. [Google Scholar] [CrossRef]
- Jiang, W.; Li, X.; Lv, Y.; Zhou, M.; Liu, Z.; Ren, Z.; Yu, Z. Cement-based materials containing graphene oxide and polyvinyl alcohol fiber: Mechanical properties, durability, and microstructure. Nanomaterials 2018, 8, 638. [Google Scholar] [CrossRef] [PubMed]
- Long, W.-J.; Fang, C.; Wei, J.; Li, H. Stability of GO Modified by different dispersants in cement paste and its related mechanism. Materials 2018, 11, 834. [Google Scholar] [CrossRef]
- Huang, P.; Lv, L.; Liao, W.; Lu, C.; Xu, Z. Microstructural Properties of Cement Paste and Mortar Modified by Low Cost Nanoplatelets Sourced from Natural Materials. Materials 2018, 11, 783. [Google Scholar] [CrossRef]
- An, J.; McInnis, M.; Chung, W.; Nam, B.H. Feasibility of using graphene oxide nanoflake (GONF) as additive of cement composite. Appl. Sci. 2018, 8, 419. [Google Scholar] [CrossRef]
- Bai, S.; Jiang, L.; Xu, N.; Jin, M.; Jiang, S. Enhancement of mechanical and electrical properties of graphene/cement composite due to improved dispersion of graphene by addition of silica fume. Constr. Build. Mater. 2018, 164, 433–441. [Google Scholar] [CrossRef]
- Chuah, S.; Li, W.; Chen, S.J.; Sanjayan, J.G.; Duan, W.H. Investigation on dispersion of graphene oxide in cement composite using different surfactant treatments. Constr. Build. Mater. 2018, 161, 519–527. [Google Scholar] [CrossRef]
- Zhao, L.; Guo, X.; Liu, Y.; Ge, C.; Chen, Z.; Guo, L.; Shu, X.; Liu, J. Investigation of dispersion behavior of GO modified by different water reducing agents in cement pore solution. Carbon 2018, 127, 255–269. [Google Scholar] [CrossRef]
- Wang, L.; Zhang, S.; Zheng, D.; Yang, H.; Cui, H.; Tang, W.; Li, D. Effect of graphene oxide (GO) on the morphology and microstructure of cement hydration products. Nanomaterials 2017, 7, 429. [Google Scholar] [CrossRef]
- Long, W.-J.; Wei, J.-J.; Ma, H.; Xing, F. Dynamic mechanical properties and microstructure of graphene oxide nanosheets reinforced cement composites. Nanomaterials 2017, 7, 407. [Google Scholar] [CrossRef] [PubMed]
- Lu, L.; Ouyang, D. Properties of cement mortar and ultra-high strength concrete incorporating graphene oxide nanosheets. Nanomaterials 2017, 7, 187. [Google Scholar] [CrossRef] [PubMed]
- Jintao, L.; Qinghua, L.; Shilang, X. Reinforcing mechanism of graphene oxide sheets on cement-based materials. J. Mater. Civ. Eng. 2019, 31, 04019014. [Google Scholar] [CrossRef]
- Birenboim, M.; Nadiv, R.; Alatawna, A.; Buzaglo, M.; Schahar, G.; Lee, J.; Kim, G.; Peled, A.; Regev, O. Reinforcement and workability aspects of graphene-oxide-reinforced cement nanocomposites. Compos. Part B Eng. 2019, 161, 68–76. [Google Scholar] [CrossRef]
- Peng, H.; Ge, Y.; Cai, C.S.; Zhang, Y.; Liu, Z. Mechanical properties and microstructure of graphene oxide cement-based composites. Constr. Build. Mater. 2019, 194, 102–109. [Google Scholar] [CrossRef]
- Belli, A.; Mobili, A.; Bellezze, T.; Tittarelli, F.; Cachim, P. Evaluating the self-sensing ability of cement mortars manufactured with graphene nanoplatelets, virgin or recycled carbon fibers through piezoresistivity tests. Sustainability 2018, 10, 4013. [Google Scholar] [CrossRef]
- Li, G.; Yuan, J.B.; Zhang, Y.H.; Zhang, N.; Liew, K.M. Microstructure and mechanical performance of graphene reinforced cementitious composites. Compos. Part A Appl. Sci. Manuf. 2018, 114, 188–195. [Google Scholar] [CrossRef]
- Shamsaei, E.; de Souza, F.B.; Yao, X.; Benhelal, E.; Akbari, A.; Duan, W. Graphene-based nanosheets for stronger and more durable concrete: A review. Constr. Build. Mater. 2018, 183, 642–660. [Google Scholar] [CrossRef]
- Li, X.; Wang, L.; Liu, Y.; Li, W.; Dong, B.; Duan, W.H. Dispersion of graphene oxide agglomerates in cement paste and its effects on electrical resistivity and flexural strength. Cem. Concr. Compos. 2018, 92, 145–154. [Google Scholar] [CrossRef]
- Sikora, P.; Abd Elrahman, M.; Stephan, D. The Influence of nanomaterials on the thermal resistance of cement-based composites—A review. Nanomaterials 2018, 8, 465. [Google Scholar] [CrossRef]
- Xu, Y.; Zeng, J.; Chen, W.; Jin, R.; Li, B.; Pan, Z. A holistic review of cement composites reinforced with graphene oxide. Constr. Build. Mater. 2018, 171, 291–302. [Google Scholar] [CrossRef]
- Kashif Ur Rehman, S.; Ibrahim, Z.; Memon, S.A.; Aunkor, M.T.H.; Faisal Javed, M.; Mehmood, K.; Shah, S.M.A. Influence of graphene nanosheets on rheology, microstructure, strength development and self-sensing properties of cement based composites. Sustainability 2018, 10, 822. [Google Scholar] [CrossRef]
- Hu, M.; Guo, J.; Li, P.; Chen, D.; Xu, Y.; Feng, Y.; Yu, Y.; Zhang, H. Effect of characteristics of chemical combined of graphene oxide-nanosilica nanocomposite fillers on properties of cement-based materials. Constr. Build. Mater. 2019, 225, 745–753. [Google Scholar] [CrossRef]
- Hu, M.; Guo, J.; Fan, J.; li, P.; Chen, D. Dispersion of triethanolamine-functionalized graphene oxide (TEA-GO) in pore solution and its influence on hydration, mechanical behavior of cement composite. Constr. Build. Mater. 2019, 216, 128–136. [Google Scholar] [CrossRef]
- Tao, J.; Wang, X.; Wang, Z.; Zeng, Q. Graphene nanoplatelets as an effective additive to tune the microstructures and piezoresistive properties of cement-based composites. Constr. Build. Mater. 2019, 209, 665–678. [Google Scholar] [CrossRef]
- Sixuan, H. Multifunctional Graphite Nanoplatelets (GNP) Reinforced Cementitious Composites. Master’s Thesis, National University of Singapore, Singapore, 2012. [Google Scholar]
- Qureshi, T.S.; Panesar, D.K. Impact of graphene oxide and highly reduced graphene oxide on cement based composites. Constr. Build. Mater. 2019, 206, 71–83. [Google Scholar] [CrossRef]
- Krystek, M.; Pakulski, D.; Patroniak, V.; Górski, M.; Szojda, L.; Ciesielski, A.; Samorì, P. High-Performance Graphene-Based Cementitious Composites. Adv. Sci. 2019, 6, 1801195. [Google Scholar] [CrossRef]
- Kaur, R.; Kothiyal, N.C. Comparative effects of sterically stabilized functionalized carbon nanotubes and graphene oxide as reinforcing agent on physico-mechanical properties and electrical resistivity of cement nanocomposites. Constr. Build. Mater. 2019, 202, 121–138. [Google Scholar] [CrossRef]
- Horszczaruk, E. Properties of cement-Based composites modified with magnetite nanoparticles: A review. Materials 2019, 12, 326. [Google Scholar] [CrossRef]
- Singh, L.P.; Karade, S.R.; Bhattacharyya, S.K.; Yousuf, M.M.; Ahalawat, S. Beneficial role of nanosilica in cement based materials—A review. Constr. Build. Mater. 2013, 47, 1069–1077. [Google Scholar] [CrossRef]
- Sikora, P.; Augustyniak, A.; Cendrowski, K.; Nawrotek, P.; Mijowska, E. Antimicrobial activity of Al2O3, CuO, Fe3O4, and ZnO nanoparticles in scope of their further application in cement-based building materials. Nanomaterials 2018, 8, 212. [Google Scholar] [CrossRef] [PubMed]
- Martins, R.M.; Bombard, A.J.F. Rheology of fresh cement paste with superplasticizer and nanosilica admixtures studied by response surface methodology. Mater. Struct. 2012, 45, 905. [Google Scholar] [CrossRef]
- Mateos, R.; Vera, S.; Valiente, M.; Díez-Pascual, A.M.; San Andrés, M.P. Comparison of anionic, cationic and nonionic surfactants as dispersing agents for graphene based on the fluorescence of riboflavin. Nanomaterials 2017, 7, 403. [Google Scholar] [CrossRef] [PubMed]
- Stephens, C.; Brown, L.; Sanchez, F. Quantification of the re-agglomeration of carbon nanofiber aqueous dispersion in cement pastes and effect on the early age flexural response. Carbon 2016, 107, 482–500. [Google Scholar] [CrossRef]
- Sanchez, F.; Zhang, L.; Ince, C. Multi-scale Performance and Durability of Carbon Nanofiber/Cement Composites. In Nanotechnology in Construction 3; Bittnar, Z., Bartos, P.J.M., Němeček, J., Šmilauer, V., Zeman, J., Eds.; Springer: Berlin/Heidelberg, Germany, 2009. [Google Scholar]
- Shah, S.P.; Konsta-Gdoutos, M.S.; Metaxa, Z.S.; Mondal, P. Nanoscale Modification of Cementitious Materials. In Nanotechnology in Construction 3; Bittnar, Z., Bartos, P.J.M., Němeček, J., Šmilauer, V., Zeman, J., Eds.; Springer: Berlin/Heidelberg, Germany, 2009. [Google Scholar]
- Kang, S.-T.; Seo, J.-Y.; Park, S.-H. The Characteristics of CNT/Cement Composites with Acid-Treated MWCNTs. Adv. Mater. Sci. Eng. 2015, 2015, 308725. [Google Scholar] [CrossRef]
- Stynoski, P.; Mondal, P.; Wotring, E.; Marsh, C. Characterization of silica-functionalized carbon nanotubes dispersed in water. J. Nanopart. Res. 2013, 15, 1396. [Google Scholar] [CrossRef]
- Sikora, P.; Elrahman, M.A.; Chung, S.-Y.; Cendrowski, K.; Mijowska, E.; Stephan, D. Mechanical and microstructural properties of cement pastes containing carbon nanotubes and carbon nanotube-silica core-shell structures, exposed to elevated temperature. Cem. Concr. Compos. 2019, 95, 193–204. [Google Scholar] [CrossRef]
- Mendoza-Reales, O.A.; Sierra-Gallego, G.; Tobón, J.I. The mechanical properties of Portland cement mortars blended with carbon nanotubes and nanosilica: A study by experimental design. DYNA 2016, 83, 136–141. [Google Scholar] [CrossRef]
- Li, W.; Ji, W.; Torabian Isfahani, F.; Wang, Y.; Li, G.; Liu, Y.; Xing, F. Nano-silica sol-gel and carbon nanotube coupling effect on the Performance of Cement-Based Materials. Nanomaterials 2017, 7, 185. [Google Scholar] [CrossRef]
- Richard Meier & Parners Architects LLP. Available online: https://www.richardmeier.com/?projects=jubilee-church-2 (accessed on 11 October 2019).
- Cardellicchio, L. On conservation issues of contemporary architecture: The technical design development and the ageing process of the Jubilee Church in Rome by Richard Meier. Front. Archit. Res. 2018, 7, 107–121. [Google Scholar] [CrossRef]
- Cardellicchio, L. Self-cleaning and colour-preserving efficiency of photocatalytic concrete: Case study of the Jubilee Church in Rome. Build. Res. Inf. 2019, 1–20. [Google Scholar] [CrossRef]
- Lee, J.; Mahendra, S.; Alvarez, P.J.J. Nanomaterials in the construction industry: A review of their applications and environmental health and safety considerations. ACS Nano 2010, 4, 3580–3590. [Google Scholar] [CrossRef] [PubMed]
- Lam, C.W.; James, J.T.; McCluskey, R.; Arepalli, S.; Hunter, R.L. A review of carbon nanotubes toxicity and assessment of potential occupational and environmental health risks. Crit. Rev. Toxicol. 2006, 36, 189–217. [Google Scholar] [CrossRef] [PubMed]
- Handy, R.D.; Henry, T.B.; Scown, T.M.; Johnston, B.D.; Tyler, C.R. Manufactured nanoparticles: Their uptake and effects on fish—A mechanistic analysis. Ecotoxicology 2008, 17, 396. [Google Scholar] [CrossRef] [PubMed]






































| Sample | Nano-Silica | Compressive Strength (MPa) | Improvement of Compressive Strength (%) | |||||
|---|---|---|---|---|---|---|---|---|
| 15 nm Nanoparticle | 80 nm Nanoparticle | 7 Days | 28 Days | 90 Days | 7 Days | 28 Days | 90 Days | |
| C0 (control) | 0 | 0 | 26.3 | 34.8 | 40.3 | 0 | 0 | 0 |
| N1 | 0.5 | 0.5 | 28.2 | 38.4 | 44.9 | 7.2 | 10.3 | 11.4 |
| N2 | 0.5 | 1 | 30.3 | 41.3 | 49.2 | 15.2 | 18.7 | 22.1 |
| N3 | 0.5 | 1.5 | 32.9 | 44.2 | 53.0 | 25.1 | 27.0 | 31.5 |
| N4 | 0.5 | 2 | 35.2 | 46.8 | 57.6 | 33.8 | 34.5 | 42.9 |
| N5 | 1 | 0.5 | 31 | 42.5 | 50.7 | 17.9 | 22.1 | 25.8 |
| N6 | 1 | 1 | 33.4 | 46.2 | 54.1 | 27.0 | 32.8 | 34.2 |
| N7 | 1 | 1.5 | 36.3 | 47.5 | 58.2 | 38.0 | 36.5 | 44.4 |
| N8 | 1 | 2 | 40.7 | 50 | 63.3 | 54.8 | 43.7 | 57.1 |
| N9 | 1.5 | 0.5 | 35.2 | 47 | 56.1 | 33.8 | 35.1 | 39.2 |
| N10 | 1.5 | 1 | 37.2 | 49.1 | 59.8 | 41.4 | 41.1 | 48.4 |
| N11 | 1.5 | 1.5 | 41.3 | 52.2 | 64.7 | 57.0 | 50.0 | 60.5 |
| N12 | 1.5 | 2 | 46.4 | 58.7 | 69.3 | 76.4 | 68.7 | 72.0 |
| N13 | 2 | 0.5 | 39 | 50.3 | 63.4 | 48.3 | 44.5 | 57.3 |
| N14 | 2 | 1 | 41.9 | 54 | 67.2 | 59.3 | 55.2 | 66.7 |
| N15 | 2 | 1.5 | 52.1 | 63.7 | 78.1 | 98.1 | 83.0 | 93.8 |
| N16 | 2 | 2 | 50.3 | 61 | 75.2 | 91.3 | 75.3 | 86.6 |
| Sample | Nano-Silica | Split Tensile Strength (MPa) | Improvement of Split Tensile Strength (%) | |||||
|---|---|---|---|---|---|---|---|---|
| 15 nm Nanoparticle | 80 nm Nanoparticle | 7 Days | 28 Days | 90 Days | 7 Days | 28 Days | 90 Days | |
| C0 (control) | 0 | 0 | 1.3 | 1.5 | 1.9 | 0 | 0 | 0 |
| N1 | 0.5 | 0.5 | 1.8 | 2 | 2.7 | 38.5 | 33.3 | 42.1 |
| N2 | 0.5 | 1 | 2.1 | 2.4 | 3 | 61.5 | 60.0 | 57.9 |
| N3 | 0.5 | 1.5 | 2.5 | 2.9 | 3.5 | 92.3 | 93.3 | 84.2 |
| N4 | 0.5 | 2 | 3 | 3.3 | 3.9 | 130.8 | 120.0 | 105.3 |
| N5 | 1 | 0.5 | 2.2 | 2.8 | 3.2 | 69.2 | 86.7 | 68.4 |
| N6 | 1 | 1 | 2.7 | 3.1 | 3.8 | 107.7 | 106.7 | 100.0 |
| N7 | 1 | 1.5 | 3.1 | 3.7 | 4.2 | 138.5 | 146.7 | 121.1 |
| N8 | 1 | 2 | 3.8 | 4.2 | 4.8 | 192.3 | 180.0 | 152.6 |
| N9 | 1.5 | 0.5 | 2.9 | 3.3 | 4.1 | 123.1 | 120.0 | 115.8 |
| N10 | 1.5 | 1 | 3.3 | 3.8 | 4.6 | 153.8 | 153.3 | 142.1 |
| N11 | 1.5 | 1.5 | 4.1 | 4.5 | 5.2 | 215.4 | 200.0 | 173.7 |
| N12 | 1.5 | 2 | 4.4 | 4.8 | 5.7 | 238.5 | 220.0 | 200.0 |
| N13 | 2 | 0.5 | 3.6 | 4 | 4.9 | 176.9 | 166.7 | 157.9 |
| N14 | 2 | 1 | 4.5 | 4.8 | 5.5 | 246.2 | 220.0 | 189.5 |
| N15 | 2 | 1.5 | 4.9 | 4.3 | 5.9 | 276.9 | 186.7 | 210.5 |
| N16 | 2 | 2 | 4.3 | 4.8 | 5.1 | 230.8 | 220.0 | 168.4 |
| Sample | Nano-Silica | Flexural Strength (MPa) | Improvement of Flexural Strength (%) | |||||
|---|---|---|---|---|---|---|---|---|
| 15 nm Nanoparticle | 80 nm Nanoparticle | 7 Days | 28 Days | 90 Days | 7 Days | 28 Days | 90 Days | |
| C0 (control) | 0 | 0 | 4 | 4.2 | 4.5 | 0 | 0 | 0 |
| N1 | 0.5 | 0.5 | 4.4 | 4.5 | 5 | 10.0 | 7.1 | 11.1 |
| N2 | 0.5 | 1 | 4.6 | 4.9 | 5.3 | 15.0 | 16.7 | 17.8 |
| N3 | 0.5 | 1.5 | 5.1 | 5.2 | 5.7 | 27.5 | 23.8 | 26.7 |
| N4 | 0.5 | 2 | 5.4 | 5.6 | 6 | 35.0 | 33.3 | 33.3 |
| N5 | 1 | 0.5 | 4.6 | 5.1 | 5.4 | 15.0 | 21.4 | 20.0 |
| N6 | 1 | 1 | 5.3 | 5.5 | 5.9 | 32.5 | 31.0 | 31.1 |
| N7 | 1 | 1.5 | 5.5 | 5.8 | 6.3 | 37.5 | 38.1 | 40.0 |
| N8 | 1 | 2 | 5.9 | 6.2 | 6.7 | 47.5 | 47.6 | 48.9 |
| N9 | 1.5 | 0.5 | 5.4 | 5.7 | 6.1 | 35.0 | 35.7 | 35.6 |
| N10 | 1.5 | 1 | 5.6 | 6 | 6.6 | 40.0 | 42.9 | 46.7 |
| N11 | 1.5 | 1.5 | 6.2 | 6.5 | 7 | 55.0 | 54.8 | 55.6 |
| N12 | 1.5 | 2 | 6.5 | 6.8 | 7.3 | 62.5 | 61.9 | 62.2 |
| N13 | 2 | 0.5 | 5.8 | 6.2 | 6.8 | 45.0 | 47.6 | 51.1 |
| N14 | 2 | 1 | 6.5 | 6.7 | 7.2 | 62.5 | 59.5 | 60.0 |
| N15 | 2 | 1.5 | 7 | 7.3 | 7.8 | 75.0 | 73.8 | 73.3 |
| N16 | 2 | 2 | 6.8 | 7 | 7.2 | 70.0 | 66.7 | 60.0 |
© 2019 by the authors. Licensee MDPI, Basel, Switzerland. This article is an open access article distributed under the terms and conditions of the Creative Commons Attribution (CC BY) license (http://creativecommons.org/licenses/by/4.0/).
Share and Cite
Bautista-Gutierrez, K.P.; Herrera-May, A.L.; Santamaría-López, J.M.; Honorato-Moreno, A.; Zamora-Castro, S.A. Recent Progress in Nanomaterials for Modern Concrete Infrastructure: Advantages and Challenges. Materials 2019, 12, 3548. https://doi.org/10.3390/ma12213548
Bautista-Gutierrez KP, Herrera-May AL, Santamaría-López JM, Honorato-Moreno A, Zamora-Castro SA. Recent Progress in Nanomaterials for Modern Concrete Infrastructure: Advantages and Challenges. Materials. 2019; 12(21):3548. https://doi.org/10.3390/ma12213548
Chicago/Turabian StyleBautista-Gutierrez, Karla P., Agustín L. Herrera-May, Jesús M. Santamaría-López, Antonio Honorato-Moreno, and Sergio A. Zamora-Castro. 2019. "Recent Progress in Nanomaterials for Modern Concrete Infrastructure: Advantages and Challenges" Materials 12, no. 21: 3548. https://doi.org/10.3390/ma12213548
APA StyleBautista-Gutierrez, K. P., Herrera-May, A. L., Santamaría-López, J. M., Honorato-Moreno, A., & Zamora-Castro, S. A. (2019). Recent Progress in Nanomaterials for Modern Concrete Infrastructure: Advantages and Challenges. Materials, 12(21), 3548. https://doi.org/10.3390/ma12213548

