How to Choose the Superconducting Material Law for the Modelling of 2G-HTS Coils
Abstract
1. Introduction
2. Superconducting Material Law Models
3. A Crude Analysis of the Material Law Derivatives
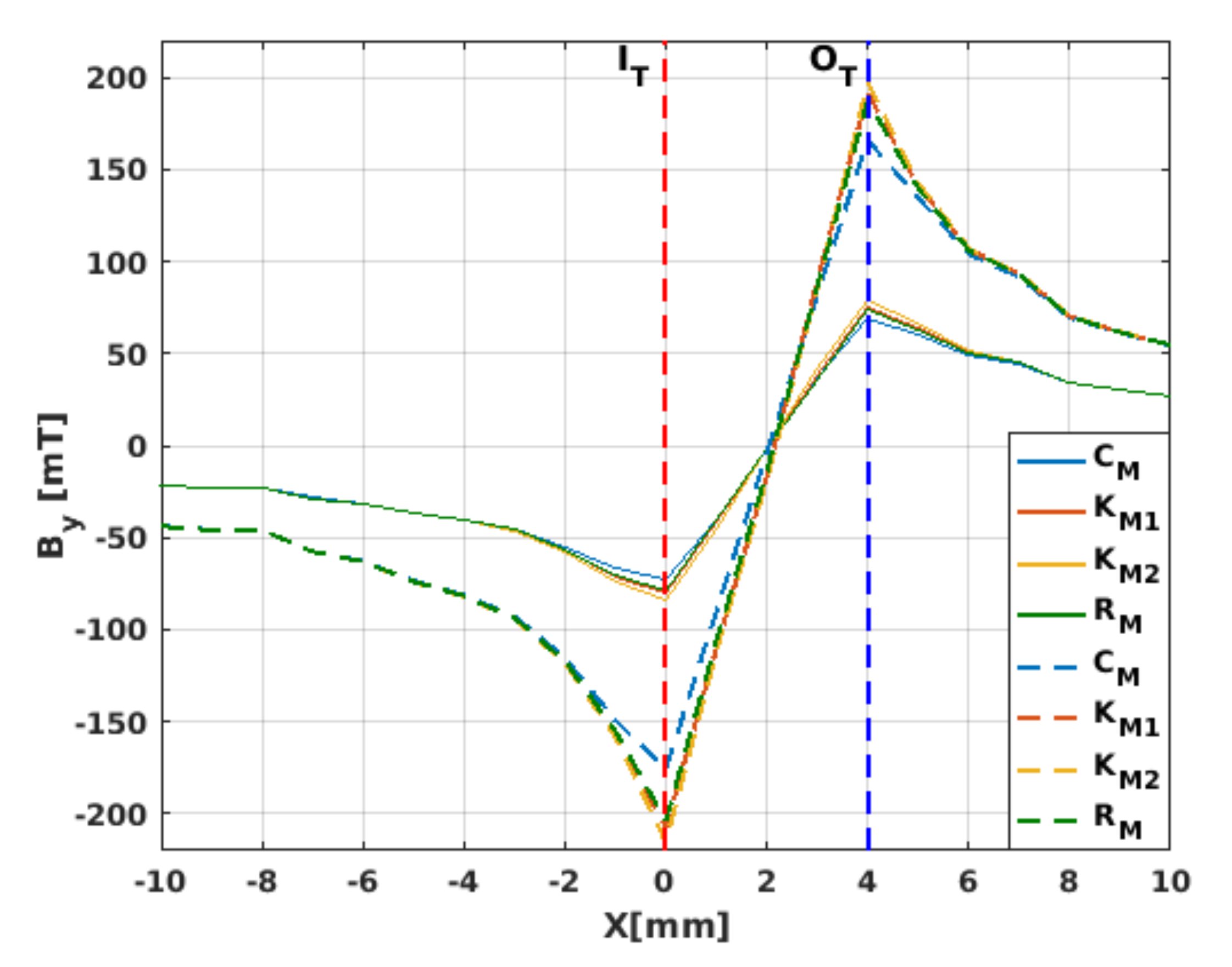
3.1. Dynamics of Flux Front Profiles: A Qualitative Approach
3.2. Local Profiles of Current Density: A Quantitative Approach
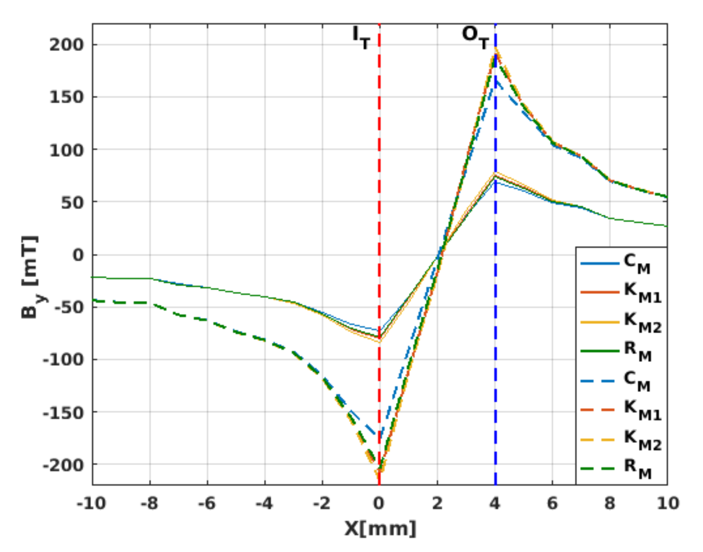
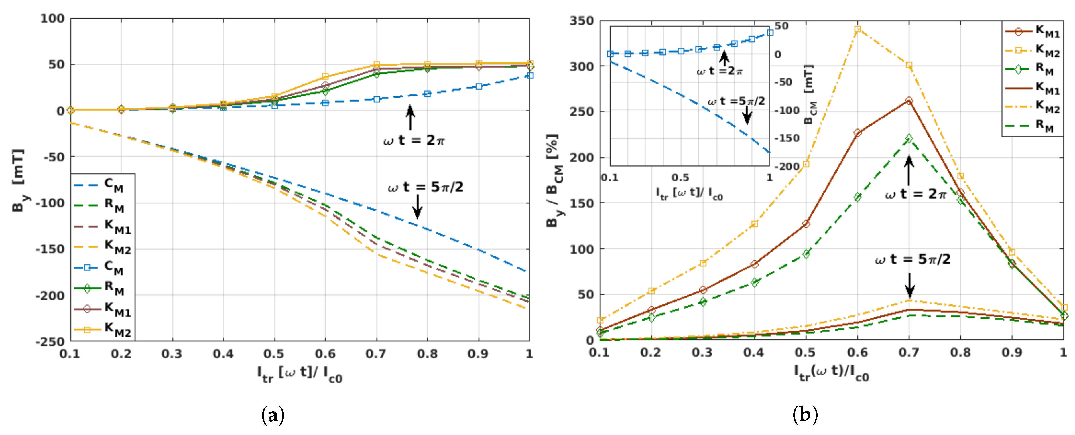
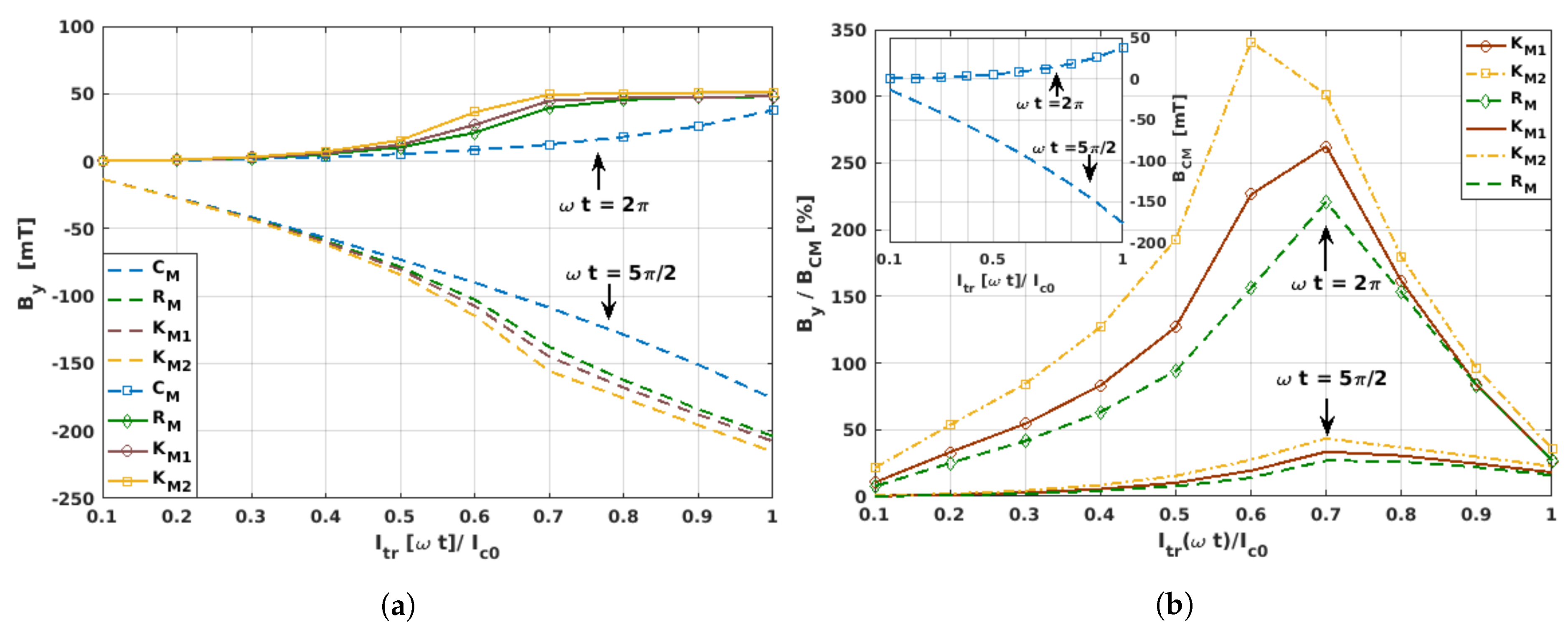
3.3. Magnetic Field Ratio within Different Material Laws
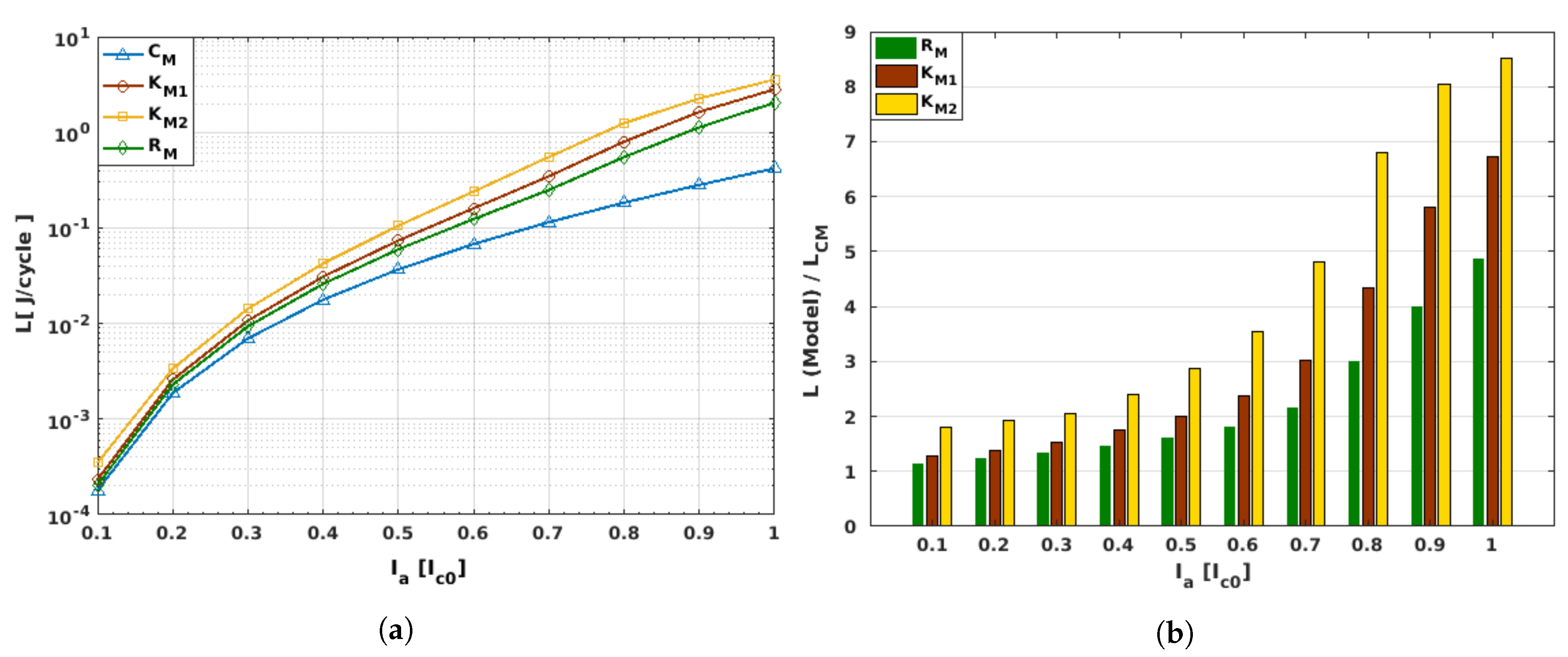
3.4. AC Losses
4. Conclusions
Author Contributions
Funding
Acknowledgments
Conflicts of Interest
Abbreviations
| 2D | Two-dimensional |
| 2G-HTS | Second-generation of high-temperature superconductor/superconducting |
| AC | Alternating current |
| CS | Critical state |
| DC | Direct current |
| FEM | Finite element method |
| PDE | Partial differential equation |
| REBCO | Rare-earth barium-copper oxide |
| YBCO | Yttrium barium copper oxide |
References
- Yan, S.; Ren, L.; Zhang, Y.; Zhu, K.; Su, R.; Xu, Y.; Tang, Y.; Shi, J.; Li, J. AC loss analysis of a flux-coupling type superconducting fault current Limiter. IEEE Trans. Appl. Supercond. 2019, 29, 1–5. [Google Scholar] [CrossRef]
- Zhang, X.; Ruiz, H.; Geng, J.; Coombs, T. Optimal location and minimum number of superconducting fault current limiters for the protection of power grids. Int. J. Electr. Power Energy Syst. 2017, 87, 136–143. [Google Scholar] [CrossRef]
- Ruiz, H.S.; Zhang, X.; Coombs, T.A. Resistive-type superconducting fault current limiters: Concepts, materials, and numerical modeling. IEEE Trans. Appl. Supercond. 2015, 25, 5601405. [Google Scholar] [CrossRef]
- Hellmann, S.; Abplanalp, M.; Elschner, S.; Kudymow, A.; Noe, M. Current limitation experiments on a 1 MVA-class superconducting current limiting transformer. IEEE Trans. Appl. Supercond. 2019, 29, 1–6. [Google Scholar] [CrossRef]
- Pardo, E.; Grilli, F. Numerical simulations of the angular dependence of magnetization AC losses: Coated conductors, Roebel cables and double pancake coils. Supercond. Sci. Technol. 2012, 25, 014008. [Google Scholar] [CrossRef]
- Nam, G.; Sung, H.; Go, B.; Park, M.; Yu, I. Design and comparative analysis of MgB2 and YBCO wire-based-superconducting wind power generators. IEEE Trans. Appl. Supercond. 2018, 28, 1–5. [Google Scholar] [CrossRef]
- Zhong, Z.; Chudy, M.; Ruiz, H.; Zhang, X.; Coombs, T. Critical current studies of a HTS rectangular coil. Phys. C Supercond. Appl. 2017, 536, 18–25. [Google Scholar] [CrossRef]
- Kim, A.; Kim, K.; Park, H.; Kim, G.; Park, T.; Park, M.; Kim, S.; Lee, S.; Ha, H.; Yoon, S.; et al. Performance analysis of a 10-kW superconducting synchronous generator. IEEE Trans. Appl. Supercond. 2015, 25, 1–4. [Google Scholar] [CrossRef]
- Huang, Z.; Ruiz, H.S.; Wang, W.; Jin, Z.; Coombs, T.A. HTS motor performance evaluation by different pulsed field magnetization strategies. IEEE Trans. Appl. Supercond. 2017, 27, 1–5. [Google Scholar] [CrossRef]
- Huang, Z.; Ruiz, H.S.; Zhai, Y.; Geng, J.; Shen, B.; Coombs, T.A. Study of the pulsed field magnetization strategy for the superconducting rotor. IEEE Trans. Appl. Supercond. 2016, 26, 1–5. [Google Scholar] [CrossRef]
- Baghdadi, M.; Ruiz, H.S.; Fagnard, J.F.; Zhang, M.; Wang, W.; Coombs, T.A. Investigation of demagnetization in HTS stacked tapes implemented in electric machines as a result of crossed magnetic field. IEEE Trans. Appl. Supercond. 2015, 25, 1–4. [Google Scholar] [CrossRef]
- Uglietti, D.; Choi, S.; Kiyoshi, T. Design and fabrication of layer-wound YBCO solenoids. Phys. C Supercond. Appl. 2010, 470, 1749–1751. [Google Scholar] [CrossRef]
- Zhu, J.; Chen, P.; Qiu, M.; Liu, C.; Liu, J.; Zhang, H.; Zhang, H.; Ding, K. Experimental investigation of a high temperature superconducting pancake consisted of the REBCO composite cable for superconducting magnetic energy storage system. IEEE Trans. Appl. Supercond. 2019, 29, 1–4. [Google Scholar] [CrossRef]
- Pan, A.V.; MacDonald, L.; Baiej, H.; Cooper, P. Theoretical consideration of superconducting coils for compact superconducting magnetic energy storage systems. IEEE Trans. Appl. Supercond. 2016, 26, 1–5. [Google Scholar] [CrossRef]
- Messina, G.; Morici, L.; Celentano, G.; Marchetti, M.; Corte, A.D. REBCO coils system for axial flux electrical machines application: Manufacturing and testing. IEEE Trans. Appl. Supercond. 2016, 26, 5205904. [Google Scholar] [CrossRef]
- Baghdadi, M.; Ruiz, H.S.; Coombs, T.A. Nature of the low magnetization decay on stacks of second generation superconducting tapes under crossed and rotating magnetic field experiments. Sci. Rep. 2018, 8, 1342. [Google Scholar] [CrossRef]
- Baghdadi, M.; Ruiz, H.S.; Coombs, T.A. Crossed-magnetic-field experiments on stacked second generation superconducting tapes: Reduction of the demagnetization effects. Appl. Phys. Lett. 2014, 104, 232602. [Google Scholar] [CrossRef]
- Moser, E.; Laistler, E.; Schmitt, F.; Kontaxis, G. Ultra-high field NMR and MRI-The role of magnet technology to increase sensitivity and specificity. Front. Phys. 2017, 5, 33. [Google Scholar] [CrossRef]
- Noguchi, S.; Cingoski, V. Simulation of screening current reduction effect in REBCO coils by e+xternal AC magnetic field. IEEE Trans. Appl. Supercond. 2017, 27, 1–5. [Google Scholar] [CrossRef]
- Zhang, X.; Zhong, Z.; Ruiz, H.S.; Geng, J.; Coombs, T.A. General approach for the determination of the magneto-angular dependence of the critical current of YBCO coated conductors. Supercond. Sci. Technol. 2017, 30, 025010. [Google Scholar] [CrossRef]
- Zhang, X.; Zhong, Z.; Geng, J.; Shen, B.; Ma, J.; Li, C.; Zhang, H.; Dong, Q.; Coombs, T.A. Study of critical current and n-values of 2G HTS tapes: Their magnetic field-angular dependence. J. Supercond. Novel Magn. 2018, 31, 3847–3854. [Google Scholar] [CrossRef]
- Wimbush, S.C.; Strickland, N.M. A public database of high-temperature superconductor critical current data. IEEE Trans. Appl. Supercond. 2017, 27, 1–5. [Google Scholar] [CrossRef]
- Badía-Majós, A.; López, C. Modelling current voltage characteristics of practical superconductors. Supercond. Sci. Technol. 2015, 28, 024003. [Google Scholar] [CrossRef]
- Sirois, F.; Grilli, F. Potential and limits of numerical modelling for supporting the development of HTS devices. Supercond. Sci. Technol. 2015, 28, 043002. [Google Scholar] [CrossRef]
- Higashikawa, K.; Nakamura, T.; Hoshino, T. Anisotropic distributions of current density and electric field in Bi-2223/Ag coil with consideration of multifilamentary structure. Phys. C Supercond. Appl. 2005, 419, 129–140. [Google Scholar] [CrossRef]
- Polak, M.; Demencik, E.; Jansak, L.; Mozola, P.; Aized, D.; Thieme, C.L.H.; Levin, G.A.; Barnes, P.N. AC losses in a YBa2Cu3O7-x coil. Appl. Phys. Lett. 2006, 88, 232501. [Google Scholar] [CrossRef]
- Robert, B.C.; Fareed, M.U.; Ruiz, H.S. Local electromagnetic properties and hysteresis losses in uniformly and non-uniformly wound 2G-HTS racetrack coils. arXiv 2019, arXiv:1907.09893. [Google Scholar]
- Quéval, L.; Zermeño, V.M.R.; Grilli, F. Numerical models for ac loss calculation in large-scale applications of HTS coated conductors. Supercond. Sci. Technol. 2016, 29, 024007. [Google Scholar] [CrossRef]
- Zhang, H.; Zhang, M.; Yuan, W. An efficient 3D finite element method model based on the T-A formulation for superconducting coated conductors. Supercond. Sci. Technol. 2017, 30, 024005. [Google Scholar] [CrossRef]
- Liang, F.; Venuturumilli, S.; Zhang, H.; Zhang, M.; Kvitkovic, J.; Pamidi, S.; Wang, Y.; Yuan, W. A finite element model for simulating second generation high temperature superconducting coils/stacks with large number of turns. J. Appl. Phys. 2017, 122, 043903. [Google Scholar] [CrossRef]
- Martins, F.G.R.; Sass, F.; Barusco, P.; Ferreira, A.C.; de Andrade, R. Using the integral equations method to model a 2G racetrack coil with anisotropic critical current dependence. Supercond. Sci. Technol. 2017, 30, 115009. [Google Scholar] [CrossRef]
- Pardo, E. Calculation of AC loss in coated conductor coils with a large number of turns. Supercond. Sci. Technol. 2013, 26, 105017. [Google Scholar] [CrossRef]
- Zermeno, V.M.R.; Abrahamsen, A.B.; Mijatovic, N.; Jensen, B.B.; Sørensen, M.P. Calculation of alternating current losses in stacks and coils made of second generation high temperature superconducting tapes for large scale applications. J. Appl. Phys. 2013, 114, 173901. [Google Scholar] [CrossRef]
- Prigozhin, L.; Sokolovsky, V. Computing AC losses in stacks of high-temperature superconducting tapes. Supercond. Sci. Technol. 2011, 24, 075012. [Google Scholar] [CrossRef]
- Brambilla, R.; Grilli, F.; Nguyen, D.N.; Martini, L.; Sirois, F. AC losses in thin superconductors: The integral equation method applied to stacks and windings. Supercond. Sci. Technol. 2009, 22, 075018. [Google Scholar] [CrossRef]
- Clem, J.R.; Claassen, J.H.; Mawatari, Y. AC losses in a finite Z stack using an anisotropic homogeneous-medium approximation. Supercond. Sci. Technol. 2007, 20, 1130. [Google Scholar] [CrossRef]
- Ichiki, Y.; Ohsaki, H. Numerical analysis of AC loss characteristics of YBCO coated conductors arranged in parallel. IEEE Trans. Appl. Supercond. 2005, 15, 2851–2854. [Google Scholar] [CrossRef]
- Blatter, G.; Feigel’man, M.V.; Geshkenbein, V.B.; Larkin, A.I.; Vinokur, V.M. Vortices in high-temperature superconductors. Rev. Mod. Phys. 1994, 66, 1125–1388. [Google Scholar] [CrossRef]
- Badía-Majós, A.; López, C.; Ruiz, H.S. General critical states in type-II superconductors. Phys. Rev. B 2009, 80, 144509. [Google Scholar] [CrossRef]
- Kim, Y.B.; Hempstead, C.F.; Strnad, A.R. Critical persistent currents in hard superconductors. Phys. Rev. Lett. 1962, 9, 306–309. [Google Scholar] [CrossRef]
- Kim, Y.B.; Hempstead, C.F.; Strnad, A.R. Resistive states of hard superconductors. Rev. Mod. Phys. 1964, 36, 43–45. [Google Scholar] [CrossRef]
- SuperPower ®2G HTS Wire. Available online: http://www.superpower-inc.com/content/2g-hts-wire (accessed on 14 September 2017).
- Brambilla, R.; Grilli, F.; Martini, L. Development of an edge-element model for AC loss computation of high-temperature superconductors. Supercond. Sci. Technol. 2007, 20, 16. [Google Scholar] [CrossRef]
- Song, H.; Brownsey, P.; Zhang, Y.; Waterman, J.; Fukushima, T.; Hazelton, D. 2G HTS coil technology development at SuperPower. IEEE Trans. Appl. Supercond. 2013, 23, 4600806. [Google Scholar] [CrossRef]
- Bean, C.P. Magnetization of hard superconductors. Phys. Rev. Lett. 1962, 8, 250–253. [Google Scholar] [CrossRef]
- Bean, C.P. Magnetization of high-field superconductors. Rev. Mod. Phys. 1964, 36, 31–39. [Google Scholar] [CrossRef]
- Thakur, K.P.; Raj, A.; Brandt, E.H.; Kvitkovic, J.; Pamidi, S.V. Frequency-dependent critical current and transport ac loss of superconductor strip and Roebel cable. Supercond. Sci. Technol. 2011, 24, 065024. [Google Scholar] [CrossRef]
- Anderson, P.W. Theory of flux creep in hard superconductors. Phys. Rev. Lett. 1962, 9, 309–311. [Google Scholar] [CrossRef]
- American Superconductor. AMSC Amperium ®HTS Wire. Available online: www.amsc.com/solutions-products/htswire.html (accessed on 4 November 2017).
- Shangai Superconductor Technology Co. Ltd. 2G HTS Strip. Available online: www.amsc.com/solutions-products/htswire.html (accessed on 4 November 2017).
- SuperOx 2G HTS Wire. Available online: http://www.superox.ru/en/products/ (accessed on 4 November 2017).
- Ruiz, H.S.; Badía-Majós, A. Smooth double critical state theory for type-II superconductors. Supercond. Sci. Technol. 2010, 23, 105007. [Google Scholar] [CrossRef]
- Baziljevich, M.; Johansen, T.H.; Bratsberg, H.; Shen, Y.; Vase, P. Magneto-optic observation of anomalous Meissner current flow in superconducting thin films with slits. Appl. Phys. Lett. 1996, 69, 3590–3592. [Google Scholar] [CrossRef]
- Jooss, C.; Guth, K.; Born, V.; Albrecht, J. Electric field distribution at low-angle grain boundaries in high-temperature superconductors. Phys. Rev. B 2001, 65, 014505. [Google Scholar] [CrossRef]
- Jooss, C.; Albrecht, J.; Kuhn, H.; Leonhardt, S.; Kronmüller, H. Magneto-optical studies of current distributions in high-Tc superconductors. Rep. Prog. Phys. 2002, 65, 651–788. [Google Scholar] [CrossRef]
- Wells, F.S.; Pan, A.V.; Golovchanskiy, I.A.; Fedoseev, S.A.; Rozenfeld, A. Observation of transient overcritical currents in YBCO thin films using high-speed magneto-optical imaging and dynamic current mapping. Sci. Rep. 2017, 7, 40235. [Google Scholar] [CrossRef] [PubMed]
- Ruiz, H.S.; Badía-Majós, A.; López, C. Material laws and related uncommon phenomena in the electromagnetic response of type-II superconductors in longitudinal geometry. Supercond. Sci. Technol. 2011, 24, 115005. [Google Scholar] [CrossRef]
- Ruiz, H.S.; López, C.; Badía-Majós, A. Inversion mechanism for the transport current in type-II superconductors. Phys. Rev. B 2011, 83, 014506. [Google Scholar] [CrossRef]
- Ruiz, H.S.; Badía-Majós, A.; Genenko, Y.A.; Rauh, H.; Yampolskii, S.V. Superconducting wire subject to synchronous oscillating excitations: Power dissipation, magnetic response, and low-pass filtering. Appl. Phys. Lett. 2012, 100, 112602. [Google Scholar] [CrossRef]
- Ruiz, H.S.; Badía-Majós, A. Exotic magnetic response of superconducting wires subject to synchronous and asynchronous oscillating excitations. J. Appl. Phys. 2013, 113, 193906. [Google Scholar] [CrossRef]






| Model | Legend | Simplified Description | Material Law | Microstructure Parameters |
|---|---|---|---|---|
| Critical-State (CS)-Like model [23,39] | A/m [42] | |||
| Kim’s Model [40] | mT [22,42] | |||
| Kim-Like model [47] | mT [33,42,47] | |||
| Magneto-Angular Anisotropy Model [20] | mT, , [20,22,42] |
© 2019 by the authors. Licensee MDPI, Basel, Switzerland. This article is an open access article distributed under the terms and conditions of the Creative Commons Attribution (CC BY) license (http://creativecommons.org/licenses/by/4.0/).
Share and Cite
Robert, B.C.; Fareed, M.U.; Ruiz, H.S. How to Choose the Superconducting Material Law for the Modelling of 2G-HTS Coils. Materials 2019, 12, 2679. https://doi.org/10.3390/ma12172679
Robert BC, Fareed MU, Ruiz HS. How to Choose the Superconducting Material Law for the Modelling of 2G-HTS Coils. Materials. 2019; 12(17):2679. https://doi.org/10.3390/ma12172679
Chicago/Turabian StyleRobert, Bright Chimezie, Muhammad Umar Fareed, and Harold Steven Ruiz. 2019. "How to Choose the Superconducting Material Law for the Modelling of 2G-HTS Coils" Materials 12, no. 17: 2679. https://doi.org/10.3390/ma12172679
APA StyleRobert, B. C., Fareed, M. U., & Ruiz, H. S. (2019). How to Choose the Superconducting Material Law for the Modelling of 2G-HTS Coils. Materials, 12(17), 2679. https://doi.org/10.3390/ma12172679

