Environmental-Friendly Modifications of Zeolite to Increase Its Sorption and Anion Exchange Properties, Physicochemical Studies of the Modified Materials
Abstract
1. Introduction
2. Materials and Methods
2.1. Preparation of Zeolite Samples
2.2. Measurements and Analysis of Water Vapor Adsorption Isotherms
2.3. Determination of Electrokinetic (Zeta) Potential
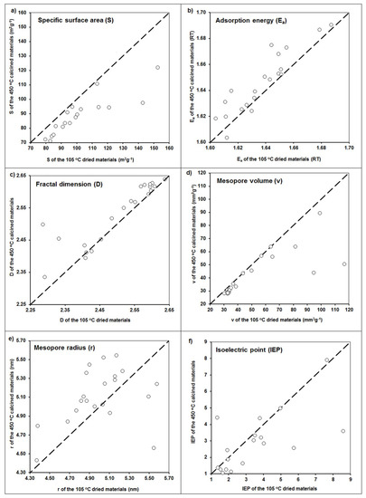
3. Results and Discussion
4. Conclusions
Author Contributions
Funding
Conflicts of Interest
References
- Margeta, K.; Zabukovec, N.; Šiljeg, M.; Farkas, A. Natural Zeolites in Water Treatment—How Effective is Their Use. In Water Treatment; Elshorbagy, W., Chowdhury, R., Eds.; IntechOpen: London, UK, 2013; pp. 81–112. [Google Scholar]
- Mumpton, F.A. La roca magica: Uses of natural zeolites in agriculture and industry. Proc. Natl. Acad. Sci. USA 1999, 96, 3463–3470. [Google Scholar] [CrossRef] [PubMed]
- Inglezakis, V.; Stylianou, M.; Loizidou, M.; Zorpas, A. Experimental studies and modeling of clinoptilolite and vermiculite fixed beds for Mn 2+, Zn 2+, and Cr 3+ removal. Desalin. Water Treat. 2015, 57, 11610–11622. [Google Scholar]
- Azough, A.; Marashi, S.K.; Babaeinejad, T. Growth characteristics and response of wheat to cadmium, nickel and magnesium sorption affected by zeolite in soil polluted with armaments. J. Adv. Environ. Health Res. 2017, 5, 163–171. [Google Scholar]
- Tahervand, S.; Jalali, M. Sorption and desorption of potentially toxic metals (Cd, Cu, Ni and Zn) by soil amended with bentonite, calcite and zeolite as a function of pH. J. Geochem. Explor. 2017, 181, 148–159. [Google Scholar] [CrossRef]
- Reháková, M.; Čuvanová, S.; Dzivák, M.; Rimár, J.; Gaval’Ová, Z. Agricultural and agrochemical uses of natural zeolite of the clinoptilolite type. Curr. Opin. Solid State Mater. Sci. 2004, 8, 397–404. [Google Scholar] [CrossRef]
- Ramesh, K.; Reddy, D.D. Zeolites and Their Potential Uses in Agriculture. Adv. Agron. 2011, 113, 219–241. [Google Scholar]
- Aminiyan, M.M.; Safari Sinegani, A.A.; Sheklabadi, M. Aggregation stability and organic carbon fraction in a soil amended with some plant residues, nanozeolite, and natural zeolite. Int. J. Recycl. Org. Waste Agric. 2015, 4, 11–22. [Google Scholar] [CrossRef]
- Lützow, M.V.; Kogel-Knabner, I.; Ekschmitt, K.; Matzner, E.; Guggenberger, G.; Marschner, B.; Flessa, H.; Kögel-Knabner, I.; Kögel-Knabner, I. Stabilization of organic matter in temperate soils: Mechanisms and their relevance under different soil conditions—A review. Eur. J. Soil Sci. 2006, 57, 426–445. [Google Scholar] [CrossRef]
- Nakhli, S.A.A.; Delkash, M.; Bakhshayesh, B.E.; Kazemian, H. Application of Zeolites for Sustainable Agriculture: A Review on Water and Nutrient Retention. Water Air Soil Pollut. 2017, 228, 464. [Google Scholar] [CrossRef]
- Jakkula, V.S.; Wani, S.P. Zeolites: Potential soil amendments for improving nutrient and water use efficiency and agriculture productivity. Sci. Rev. Chem. Commun. 2018, 8, 119–126. [Google Scholar]
- DeLuca, T.H.; DeLuca, D.K. Composting for feedlot manure management and soil quality. J. Prod. Agric. 1997, 10, 236–241. [Google Scholar] [CrossRef]
- Arora, M.; Eddy, N.K.; Mumford, K.A.; Baba, Y.; Perera, J.M.; Stevens, G.W. Surface modification of natural zeolite by chitosan and its use for nitrate removal in cold regions. Cold Reg. Sci. Technol. 2010, 62, 92–97. [Google Scholar] [CrossRef]
- Pollard, S.J.T.; Fowler, G.D.; Sollars, C.J.; Perry, R. Low-cost adsorbents for waste and waste-water treatment—A review. Sci. Total Environ. 1992, 116, 31–52. [Google Scholar] [CrossRef]
- Oliveira, C.; Rubio, J. New basis for adsorption of ionic pollutants onto modified zeolites. Miner. Eng. 2007, 20, 552–558. [Google Scholar] [CrossRef]
- Li, Z. Use of surfactant-modified zeolite as fertilizer carriers to control nitrate release. Microporous Mesoporous Mater. 2003, 61, 181–188. [Google Scholar] [CrossRef]
- Guibal, E. Interactions of metal ions with chitosan-based sorbents: A review. Sep. Purif. Technol. 2004, 38, 43–74. [Google Scholar] [CrossRef]
- Chatterjee, S.; Lee, D.S.; Lee, M.W.; Woo, S.H. Nitrate removal from aqueous solutions by cross-linked chitosan beads conditioned with sodium bisulfate. J. Hazard. Mater. 2009, 166, 508–513. [Google Scholar] [CrossRef]
- Doula, M.K. Simultaneous removal of Cu, Mn and Zn from drinking water with the use of clinoptilolite and its Fe-modified form. Water Res. 2009, 43, 3659–3672. [Google Scholar] [CrossRef] [PubMed]
- Guaya, D.; Valderrama, C.; Farrán, A.; Armijos, C.; Cortina, J.L. Simultaneous phosphate and ammonium removal from aqueous solution by a hydrated aluminum oxide modified natural zeolite. Chem. Eng. J. 2015, 271, 204–213. [Google Scholar] [CrossRef]
- Mahmoodi, N.M.; Saffar-Dastgerdi, M.H. Zeolite nanoparticle as a superior adsorbent with high capacity: Synthesis, surface modification and pollutant adsorption ability from wastewater. Microchem. J. 2019, 145, 74–83. [Google Scholar] [CrossRef]
- Swiderska-Dabrowska, R.; Schmidt, R.; Sikora, A. Physicochemical properties of zeolite. Ecol. Eng. 2011, 24, 195–204. (In Polish) [Google Scholar]
- Swiderska-Dabrowska, R.; Schmidt, R.; Sikora, A. Effect of calcination temperature on chemical stability of zeolite modified by iron ions. In Polish Environ. Engineering 2012; Environmental Engineering Committee PAS, Ed.; Environmental Engineering Committee PAS: Lublin, Poland, 2012; pp. 307–317. [Google Scholar]
- Chunjie, L.; Yang, D.; Deyi, W.; Licheng, P.; Hainan, K. Surfactant modified zeolite as adsorbent for removal of humic acid from water. Appl. Clay Sci. 2011, 52, 353–357. [Google Scholar]
- Ozbahce, A.; Fuat, T.A.; Gonulal, E.; Simsekli, N.; Padem, H. The effect of zeolite applications on yield components and nutrient uptake of common bean under water stress. Arch. Agron. Soil Sci. 2015, 61, 615–626. [Google Scholar] [CrossRef]
- Turk, M.; Bayram, G.; Budakli, E.; Celik, N. A Study on Effects of Different Mixtures of Zeolite with Soil Rates on Some Yield Parameters of Alfalfa (Medicago sativa L.). J. Agron. 2006, 5, 118–121. [Google Scholar]
- Xiubin, H.; Zhanbin, H. Zeolite application for enhancing water infiltration and retention in loess soil. Resour. Conserv. Recycl. 2001, 34, 45–52. [Google Scholar] [CrossRef]
- Ghanbari, M.; Ariafar, S. The effect of water deficit and zeolite application on Growth Traits and Oil Yield of Medicinal Peppermint (Mentha piperita L.). Int. J. Med. Arom. Plants 2013, 3, 33–39. [Google Scholar]
- Gholizadeh, A.; Amin, M.S.M.; Anuar, A.R.; Saberioon, M.M. Water stress and natural zeolite impacts on phisiomorphological characteristics of moldavian balm (Dracocephalum moldavica l.). Aust. J. Basic Appl. Sci. 2010, 4, 5184–5190. [Google Scholar]
- Gomonaj, V.I.; Golub, N.P.; Szekeresh, K.Y.; Leboda, R.; Skubiszewska-Zięba, J. Studies on usefulness of Trans Carpathian clinoptilolite for Hg(II), Cr (III) and Ni(II) ions adsorption from aqueous solutions. Nat. Environ. Prot. 1998, 4, 71–77. (In Polish) [Google Scholar]
- Aranovich, G. New polymolecular adsorption isotherm. J. Colloid Interface Sci. 1991, 141, 30–43. [Google Scholar] [CrossRef]
- Jaroniec, M. Evaluation of the Fractal Dimension from a Single Adsorption Isotherm. Langmuir 1995, 11, 2316–2317. [Google Scholar] [CrossRef]
- Jaroniec, M.; Bräuer, P. Recent progress in determination of energetic heterogeneity of solids from adsorption data. Surf. Sci. Rep. 1986, 6, 65–117. [Google Scholar] [CrossRef]
- Harris, L.B. Adsorption on a patchwise heterogeneous surface; mathematical analysis of the step-function approximation to the local isotherm. Surf. Sci. 1968, 10, 129–145. [Google Scholar] [CrossRef]
- Harris, L.B. Adsorption on a patchwise heterogeneous surface: II. Heats of adsorption from the condensation approximation. Surf. Sci. 1969, 13, 377–392. [Google Scholar] [CrossRef]
- Oscik, J. Adsorpcja; PWN: Warsaw, Poland, 1979; pp. 82–87. (In Polish) [Google Scholar]
- Neimark, A.V. Calculating Surface Fractal Dimensions of Adsorbents. Adsorpt. Sci. Technol. 1990, 7, 210–219. [Google Scholar] [CrossRef]
- Jaroniec, M.; Sokołowski, S.; Cerofolini, G. Adsorption parameters and the form of the energy distribution function—A discussion. Thin Solid Films 1976, 31, 321–328. [Google Scholar] [CrossRef]
- Mayinger, F. Optical Measurements Techniques and Applications, 1st ed.; Springer: Berlin/Heidelberg, Germany, 1994; pp. 256–270. [Google Scholar]
- Delgado, A.; Caballero, F.G.; Hunter, R.; Koopal, L.; Lyklema, J. Measurement and interpretation of electrokinetic phenomena. J. Colloid Interface Sci. 2007, 309, 194–224. [Google Scholar] [CrossRef] [PubMed]
- Sing, K.S.W. Reporting physisorption data for gas/solid systems with special reference to the determination of surface area and porosity (Recommendations 1984). Pure Appl. Chem. 1985, 57, 603–619. [Google Scholar] [CrossRef]
- Van Donk, S.; Janssen, A.H.; Bitter, J.H.; De Jong, K.P. Generation, Characterization, and Impact of Mesopores in Zeolite Catalysts. Catal. Rev. 2003, 45, 297–319. [Google Scholar] [CrossRef]
- Voroney, R.P.; Van Straaten, P. Use of natural zeolites in sand root zones for putting greens. Greenmaster Mag. 1988, 8, 17–19. [Google Scholar]
- Ersoy, B.; Celik, M.S. Electrokinetic properties of clinoptilolite with mono- and multivalent electrolytes. Microporous Mesoporous Mater. 2002, 55, 305–312. [Google Scholar] [CrossRef]
- Nguyen, T.C.; Loganathan, P.; Nguyen, T.V.; Vigneswaran, S.; Kandasamy, J.; Naidu, R. Simultaneous adsorption of Cd, Cr, Cu, Pb, and Zn by an iron-coated Australian zeolite in batch and fixed-bed column studies. Chem. Eng. J. 2015, 270, 393–404. [Google Scholar] [CrossRef]
- Chen, Y.-H.; Huang, S.-J.; Wan, B.-Z. Reversal of Zeta Potential of Proton-Type Zeolite Y after Surface Modifications in Sodium Ion Aqueous Solutions. Ind. Eng. Chem. Res. 2016, 55, 1921–1928. [Google Scholar] [CrossRef]
- Wang, X.; Nguyen, A.V. Potential Desalination of Coal Seam Gas Coproduced Water Using Zeolite. In Zeolites and Their Applications; Rashed, M.N., Palanisamy, P.N., Eds.; IntechOpen: London, UK, 2018. [Google Scholar]
- Northcott, K.A.; Bacus, J.; Taya, N.; Komatsu, Y.; Perera, J.M.; Stevens, G.W. Synthesis and characterization of hydrophobic zeolite for the treatment of hydrocarbon contaminated ground water. J. Hazard. Mater. 2010, 183, 434–440. [Google Scholar] [CrossRef] [PubMed]




| Material | S (m2g−1) | D | Ea | v (mm3g−1) | r (nm) | IEP |
|---|---|---|---|---|---|---|
| Z | 83.9 ± 2.1 | 2.55 ± 0.07 | 1.626 ± 0.04 | 33 ± 1.0 | 8.02 ± 0.5 | 0.88 ± 0.07 |
| ZW | 79.1 ± 1.7 | 2.57 ± 0.05 | 1.655 ± 0.03 | 33 ± 0.9 | 7.98 ± 0.5 | 1.38 ± 0.01 |
| ZWW | 79.3 ± 2.0 | 2.60 ± 0.03 | 1.679 ± 0.02 | 34 ± 1.0 | 8.03 ± 0.7 | 1.11 ± 0.02 |
| ZH | 95.6 ± 1.3 | 2.48 ± 0.06 | 1.639 ± 0.03 | 50 ± 0.4 | 8.34 ± 0.4 | 8.59 ± 0.08 |
| ZHW | 99.5 ± 2.5 | 2.59 ± 0.05 | 1.649 ± 0.03 | 39 ± 1.2 | 8.55 ± 0.6 | 2.33 ± 0.05 |
| ZWB | 82.9 ± 1.3 | 2.58 ± 0.06 | 1.644 ± 0.03 | 32 ± 0.8 | 8.35 ± 0.6 | 1.66 ± 0.03 |
| ZWBW | 81.3 ± 1.7 | 2.59 ± 0.07 | 1.649 ± 0.04 | 30 ± 0.6 | 8.07 ± 0.2 | 1.87 ± 0.06 |
| ZHB | 92.4 ± 2.2 | 2.52 ± 0.10 | 1.611 ± 0.06 | 37 ± 1.0 | 7.93 ± 0.4 | 3.86 ± 0.11 |
| ZHBW | 91.1 ± 1.7 | 2.61 ± 0.07 | 1.651 ± 0.04 | 34 ± 0.5 | 8.53 ± 0.6 | 1.97 ± 0.02 |
| ZWFe2 | 113.3 ± 2.9 | 2.45 ± 0.02 | 1.621 ± 0.01 | 57 ± 1.1 | 7.82 ± 0.3 | 3.52 ± 0.07 |
| ZWFe2W | 86.5 ± 1.8 | 2.60 ± 0.02 | 1.651 ± 0.01 | 34 ± 0.9 | 8.18 ± 0.6 | 2.15 ± 0.02 |
| ZHFe2 | 152.7 ± 6.3 | 2.29 ± 0.07 | 1.623 ± 0.03 | 99 ± 3.7 | 7.05 ± 0.5 | 3.80 ± 0.04 |
| ZHFe2W | 114.3 ± 2.5 | 2.59 ± 0.10 | 1.611 ± 0.06 | 35 ± 1.1 | 7.72 ± 0.7 | 1.55 ± 0.01 |
| ZWFe3 | 102.7 ± 1.8 | 2.43 ± 0.01 | 1.630 ± 0.01 | 64 ± 1.0 | 8.30 ± 0.6 | 4.97 ± 0.10 |
| ZWFe3W | 85.1 ± 2.7 | 2.54 ± 0.05 | 1.632 ± 0.02 | 33 ± 1.6 | 7.94 ± 0.3 | 3.45 ± 0.03 |
| ZHFe3 | 93.9 ± 4.4 | 2.41 ± 0.01 | 1.612 ± 0.01 | 44 ± 2.8 | 7.18 ± 0.5 | 2.81 ± 0.14 |
| ZHFe3W | 97.3 ± 4.6 | 2.41 ± 0.05 | 1.632 ± 0.03 | 65 ± 3.0 | 7.67 ± 0.4 | 1.94 ± 0.06 |
| ZWAl | 100.4 ± 6.9 | 2.41 ± 0.01 | 1.648 ± 0.01 | 82 ± 5.3 | 8.41 ± 0.6 | 7.66 ± 0.08 |
| ZWAlW | 79.7 ± 2.1 | 2.64 ± 0.02 | 1.687 ± 0.01 | 33 ± 1,2 | 9.30 ± 0.6 | 4.02 ± 0.04 |
| ZHAl | 143.0 ± 11.6 | 2.29 ± 0.01 | 1.615 ± 0.01 | 117 ± 9.6 | 7.96 ± 0.8 | 1.35 ± 0.03 |
| ZHAlW | 121.0 ± 1.9 | 2.33 ± 0.01 | 1.604 ± 0.01 | 95 ± 1.3 | 8.70 ± 0.3 | 5.76 ± 0.06 |
© 2019 by the authors. Licensee MDPI, Basel, Switzerland. This article is an open access article distributed under the terms and conditions of the Creative Commons Attribution (CC BY) license (http://creativecommons.org/licenses/by/4.0/).
Share and Cite
Cieśla, J.; Franus, W.; Franus, M.; Kedziora, K.; Gluszczyk, J.; Szerement, J.; Jozefaciuk, G. Environmental-Friendly Modifications of Zeolite to Increase Its Sorption and Anion Exchange Properties, Physicochemical Studies of the Modified Materials. Materials 2019, 12, 3213. https://doi.org/10.3390/ma12193213
Cieśla J, Franus W, Franus M, Kedziora K, Gluszczyk J, Szerement J, Jozefaciuk G. Environmental-Friendly Modifications of Zeolite to Increase Its Sorption and Anion Exchange Properties, Physicochemical Studies of the Modified Materials. Materials. 2019; 12(19):3213. https://doi.org/10.3390/ma12193213
Chicago/Turabian StyleCieśla, Jolanta, Wojciech Franus, Małgorzata Franus, Karolina Kedziora, Justyna Gluszczyk, Justyna Szerement, and Grzegorz Jozefaciuk. 2019. "Environmental-Friendly Modifications of Zeolite to Increase Its Sorption and Anion Exchange Properties, Physicochemical Studies of the Modified Materials" Materials 12, no. 19: 3213. https://doi.org/10.3390/ma12193213
APA StyleCieśla, J., Franus, W., Franus, M., Kedziora, K., Gluszczyk, J., Szerement, J., & Jozefaciuk, G. (2019). Environmental-Friendly Modifications of Zeolite to Increase Its Sorption and Anion Exchange Properties, Physicochemical Studies of the Modified Materials. Materials, 12(19), 3213. https://doi.org/10.3390/ma12193213

