Dimensional Control in Polyoxometalate Crystals Hybridized with Amphiphilic Polymerizable Ionic Liquids
Abstract
:1. Introduction
2. Materials and Methods
2.1. Materials and General Methods
2.2. Syntheses of Polyoxometalate Hybrids with Polymerizable Ionic Liquids
2.2.1. Synthesis of MAIm–Mo8
2.2.2. Synthesis of MAImC8–Mo8
2.2.3. Synthesis of MAIm–SiW12
2.2.4. Synthesis of MAImC8–SiW12
2.3. X-ray Crystallography
3. Results
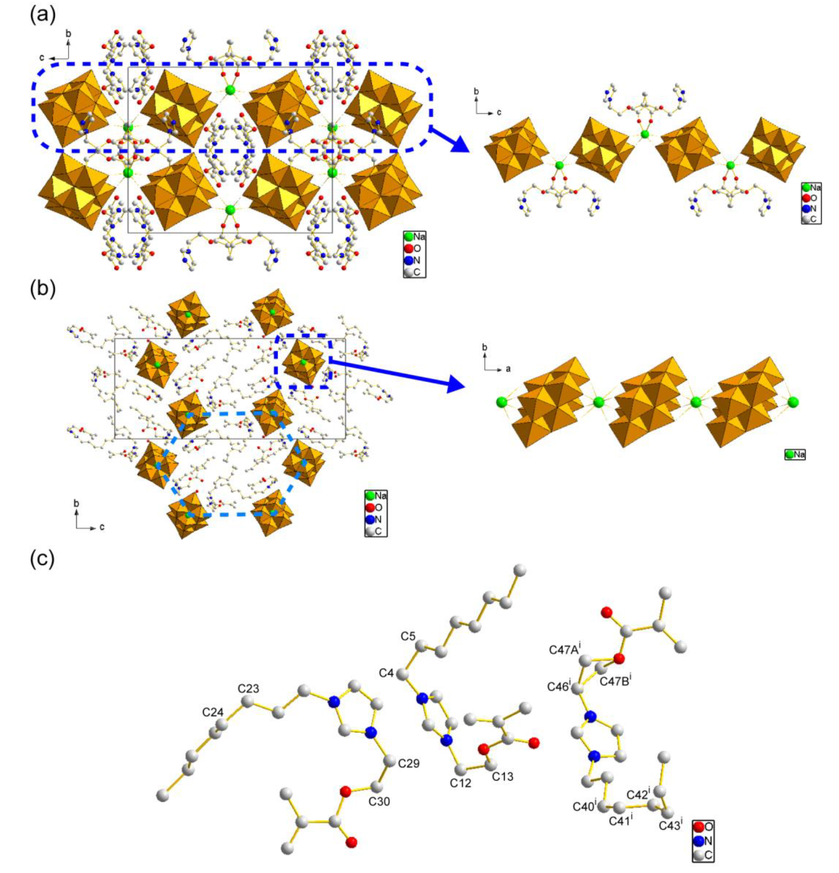
3.1. Mo8 hybrids with Polymerizable Ionic Liquids
3.2. SiW12 Hybrids with Polymerizable Ionic Liquids
4. Discussion
5. Patents
Supplementary Materials
Author Contributions
Funding
Acknowledgments
Conflicts of Interest
References
- Armand, M.; Endres, F.; MacFarlane, D.R.; Ohno, H.; Scrosati, B. Ionic liquid materials for the electrochemical challenges of the future. Nat. Mater. 2009, 8, 621–629. [Google Scholar] [CrossRef] [PubMed]
- Kato, T.; Uchida, J.; Ichikawa, T.; Sakamoto, T. Functional liquid crystals towards the next generation of materials. Angew. Chem. Int. Ed. 2018, 57, 4355–4371. [Google Scholar] [CrossRef] [PubMed]
- Welton, T. Room-temperature ionic liquids. Solvents for synthesis and catalysis. Chem. Rev. 1999, 99, 2071–2083. [Google Scholar] [CrossRef] [PubMed]
- Wasserscheid, P.; Keim, W. Ionic liquids-new “solutions” for transition metal catalysis. Angew. Chem. Int. Ed. 2000, 39, 3772–3789. [Google Scholar] [CrossRef]
- Mudring, A.-V.; Tang, S. Ionic liquids for lanthanide and actinide chemistry. Eur. J. Inorg. Chem. 2010, 2010, 2569–2581. [Google Scholar] [CrossRef]
- Nishimura, N.; Ohno, H. 15th anniversary of polymerised ionic liquids. Polymer 2014, 55, 3289–3297. [Google Scholar] [CrossRef]
- Watanabe, M.; Thomas, M.L.; Zhang, S.; Ueno, K.; Yasuda, T.; Dokko, K. Application of ionic liquids to energy storage and conversion materials and devices. Chem. Rev. 2017, 117, 7190–7239. [Google Scholar] [CrossRef]
- Çelik, S.Ü.; Bozkurt, A.; Hosseini, S.S. Alternatives toward proton conductive anhydrous membranes for fuel cells: Heterocyclic protogenic solvents comprising polymer electrolytes. Prog. Polym. Sci. 2012, 37, 1265–1291. [Google Scholar] [CrossRef]
- Kato, T.; Mizoshita, N.; Kishimoto, K. Functional liquid-crystalline assemblies: Self-organized soft materials. Angew. Chem. Int. Ed. 2006, 45, 38–68. [Google Scholar] [CrossRef]
- Qian, W.; Texter, J.; Yan, F. Frontiers in poly(ionic liquid)s: Syntheses and applications. Chem. Soc. Rev. 2017, 46, 1124–1159. [Google Scholar] [CrossRef]
- Nagase, Y.; Suleimenova, B.; Umeda, C.; Taira, K.; Oda, T.; Suzuki, S.; Okamura, Y.; Koguchi, S. Syntheses of aromatic polymers containing imidazolium moiety and the surface modification of a highly gas permeable membrane using the nanosheets. Polymer 2018, 135, 142–153. [Google Scholar] [CrossRef]
- Coronado, E.; Gómez-García, C.J. Polyoxometalate-based molecular materials. Chem. Rev. 1998, 98, 273–296. [Google Scholar] [CrossRef] [PubMed]
- Coronado, E.; Giménez-Saiz, C.; Gómez-García, C.J. Recent advances in polyoxometalate-containing molecular conductors. Coord. Chem. Rev. 2005, 249, 1776–1796. [Google Scholar] [CrossRef]
- Long, D.-L.; Burkholder, E.; Cronin, L. Polyoxometalate clusters, nanostructures and materials: From self assembly to designer materials and devices. Chem. Soc. Rev. 2007, 36, 105–121. [Google Scholar] [CrossRef] [PubMed]
- Nyman, M. Polyoxoniobate chemistry in the 21st century. Dalton Trans. 2011, 40, 8049–8058. [Google Scholar] [CrossRef]
- Proust, A.; Matt, B.; Villanneau, R.; Guillemot, G.; Gouzerh, P.; Izzet, G. Functionalization and post-functionalization: A step towards polyoxometalate-based materials. Chem. Soc. Rev. 2012, 41, 7605–7622. [Google Scholar] [CrossRef] [PubMed]
- Okuhara, T.; Mizuno, N.; Misono, M. Catalytic chemistry of heteropoly compounds. Adv. Catal. 1996, 41, 113–252. [Google Scholar]
- Yamase, T. Photo- and electrochromism of polyoxometalates and related materials. Chem. Rev. 1998, 98, 307–325. [Google Scholar] [CrossRef] [PubMed]
- Sadakane, M.; Steckhan, E. Electrochemical properties of polyoxometalates as electrocatalysts. Chem. Rev. 1998, 98, 219–237. [Google Scholar] [CrossRef] [PubMed]
- Qi, W.; Wu, L. Polyoxometalate/polymer hybrid materials: Fabrication and properties. Polym. Int. 2009, 58, 1217–1225. [Google Scholar] [CrossRef]
- Honma, I.; Yamada, M. Bio-inspired membranes for advanced polymer electrolyte fuel cells. Anhydrous proton-conducting membrane via molecular self-assembly. Bull. Chem. Soc. Jpn. 2007, 80, 2110–2123. [Google Scholar] [CrossRef]
- Oh, S.-Y.; Yoshida, T.; Kawamura, G.; Muto, H.; Sakai, M.; Matsuda, A. Inorganic-organic composite electrolytes consisting of polybenzimidazole and Cs-substituted heteropoly acids and their application for medium temperature fuel cells. J. Mater. Chem. 2010, 20, 6359–6366. [Google Scholar] [CrossRef]
- Wu, X.; Tong, X.; Wu, Q.; Ding, H.; Yan, W. Reversible phase transformation-type electrolyte based on layered shape polyoxometalate. J. Mater. Chem. A 2014, 2, 5780–5784. [Google Scholar] [CrossRef]
- Bourlinos, A.B.; Raman, K.; Herrera, R.; Zhang, Q.; Archer, L.A.; Giannelis, E.P. A liquid derivative of 12-tungstophosphoric acid with unusually high conductivity. J. Am. Chem. Soc. 2004, 126, 15358–15359. [Google Scholar] [CrossRef]
- Leng, Y.; Wang, J.; Zhu, D.; Ren, X.; Ge, H.; Shen, L. Heteropolyanion-based ionic liquids: Reaction-induced self-separation catalysts for esterification. Angew. Chem. Int. Ed. 2009, 48, 168–171. [Google Scholar] [CrossRef] [PubMed]
- Rafiee, E.; Eavani, S. Polyoxometalate-based acid salts with tunable separation properties as recyclable Brönsted acid catalysts for the synthesis of β-keto enol ethers. Catal. Commun. 2012, 25, 64–68. [Google Scholar] [CrossRef]
- Chen, X.; Souvanhthong, B.; Wang, H.; Zheng, H.; Wang, X.; Huo, M. Polyoxometalate-based ionic liquid as thermoregulated and environmentally friendly catalyst for starch oxidation. Appl. Catal. B 2013, 138–139, 161–166. [Google Scholar] [CrossRef]
- Rickert, P.G.; Antonio, M.R.; Firestone, M.A.; Kubatko, K.-A.; Szreder, T.; James, F.; Wishart, J.F.; Dietz, M.L. Tetraalkylphosphonium polyoxometalate ionic liquids: Novel, organic-inorganic hybrid materials. J. Phys. Chem. B 2007, 111, 4685–4692. [Google Scholar] [CrossRef]
- Kanatzidis, M.G. Discovery-Synthesis, Design, and prediction of chalcogenide phases. Inorg. Chem. 2017, 56, 3158–3173. [Google Scholar] [CrossRef]
- Huo, Q.; Margolese, D.I.; Ciesla, U.; Demuth, D.G.; Feng, P.; Gier, T.E.; Sieger, P.; Firouzi, A.; Chmelka, B.F.; Schüth, F.; et al. Organization of organic molecules with inorganic molecular species into nanocomposite biphase arrays. Chem. Mater. 1994, 6, 1176–1191. [Google Scholar] [CrossRef]
- Kanatzidis, M.G. Beyond silica: Nonoxidic mesostructured materials. Adv. Mater. 2007, 19, 1165–1181. [Google Scholar] [CrossRef]
- Yamauchi, Y.; Kuroda, K. Rational design of mesoporous metals and related nanomaterials by a soft-template approach. Chem. Asian J. 2008, 3, 664–676. [Google Scholar] [CrossRef] [PubMed]
- Song, Y.-F.; Long, D.-L.; Ritchie, C.; Cronin, L. Nanoscale polyoxometalate-based inorganic/organic hybrids. Chem. Rec. 2011, 11, 158–171. [Google Scholar] [CrossRef] [PubMed]
- Yin, P.; Li, D.; Liu, T. Solution behaviors and self-assembly of polyoxometalates as models of macroions and amphiphilic polyoxometalate-organic hybrids as novel surfactants. Chem. Soc. Rev. 2012, 41, 7368–7383. [Google Scholar] [CrossRef] [PubMed]
- Polarz, S.; Landsmann, S.; Klaiber, A. Hybrid surfactant systems with inorganic constituents. Angew. Chem. Int. Ed. 2014, 53, 946–954. [Google Scholar] [CrossRef] [PubMed]
- Nisar, A.; Wang, X. Surfactant-encapsulated polyoxometalate building blocks: Controlled assembly and their catalytic properties. Dalton Trans. 2012, 41, 9832–9845. [Google Scholar] [CrossRef] [PubMed]
- Ito, T. Inorganic–organic hybrid surfactant crystals: Structural aspects and functions. Crystals 2016, 6, 24. [Google Scholar] [CrossRef]
- Kobayashi, J.; Kawahara, R.; Uchida, S.; Koguchi, S.; Ito, T. Conductive Hybrid Crystal Composed from Polyoxomolybdate and Deprotonatable Ionic liquid Surfactant. Int. J. Mol. Sci. 2016, 17, 994. [Google Scholar] [CrossRef]
- Misawa, T.; Koguchi, S.; Niwa, K.; Kinoshita, Y.; Uchida, S.; Ito, T. Conductive hybrid crystal composed of polyoxovanadate and deprotonatable ionic liquid surfactant. Inorg. Chem. Commun. 2018, 96, 24–29. [Google Scholar] [CrossRef]
- Jiang, Y.; Liu, S.; Li, S.; Miao, J.; Zhang, J.; Wu, L. Anisotropic ionic liquids built from nonmesogenic cation surfactants and Keggin-type polyoxoanions. Chem. Commun. 2011, 47, 10287–10289. [Google Scholar] [CrossRef]
- Wang, K.; Zhuang, R. Ionic liquids of imidazolium salts comprising hexamolybdate cluster: Crystal structures and characterization. Inorg. Chim. Acta 2017, 461, 1–7. [Google Scholar] [CrossRef]
- Kobayashi, J.; Misawa, T.; Umeda, C.; Isono, T.; Ono, S.; Naruke, H.; Okamura, Y.; Koguchi, S.; Higuchi, M.; Nagase, Y.; et al. Controlled introduction of metal cations into polymerizable ionic liquid-polyoxomolybdate hybrid crystals. CrystEngComm 2019, 21, 629–636. [Google Scholar] [CrossRef]
- Ito, T.; Otobe, S.; Oda, T.; Kojima, T.; Ono, S.; Watanabe, M.; Kiyota, Y.; Misawa, T.; Koguchi, S.; Higuchi, M.; et al. Polymerizable ionic liquid crystals comprising polyoxometalate clusters toward inorganic-organic hybrid solid electrolytes. Polymers 2017, 9, 290. [Google Scholar] [CrossRef] [PubMed]
- Ito, T.; Kiyota, Y.; Oda, T.; Watanabe, M.; Ono, S.; Oda, Y.; Misawa, T.; Isono, T.; Otobe, S.; Okamura, Y.; et al. Highly conductive polymer electrolytes constructed from polymerizable ionic liquid and inorganic cluster. Trans. Mater. Res. Soc. Jpn. 2019, 44, 101–107. [Google Scholar] [CrossRef]
- Otwinowski, Z.; Minor, W. Processing of X-ray diffraction data collected in oscillation mode. Methods Enzymol. 1997, 276, 307–326. [Google Scholar] [PubMed]
- CrysAlisPro ver. 1.171.39.46; Rigaku Corporation: Oxford, UK, 2016.
- Sheldrick, G.M. SHELXT—Integrated space-group and crystal structure determination. Acta Crystallogr. Sect. A 2015, 71, 3–8. [Google Scholar] [CrossRef] [PubMed]
- Sheldrick, G.M. A short history of SHELX. Acta Crystallogr. Sect. A 2008, 64, 112–122. [Google Scholar] [CrossRef] [PubMed]
- CrystalStructure 4.3; Rigaku Corporation: Tokyo, Japan, 2019.
- Klemperer, W.G.; Shum, W. Synthesis and interconversion of the isomeric α- and β-Mo8O264− ions. J. Am. Chem. Soc. 1976, 98, 8291–8293. [Google Scholar] [CrossRef]
- Himeno, S.; Niiya, H.; Ueda, T. Raman studies on the identification of isopolymolybdates in aqueous solution. Bull. Chem. Soc. Jpn. 1997, 70, 631–637. [Google Scholar] [CrossRef]
- Cruywagen, J.J. Protonation, oligomerization, and condensation reactions of vanadate(V), molybdate(VI), and tungstate(VI). Adv. Inorg. Chem. 1999, 49, 127–182. [Google Scholar]
- Ito, T.; Mikurube, K.; Abe, Y.; Koroki, T.; Saito, M.; Iijima, J.; Naruke, H.; Ozeki, T. Hybrid inorganic-organic crystals composed of octamolybdate isomers and pyridinium surfactant. Chem. Lett. 2010, 39, 1323–1325. [Google Scholar] [CrossRef]
- Mikurube, K.; Hasegawa, K.; Matsumoto, T.; Kobayashi, J.; Naruke, H.; Ito, T. Isomerization-induced introduction of metal cations into polyoxomolybdate-surfactant hybrid crystals. Inorg. Chem. Commun. 2016, 73, 45–48. [Google Scholar] [CrossRef]
- Rocchiccioli-Deltcheff, C.; Fournier, M.; Franck, R.; Thouvenot, R. Vibrational investigations of polyoxometalates. 2. Evidence for anion-anion interactions in molybdenum(v1) and tungsten(v1) compounds related to the Keggin structure. Inorg. Chem. 1983, 22, 207–216. [Google Scholar] [CrossRef]
- Otobe, S.; Kiyota, Y.; Magira, S.; Misawa, T.; Fujio, K.; Naruke, H.; Uchida, S.; Ito, T. Conductive inorganic–organic hybrid layered crystals composed of Keggin-type polyoxotungstates and a heterocyclic surfactant. Eur. J. Inorg. Chem. 2019, 2019, 442–447. [Google Scholar] [CrossRef]
- Nyman, M.; Ingersoll, D.; Singh, S.; Bonhomme, F.; Alam, T.M.; Brinker, C.J.; Rodriguez, M.A. Comparative study of inorganic cluster-surfactant arrays. Chem. Mater. 2005, 17, 2885–2895. [Google Scholar] [CrossRef]
- Nyman, M.; Rodriguez, M.A.; Anderson, T.M.; Ingersoll, D. Two structures toward understanding evolution from surfactant-polyoxometalate lamellae to surfactant-encapsulated polyoxometalates. Cryst. Growth Des. 2009, 9, 3590–3597. [Google Scholar] [CrossRef]
- Bridgeman, A.J.; Cavigliasso, G. Electronic structure of the α and β isomers of [Mo8O26]4−. Inorg. Chem. 2002, 41, 3500–3507. [Google Scholar] [CrossRef] [PubMed]
- Bridgeman, A.J.; Cavigliasso, G. A comparative investigation of structure and bonding in Mo and W [TeM6O24]6− and [PM12O40]3− heteropolyanions. J. Phys. Chem. A 2003, 107, 6613–6621. [Google Scholar] [CrossRef]







| Compound | 1 | 2 | 3 | 4 |
|---|---|---|---|---|
| Chemical formula | C27H39N6NaMo8O32 | C51H87N6NaMo8O33 | C40H60N8SiW12O50 | C72H107N8SiW12O51 |
| Formula weight | 1750.14 | 2102.78 | 3687.22 | 4134.95 |
| Crystal system | monoclinic | orthorhombic | monoclinic | monoclinic |
| Space group | I2/a (No. 15) | P212121 (No. 19) | P21/n (No. 14) | P21/c (No. 14) |
| a (Å) | 13.6080(3) | 9.33330(10) | 14.8460(3) | 20.7451(16) |
| b (Å) | 17.6620(4) | 18.6205(2) | 12.6020(3) | 21.2737(6) |
| c (Å) | 21.8453(5) | 42.7175(5) | 19.6940(5) | 25.5199(8) |
| α (°) | 90.0000 | 90.0000 | 90.0000 | 90.0000 |
| β (°) | 95.0422(14) | 90.0000 | 98.6520(10) | 103.067(5) |
| γ (°) | 90.0000 | 90.0000 | 90.0000 | 90.0000 |
| V (Å3) | 5230.1(2) | 7423.90(14) | 3642.61(15) | 10970.9(10) |
| Z | 4 | 4 | 2 | 4 |
| ρcalcd (g cm−3) | 2.222 | 1.881 | 3.361 | 2.503 |
| T (K) | 100 | 100 | 100 | 100 |
| Wavelength (Å) | 0.80000 | 0.63000 | 0.60000 | 0.71075 |
| μ (mm−1) | 2.725 | 0.976 | 12.044 | 12.638 |
| No. of reflections measured | 35127 | 102284 | 94446 | 106869 |
| No. of independent reflections | 5143 | 15761 | 14513 | 24752 |
| Rint | 0.0600 | 0.0800 | 0.0870 | 0.1418 |
| No. of parameters | 394 | 883 | 507 | 644 |
| R1 (I > 2σ(I)) | 0.0553 | 0.0564 | 0.0721 | 0.0777 |
| wR2 (all data) | 0.1680 | 0.1576 | 0.2046 | 0.2256 |
© 2019 by the authors. Licensee MDPI, Basel, Switzerland. This article is an open access article distributed under the terms and conditions of the Creative Commons Attribution (CC BY) license (http://creativecommons.org/licenses/by/4.0/).
Share and Cite
Misawa, T.; Kobayashi, J.; Kiyota, Y.; Watanabe, M.; Ono, S.; Okamura, Y.; Koguchi, S.; Higuchi, M.; Nagase, Y.; Ito, T. Dimensional Control in Polyoxometalate Crystals Hybridized with Amphiphilic Polymerizable Ionic Liquids. Materials 2019, 12, 2283. https://doi.org/10.3390/ma12142283
Misawa T, Kobayashi J, Kiyota Y, Watanabe M, Ono S, Okamura Y, Koguchi S, Higuchi M, Nagase Y, Ito T. Dimensional Control in Polyoxometalate Crystals Hybridized with Amphiphilic Polymerizable Ionic Liquids. Materials. 2019; 12(14):2283. https://doi.org/10.3390/ma12142283
Chicago/Turabian StyleMisawa, Toshiyuki, Jun Kobayashi, Yoshiki Kiyota, Masayuki Watanabe, Seiji Ono, Yosuke Okamura, Shinichi Koguchi, Masashi Higuchi, Yu Nagase, and Takeru Ito. 2019. "Dimensional Control in Polyoxometalate Crystals Hybridized with Amphiphilic Polymerizable Ionic Liquids" Materials 12, no. 14: 2283. https://doi.org/10.3390/ma12142283
APA StyleMisawa, T., Kobayashi, J., Kiyota, Y., Watanabe, M., Ono, S., Okamura, Y., Koguchi, S., Higuchi, M., Nagase, Y., & Ito, T. (2019). Dimensional Control in Polyoxometalate Crystals Hybridized with Amphiphilic Polymerizable Ionic Liquids. Materials, 12(14), 2283. https://doi.org/10.3390/ma12142283

