Effect of Polymer Blends on the Properties of Foamed Wood-Polymer Composites
Abstract
1. Introduction
2. Experimental
2.1. Materials
2.2. Composites Preparation
2.3. Extrusion Foaming
2.4. Characterization
2.4.1. Thermal Analysis
2.4.2. Rheological Property Testing
2.4.3. Morphological Analysis
2.4.4. Mechanical Property Testing
2.4.5. Density Measurements
2.4.6. Vicat Softening Point Testing
3. Results and Discussions
3.1. Thermal Property
3.2. Rheological Property
3.3. Cell Morphology
3.4. Mechanical Properties
3.5. Apparent Density and Vicat Softening Temperature
4. Conclusions
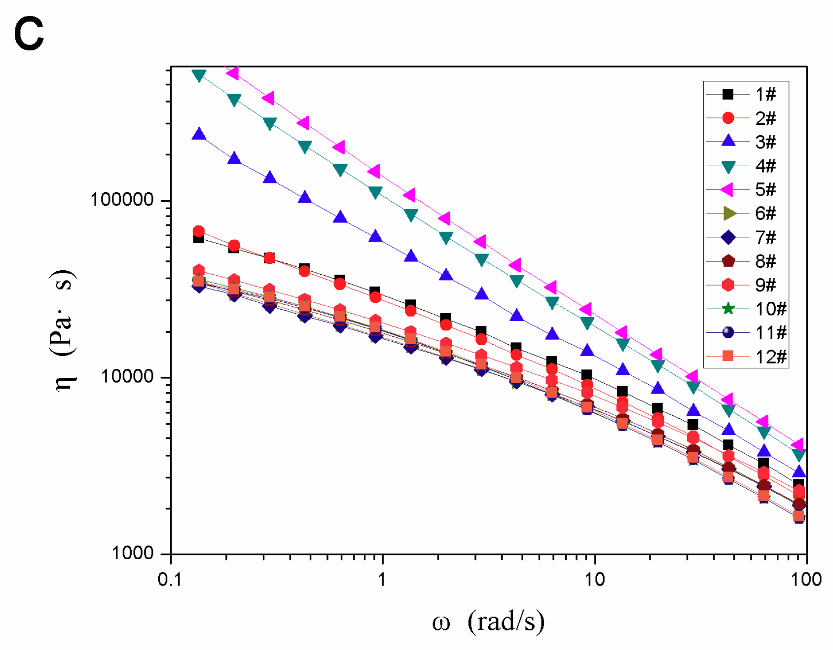
- The addition of HDPE and POE resulted in the two well-separated melting peaks in the DSC curves. But only POE could significantly increase both the oscillating shear modulus and the complex viscosity of the composites.
- Compared with HDPE and microcrystalline wax, the sample with the introduction of POE could achieve the minimum cell size 78 μm and the maximum cell density 2.3 × 104 cells/cm3, which caused a significant decrease of 58% in the cell size and a great increase of 170% in the cell population density. But the velocity difference of composites flowing in the sheet die made the shape of bubbles irregular. The bubbles on the radial section were stretched into the shape similar with the convex lens. Besides, the bubbles gradually became crescent-shaped along the extrusion direction.
- Compared with the tensile and flexural property, the impact strength of the samples was significantly improved with the addition of POE. And the impact strength of sample blended with POE at the ratio of 6/4 increased by 84% compared with the sample without blending. Besides, the addition of microcrystalline wax contributed to the minimum apparent density of sample with the decline of 9%. Meanwhile, among the three polymer blends, the addition of HDPE contributed to the minimum Vicat softening temperature 133.7 °C at the blending ratio of 6/4.
Author Contributions
Funding
Conflicts of Interest
Nomenclature
| PP | Polypropylene | Heat of fusion generated by the cold crystallization | |
| WF | Wood flour | Theoretical heat of fusion of 100% crystalline PP | |
| POE | Polyolefin elastomer | ω | Weight fraction of PP in the sample |
| HDPE | High-density polyethylene | G′ | Shear storage modulus |
| DSC | Differential Scanning Calorimeter | G″ | Loss modulus |
| PVC | Polyvinyl chloride | η | Complex viscosity |
| PS | Polystyrene | Number average diameter of all cells in one micrograph | |
| PBT | Polybutylene terephthalate | di | Diameter of a single cell |
| PTFE | Polytetrafluoroethylene | n | Number of counted cells |
| MAH-g-PP | Maleic anhydride-g-PP | N0 | Number of cells per unit volume of the polymer |
| AC | Azodicarbonamide | A | Area of an SEM graph |
| WPC | Wood-polymer composites | M | Magnification factor |
| Tm | Melting temperature | Density of the unfoamed sample | |
| Tc | Crystallization temperature | Density of the foamed sample | |
| Xc | Crystallinity percentage | HDT | Hot Deformation Temperature |
References
- Zhang, S.; Rodrigue, D.; Riedl, B. Preparation and morphology of polypropylene/wood flour composite foams via extrusion. Polym. Compos. 2010, 26, 731–738. [Google Scholar] [CrossRef]
- Atas, C.; Sevim, C. On the impact response of sandwich composites with cores of balsa wood and PVC foam. Compos. Struct. 2011, 93, 40–48. [Google Scholar] [CrossRef]
- Petchwattana, N.; Covavisaruch, S.J.M. Influences of particle sizes and contents of chemical blowing agents on foaming wood plastic composites prepared from poly(vinyl chloride) and rice hull. Mater. Des. 2011, 32, 2844–2850. [Google Scholar] [CrossRef]
- Shalbafan, A. Investigation of Foam Materials to be Used in Lightweight Wood Based Composites; University of Hamburg: Hamburg, Germany, 2013. [Google Scholar]
- Ichazo, M.N.; Albano, C.; González, J.; Perera, R.; Candal, M.V. Polypropylene/wood flour composites: Treatments and properties. Compos. Struct. 2001, 54, 207–214. [Google Scholar] [CrossRef]
- Mohanty, S.; Nayak, S.K.; Verma, S.K.; Tripathy, S.S. Effect of MAPP as a coupling agent on the performance of jute-PP Composites. J. Reinf. Plast. Comp. 2004, 23, 625–637. [Google Scholar] [CrossRef]
- Feng, D.; Caulfield, D.F.; Sanadi, A.R. Effect of compatibilizer on the structure-property relationships of kenaf-fiber/polypropylene composites. Polym. Compos. 2010, 22, 506–517. [Google Scholar] [CrossRef]
- Rachtanapun, P.; Selke, S.E.M.; Matuana, L.M. Microcellular foam of polymer blends of HDPE/PP and their composites with wood fiber. J. Appl. Polym. Sci. 2010, 88, 2842–2850. [Google Scholar] [CrossRef]
- Luo, Y.; Xin, C.; Yang, Z.; Yan, B.; Li, Z.; Li, X.; He, Y. Solid-state foaming of isotactic polypropylene and its composites with spherical or fibrous poly(butylenes terephthalate). J. Appl. Polym. Sci. 2015, 132. [Google Scholar] [CrossRef]
- Rizvi, A.; Tabatabaei, A.; Barzegari, M.R. In situ fibrillation of CO2-philic polymers: Sustainable route to polymer foams in a continuous process. Polymer 2013, 54, 4645–4652. [Google Scholar] [CrossRef]
- Ali, R.; Chu, R.K.M.; Lee, J.H.; Park, C.B. Superhydrophobic and oleophilic open-cell foams from fibrillar blends of polypropylene and polytetrafluoroethylene. ACS Appl. Mater. Interfaces 2014, 6, 21131–21140. [Google Scholar]
- Yang, J.; Zhang, Y.; Zhang, Y.J.P. Brittle-ductile transition of PP/POE blends in both impact and high speed tensile tests. Polymer 2003, 44, 5047–5052. [Google Scholar] [CrossRef]
- Gao, Y.; Li, J.; Li, Y.; Yuan, Y.Q.; Huang, S.H.; Du, B.X. Effect of elastomer type on electrical and mechanical properties of polypropylene/elastomer blends. In Proceedings of the 2017 International Symposium on Electrical Insulating Materials (ISEIM), Toyohashi City, Japan, 11–15 September 2017; pp. 574–577. [Google Scholar]
- Grosso, G.; Hulsen, M.A.; Fard, A.S.; Overend, A.; Anderson, P.D.; Grosso, G.; Hulsen, M.A.; Fard, A.S.; Overend, A.; Anderson, P.D. Mixing processes in the cavity transfer mixer: A thorough study. AIChE J. 2017, 64, 1034–1048. [Google Scholar] [CrossRef]
- Kong, W.L.; Bao, J.B.; Wang, J.; Hu, G.H.; Xu, Y.; Zhao, L. Preparation of open-cell polymer foams by CO2 assisted foaming of polymer blends. Polymer 2016, 90, 331–341. [Google Scholar] [CrossRef]
- Chen, T.; Xue, P.; Jia, M. The property of polycarbonate/acrylonitrile butadiene styrene-based conductive composites filled by nickel-coated carbon fiber and nickel-graphite powder. Polym. Compos. 2017, 38, 157–163. [Google Scholar] [CrossRef]
- Wang, J.; Chen, D. Microcellular polypropylene single-polymer composites prepared by insert-microcellular injection molding. Compos. Part A Appl. Sci. Manuf. 2016, 90, 567–576. [Google Scholar] [CrossRef]
- Rachtanapun, P.; Selke, S.E.M.; Matuana, L.M. Characterization of microcellular foamed polyolefin blend composites with wood fiber. Int. J. Polym. Mater. 2004, 53, 971–983. [Google Scholar] [CrossRef]
- Zhang, P.; Zhou, N.Q.; Wu, Q.F.; Wang, M.Y.; Peng, X.F. Microcellular foaming of PE/PP blends. J. Appl. Polym. Sci. 2010, 104, 4149–4159. [Google Scholar] [CrossRef]
- Guo, Y.X.; Ren, X.L.; Wang, B.B.; Guo-Sheng, H.U. Isothermal crystallization behavior of in-situ crosslinking modified PP/POE composites. J. Biomater. Sci.-Polym. E 2010, 26, 46–49. [Google Scholar]
- Salimi, A. Characterization of nano scale adhesion at solid surface of oxidized PP wax/PP blends. Int. J. Adhes. Adhes. 2012, 33, 61–66. [Google Scholar] [CrossRef]
- Souza, A.M.C.; Demarquette, N.R. Influence of composition on the linear viscoelastic behavior and morphology of PP/HDPE blends. Polymer 2002, 43, 1313–1321. [Google Scholar] [CrossRef]
- Wang, M.; Xie, L.; Qian, B.; Ma, Y.; Zhou, N. Extrusion foaming behavior of a polypropylene/nanoclay microcellular foam. J. Appl. Polym. Sci. 2016, 133. [Google Scholar] [CrossRef]
- Jiang, X.L.; Liu, T.; Xu, Z.M.; Zhao, L.; Hu, G.H.; Yuan, W.K. Effects of crystal structure on the foaming of isotactic polypropylene using supercritical carbon dioxide as a foaming agent. J. Supercrit. Fluid 2009, 48, 167–175. [Google Scholar] [CrossRef]
- Ameli, A.; Nofar, M.; Jahani, D.; Rizvi, G.; Park, C.B. Development of high void fraction polylactide composite foams using injection molding: Crystallization and foaming behaviors. Chem. Eng. J. 2015, 262, 78–87. [Google Scholar] [CrossRef]
- Zhou, Y.; Gong, W.; He, L. Application of a novel organic nucleating agent: Cucurbit[6]uril to improve polypropylene injection foaming behavior and their physical properties. J. Appl. Polym. Polym. Sci. 2017, 134. [Google Scholar] [CrossRef]
- Jung, P.U. Development of Innovative Gas-Assisted Foam Injection Molding Technology; University of Toronto: Toronto, ON, Canada, 2014. [Google Scholar]
- Qiang, F.; Wang, G. Polyethylene toughened by rigid inorganic particles. Polym. Eng. Sci. 2010, 32, 94–97. [Google Scholar]
- Chiu, F.-C.; Fu, S.-W.; Chuang, W.-T.; Sheu, H.-S. Fabrication and characterization of polyamide 6,6/organo-montmorillonite nanocomposites with and without a maleated polyolefin elastomer as a toughener. Polymer 2008, 49, 1015–1026. [Google Scholar] [CrossRef]
- Du, B.X.; Xu, H.; Li, J. Effects of mechanical stretching on space charge behaviors of PP/POE blend for HVDC cables. IEEE Trans. Dielect. Electr. Insul. 2017, 24, 1438–1445. [Google Scholar] [CrossRef]
- Xu, Y.; Zhang, S.; Peng, X.; Wang, J. Fabrication and mechanism of poly(butylene succinate) urethane ionomer microcellular foams with high thermal insulation and compressive feature. Eur. Polym. J. 2018, 99, 250–258. [Google Scholar] [CrossRef]
- Ding, Y.; Ying, S.; Xiao, Z.; Wu, X. Cell structure of microcellular combustible object foamed by supercritical carbon dioxide. Def. Technol. 2018, 14, 1–7. [Google Scholar] [CrossRef]
- Blanca, S.P.; Miriam, T.L.; Cipriano, R.; María, T.S.; Jesús, L.P.; Félix, C.G.; José, A.R.; José, M.G. Microcellular foamed aromatic polyamides (aramids). Structure, thermal and mechanical properties. Eur. Polym. J. 2019, 110, 9–13. [Google Scholar]













| Sample | Weight (%) | |||
|---|---|---|---|---|
| PP | POE | HDPE | Microcrystalline Wax | |
| 1 | 100 | - | - | - |
| 2 | 90 | 10 | - | - |
| 3 | 80 | 20 | - | - |
| 4 | 70 | 30 | - | - |
| 5 | 60 | 40 | - | - |
| 6 | 90 | - | 10 | - |
| 7 | 80 | - | 20 | - |
| 8 | 70 | - | 30 | - |
| 9 | 60 | - | 40 | - |
| 10 | 99 | - | - | 1 |
| 11 | 98 | - | - | 2 |
| 12 | 97 | - | - | 3 |
© 2019 by the authors. Licensee MDPI, Basel, Switzerland. This article is an open access article distributed under the terms and conditions of the Creative Commons Attribution (CC BY) license (http://creativecommons.org/licenses/by/4.0/).
Share and Cite
Wang, S.; Xue, P.; Jia, M.; Tian, J.; Zhang, R. Effect of Polymer Blends on the Properties of Foamed Wood-Polymer Composites. Materials 2019, 12, 1971. https://doi.org/10.3390/ma12121971
Wang S, Xue P, Jia M, Tian J, Zhang R. Effect of Polymer Blends on the Properties of Foamed Wood-Polymer Composites. Materials. 2019; 12(12):1971. https://doi.org/10.3390/ma12121971
Chicago/Turabian StyleWang, Suwei, Ping Xue, Mingyin Jia, Jing Tian, and Run Zhang. 2019. "Effect of Polymer Blends on the Properties of Foamed Wood-Polymer Composites" Materials 12, no. 12: 1971. https://doi.org/10.3390/ma12121971
APA StyleWang, S., Xue, P., Jia, M., Tian, J., & Zhang, R. (2019). Effect of Polymer Blends on the Properties of Foamed Wood-Polymer Composites. Materials, 12(12), 1971. https://doi.org/10.3390/ma12121971

