Utilization of SiC and Cu Particles to Enhance Thermal and Mechanical Properties of Al Matrix Composites
Abstract
1. Introduction
2. Experiment
3. Results and Discussions
3.1. Structural Characterization
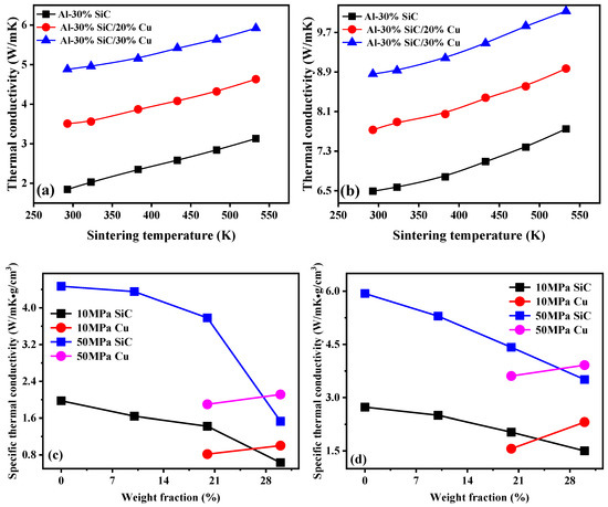
3.2. Effect of SiC Addition
3.3. Effect of Cu Addition
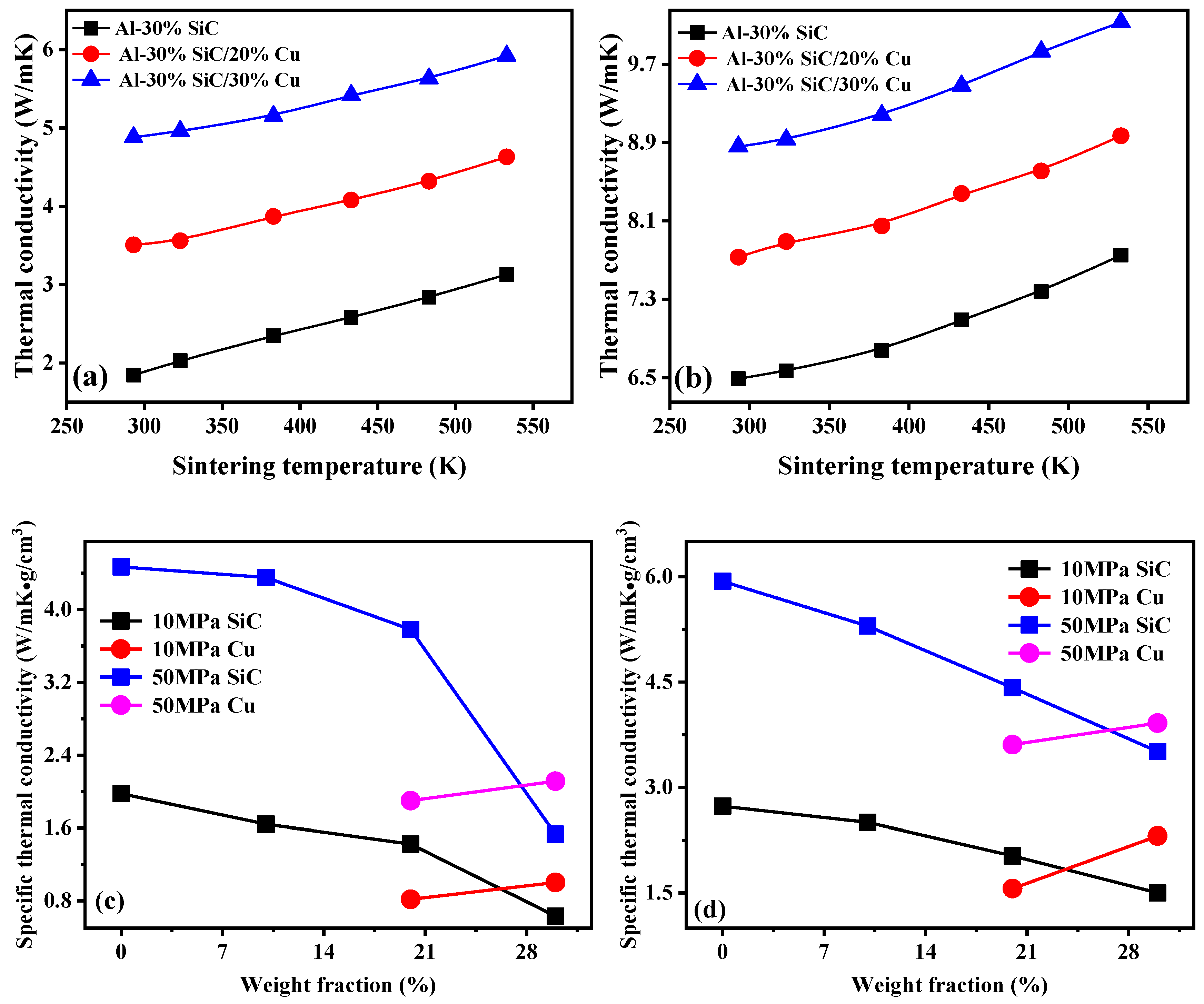
3.4. Effect of Sintering Treatment
4. Conclusions
- (1)
- A weight fraction of 30% SiC was able to enhance the compressibility by as much as 100% for 500-nm Al MMCs, while a weight fraction of 30% SiC was only able to enhance the compressibility by about 0.4 times for 1-μm Al MMCs, suggesting that small particles have greater potential to improve compressibility than large particles, which can be attributed to the size effect of the elastic modulus. This enhanced compressibility is a result not only of the high hardness and deformation resistance of SiC, but also of the fragmented SiC particles in the milling process, which may lead to high local internal strains in composites. The thermal conductivity of Al-SiC MMCs will decrease with increasing weight fractions of SiC. This can be explained by the fact that the heat carrier for SiC is phonons, which are able to be scattered by smaller sizes.
- (2)
- Adding Cu particles to Al-SiC MMCs improved the compressibility behavior of Al-SiC/Cu MMCs. The enhanced compressibility is a result of the high hardness, high deformation resistance, and the spherical shape of copper nanoparticles, which are able to greatly reduce the contact area between adjacent particles. The thermal conductivity could be enhanced by 100% with an increase in Cu content from 0 to 30%. To meet the need for low density and high thermal conductivity in applications, it is more desirable to enhance the specific thermal conductivity by enlarging the preparation pressure or/and sintering temperature.
Author Contributions
Funding
Conflicts of Interest
Appendix A

Appendix B

Appendix C

References
- Wagih, A. Effect of Mg addition on mechanical and thermoelectrical properties of Al-Al2O3 nanocomposite. Trans. Nonferrous Met. Soc. China 2016, 26, 2810–2817. [Google Scholar] [CrossRef]
- Wagih, A.; Maimi, P.; Blanco, N.; Garcia-Rodriguez, S.M.; Guillamet, G.; Issac, R.P.; Turon, A.; Costa, J. Improving damage resistance and load capacity of thin-ply laminates using ply clustering and small mismatch angles. Compos. Part A Appl. Sci. Manuf. 2019, 117, 76–91. [Google Scholar] [CrossRef]
- Haghgoo, M.; Ansari, R.; Hassanzadeh-Aghdam, M.K. Effective elastoplastic properties of carbon nanotube-reinforced aluminum nanocomposites considering the residual stresses. J. Alloy. Compd. 2018, 752, 476–488. [Google Scholar] [CrossRef]
- Wagih, A.; Fathy, A.; Ibrahim, D.; Elkady, O.; Hassan, M. Experimental investigation on strengthening mechanisms in Al-SiC nanocomposites and 3D FE simulation of Vickers indentation. J. Alloy. Compd. 2018, 752, 137–147. [Google Scholar] [CrossRef]
- Kim, K.; Kim, D.; Park, K.; Cho, M.; Cho, S.; Kwon, H. Effect of Intermetallic Compounds on the Thermal and Mechanical Properties of Al-Cu Composite Materials Fabricated by Spark Plasma Sintering. Materials 2019, 12, 1546. [Google Scholar] [CrossRef] [PubMed]
- Arif, S.; Alam, M.T.; Aziz, T.; Ansari, A.H. Morphological and Wear behaviour of new Al-SiCmicro-SiCnano hybrid nanocomposites fabricated through powder metallurgy. Mater. Res. Express 2018, 5. [Google Scholar] [CrossRef]
- Fathy, A.; Sadoun, A.; Abdelhameed, M. Effect of matrix/reinforcement particle size ratio (PSR) on the mechanical properties of extruded Al-SiC composites. Int. J. Adv. Manuf. Technol. 2014, 73, 1049–1056. [Google Scholar] [CrossRef]
- El-Daly, A.A.; Abdelhameed, M.; Hashish, M.; Eid, A.M. Synthesis of Al/SiC nanocomposite and evaluation of its mechanical properties using pulse echo overlap method. J. Alloy. Compd. 2012, 542, 51–58. [Google Scholar] [CrossRef]
- Krizik, P.; Balog, M.; Matko, I.; Svec, P., Sr.; Cavojsky, M.; Simancik, F. The effect of a particle-matrix interface on the Young’s modulus of Al-SiC composites. J. Compos. Mater. 2016, 50, 99–108. [Google Scholar] [CrossRef]
- Qiu, F.; Gao, X.; Tang, J.; Gao, Y.Y.; Shu, S.L.; Han, X.; Li, Q.; Jiang, Q.C. Microstructures and Tensile Properties of Al-Cu Matrix Composites Reinforced with Nano-Sized SiCp Fabricated by Semisolid Stirring Process. Metals 2017, 7, 49. [Google Scholar] [CrossRef]
- Lee, B.S.; Joo, D.H.; Kim, M.H. Textures and mechanical properties of extruded Al-Cu alloys in the semisolid state. J. Mater. Process. Technol. 2008, 198, 366–371. [Google Scholar] [CrossRef]
- Nam, D.H.; Cha, S.I.; Lee, K.M.; Jang, J.H.; Park, H.M.; Lee, J.K.; Hong, S.H. Thermal Properties of Carbon Nanotubes Reinforced Aluminum-Copper Matrix Nanocomposites. J. Nanosci. Nanotechnol. 2016, 16, 12013–12016. [Google Scholar] [CrossRef]
- Sun, S.; Xu, Q. Fabricating a Novel Intragranular Microstructure for Al2O3/GdAlO3 Ceramic Composites. Materials 2018, 11, 1879. [Google Scholar] [CrossRef] [PubMed]
- Kollo, L.; Bradbury, C.R.; Veinthal, R.; Jaeggi, C.; Carreno-Morelli, E.; Leparoux, M. Nano-silicon carbide reinforced aluminium produced by high-energy milling and hot consolidation. Mater. Sci. Eng. A Struct. Mater. Prop. Microstruct. Process. 2011, 528, 6606–6615. [Google Scholar] [CrossRef]
- Shon, I.J.; Kim, W.J. Pulsed current activated synthesis and consolidation of nanostructured Al-SiC composite and its mechanical properties. J. Ceram. Process. Res. 2016, 17, 1215–1218. [Google Scholar]
- Gu, W.L. Bulk Al/SiC nanocomposite prepared by ball milling and hot pressing method. Trans. Nonferrous Met. Soc. China 2006, 16, S398–S401. [Google Scholar] [CrossRef]
- Choi, H.; Cho, W.H.; Konishi, H.; Kou, S.; Li, X. Nanoparticle-Induced Superior Hot Tearing Resistance of A206 Alloy. Metall. Mater. Trans. A Phys. Metall. Mater. Sci. 2013, 44, 1897–1907. [Google Scholar] [CrossRef]
- Zhao, L.; Lu, H.; Gao, Z. The Effect of Graphene on the Microstructure and Mechanical Properties of Aluminum/Graphene Produced by HPT. In Epd Congress 2015; Springer: Cham, Switzerland, 2015; pp. 133–139. [Google Scholar]
- Hamedan, A.D.; Shahmiri, M. Production of A356-1 wt% SiC nanocomposite by the modified stir casting method. Mater. Sci. Eng. A Struct. Mater. Prop. Microstruct. Process. 2012, 556, 921–926. [Google Scholar] [CrossRef]
- Leszczynska-Madej, B.; Garbiec, D.; Madej, M. Effect of sintering temperature on microstructure and selected properties of spark plasma sintered Al-SiC composites. Vacuum 2019, 164, 250–255. [Google Scholar] [CrossRef]
- Tiwari, S.; Das, S.; Ch, V.A.N. Mechanical properties of Al-Si-SiC composites. Mater. Res. Express 2019, 6, 076553. [Google Scholar] [CrossRef]
- Wang, W.; Li, Q.; Du, A.; Zhao, X.; Fan, Y.; Ma, R.; Cao, X. Excellent thermal shock resistance of Al alloy-infiltrated SiC composites. J. Mater. Process. Technol. 2019, 269, 16–25. [Google Scholar] [CrossRef]
- Ma, W.; Liu, Y.; Yan, S.; Miao, T.; Shi, S.; Yang, M.; Zhang, X.; Gao, C. Systematic characterization of transport and thermoelectric properties of a macroscopic graphene fiber. Nano Res. 2016, 9, 3536–3546. [Google Scholar] [CrossRef]
- Ma, W.; Zhang, X. Study of the thermal, electrical and thermoelectric properties of metallic nanofilms. Int. J. Heat Mass Transf. 2013, 58, 639–651. [Google Scholar] [CrossRef]
- Wei, G.; Zhang, Y.; Xu, C.; Du, X.; Yang, Y. A thermal conductivity study of double-pore distributed powdered silica aerogels. Int. J. Heat Mass Transf. 2017, 108, 1297–1304. [Google Scholar] [CrossRef]
- Wei, G.S.; Huang, P.R.; Xu, C.; Chen, L.; Ju, X.; Du, X.Z. Experimental study on the radiative properties of open-cell porous ceramics. Sol. Energy 2017, 149, 13–19. [Google Scholar] [CrossRef]
- Huang, C.L.; Feng, Y.H.; Zhang, X.X.; Li, J.; Wang, G.; Chou, A.H. Thermal conductivity of metallic nanoparticle. Acta Phys. Sin. 2013, 62, 5. [Google Scholar]
- Fathy, A.; El-Kady, O.; Mohammed, M.M.M. Effect of iron addition on microstructure, mechanical and magnetic properties of Al-matrix composite produced by powder metallurgy route. Trans. Nonferrous Met. Soc. China 2015, 25, 46–53. [Google Scholar] [CrossRef]
- Miranda, A.; Barekar, N.; McKay, B.J. MWCNTs and their use in Al-MMCs for ultra-high thermal conductivity applications: A review. J. Alloy. Compd. 2019, 774, 820–840. [Google Scholar] [CrossRef]
- Tatar, C.; Özdemir, N. Investigation of thermal conductivity and microstructure of the α-Al2O3 particulate reinforced aluminum composites (Al/Al2O3-MMC) by powder metallurgy method. Phys. B Condens. Matter 2010, 405, 896–899. [Google Scholar] [CrossRef]
- Bessho, S.; Tomioka, S.; Ito, S. Studies on the compression of powder-like materials. IX. Some theoretical consideration of the several compression-state equations of powder-like materials, Yakugaku zasshi. J. Pharm. Soc. Jpn. 1972, 92, 686–693. [Google Scholar] [CrossRef][Green Version]
- Wagih, A.; Fathy, A. Improving compressibility and thermal properties of Al-Al2O3 nanocomposites using Mg particles. J. Mater. Sci. 2018, 53, 11393–11402. [Google Scholar] [CrossRef]
- Kumar, H.G.P.; Xavior, M.A. Encapsulation and microwave hybrid processing of Al 6061-Graphene-SiC composites. Mater. Manuf. Process. 2018, 33, 19–25. [Google Scholar] [CrossRef]
- Abu-Oqail, A.; Wagih, A.; Fathy, A.; Elkady, O.; Kabeel, A.M. Effect of high energy ball milling on strengthening of Cu-ZrO2 nanocomposites. Ceram. Int. 2019, 45, 5866–5875. [Google Scholar] [CrossRef]
- Fathy, A.; Wagih, A.; Abu-Oqail, A. Effect of ZrO2 content on properties of Cu-ZrO2 nanocomposites synthesized by optimized high energy ball milling. Ceram. Int. 2019, 45, 2319–2329. [Google Scholar] [CrossRef]
- Melaibari, A.; Fathy, A.; Mansouri, M.; Eltaher, M.A. Experimental and numerical investigation on strengthening mechanisms of nanostructured Al-SiC composites. J. Alloy. Compd. 2019, 774, 1123–1132. [Google Scholar] [CrossRef]
- Huang, C.; Lin, Z.; Feng, Y.; Zhang, X.; Wang, G. Thermal conductivity of silica nanoparticle powder: Measurement and theoretical analysis. Eur. Phys. J. Plus 2015, 130, 239. [Google Scholar] [CrossRef]
- Zhen, W.K.; Lin, Z.Z.; Huang, C.L. Modified Maxwell model for predicting thermal conductivity of nanocomposites considering aggregation. Chin. Phys. B 2017, 26, 114401. [Google Scholar] [CrossRef]
- Wu, D.; Huang, C.; Zhong, J.; Lin, Z. Influence factors of the inter-nanowire thermal contact resistance in the stacked nanowires. Phys. B Condens. Matter 2018, 537, 150–154. [Google Scholar] [CrossRef]
- Lin, Z.Z.; Huang, C.L.; Zhen, W.K.; Huang, Z. Enhanced thermal conductivity of metallic nanoparticle packed bed by sintering treatment. Appl. Therm. Eng. 2017, 119, 425–429. [Google Scholar] [CrossRef]
- Lin, Z.Z.; Huang, C.L.; Luo, D.C.; Feng, Y.H.; Zhang, X.X.; Wang, G. Thermal performance of metallic nanoparticles in air. Appl. Therm. Eng. 2016, 105, 686–690. [Google Scholar] [CrossRef]
- Saberi, Y.; Zebarjad, S.M.; Akbari, G.H. On the role of nano-size SiC on lattice strain and grain size of Al/SiC nanocomposite. J. Alloy. Compd. 2009, 484, 637–640. [Google Scholar] [CrossRef]
- Xiong, B.; Xu, Z.; Yan, Q.; Cai, C.; Zheng, Y.; Lu, B. Fabrication of SiC nanoparticulates reinforced Al matrix composites by combining pressureless infiltration with ball-milling and cold-pressing technology. J. Alloys Compd. 2010, 497, L1–L4. [Google Scholar] [CrossRef]
- Panelli, R.; Ambrozio, F. A study of a new phenomenological compacting equation. Powder Technol. 2001, 114, 255–261. [Google Scholar] [CrossRef]
- Davis, L.; Artz, B. Thermal conductivity of metal-matrix composites. J. Appl. Phys. 1995, 77, 4954–4960. [Google Scholar] [CrossRef]
- Huang, C.L.; Lin, Z.Z.; Feng, Y.H.; Zhang, X.X.; Wang, G. Thermal conductivity prediction of 2-dimensional square-pore metallic nanoporous materials with kinetic method approach. Int. J. Therm. Sci. 2017, 112, 263–269. [Google Scholar] [CrossRef]
- Wu, D.; Huang, C. Thermal conductivity model of open-cell foam suitable for wide span of porosities. Int. J. Heat Mass Transf. 2019, 130, 1075–1086. [Google Scholar] [CrossRef]
- Zhao, X.; Huang, C.; Liu, Q.; Smalyukh, I.I.; Yang, R. Thermal conductivity model for nanofiber networks. J. Appl. Phys. 2018, 123, 085103. [Google Scholar] [CrossRef]
- Huang, Z.; Huang, C.; Wu, D.; Rao, Z. Influence of chemical bonding on thermal contact resistance at silica interface: A molecular dynamics simulation. Comput. Mater. Sci. 2018, 149, 316–323. [Google Scholar] [CrossRef]
- Huang, C.; Qian, X.; Yang, R. Thermal conductivity of polymers and polymer nanocomposites. Mater. Sci. Eng. R Rep. 2018, 132, 1–22. [Google Scholar] [CrossRef]
- Huang, C.L.; Qian, X.; Yang, R.G. Influence of nanoparticle size distribution on the thermal conductivity of particulate nanocomposites. Epl 2017, 117, 24001. [Google Scholar] [CrossRef]









| Raw Materials | Al | SiC | Cu |
|---|---|---|---|
| diameter | 500nm or 1 μm | 500 nm or 1 μm | 500 nm or 1 μm |
| Prepared Materials | Al-10%SiC | Al-20%SiC | Al-30%SiC | Al-30%SiC/20%Cu | Al-30%SiC/30%Cu |
|---|---|---|---|---|---|
| Proportion of SiC in Al | 10% | 20% | 30% | 30% | 30% |
| Proportion of Cu in Al-SiC | 0 | 0 | 0 | 20% | 30% |
© 2019 by the authors. Licensee MDPI, Basel, Switzerland. This article is an open access article distributed under the terms and conditions of the Creative Commons Attribution (CC BY) license (http://creativecommons.org/licenses/by/4.0/).
Share and Cite
Wu, D.; Huang, C.; Wang, Y.; An, Y.; Guo, C. Utilization of SiC and Cu Particles to Enhance Thermal and Mechanical Properties of Al Matrix Composites. Materials 2019, 12, 2770. https://doi.org/10.3390/ma12172770
Wu D, Huang C, Wang Y, An Y, Guo C. Utilization of SiC and Cu Particles to Enhance Thermal and Mechanical Properties of Al Matrix Composites. Materials. 2019; 12(17):2770. https://doi.org/10.3390/ma12172770
Chicago/Turabian StyleWu, Dongxu, Congliang Huang, Yukai Wang, Yi An, and Chuwen Guo. 2019. "Utilization of SiC and Cu Particles to Enhance Thermal and Mechanical Properties of Al Matrix Composites" Materials 12, no. 17: 2770. https://doi.org/10.3390/ma12172770
APA StyleWu, D., Huang, C., Wang, Y., An, Y., & Guo, C. (2019). Utilization of SiC and Cu Particles to Enhance Thermal and Mechanical Properties of Al Matrix Composites. Materials, 12(17), 2770. https://doi.org/10.3390/ma12172770
