Effect of Particles Size on Dielectric Properties of Nano-ZnO/LDPE Composites
Abstract
1. Introduction
2. Materials and Methods
2.1. Sample Preparation
2.2. Morphology Characterization of Different Particles Size ZnO
2.3. Crystal Analysis of ZnO/LDPE Composites
3. Results and Discussion
3.1. Atrernating Current Breakdown Test and Analysis
3.2. Direct Current Breakdown Test and Analysis
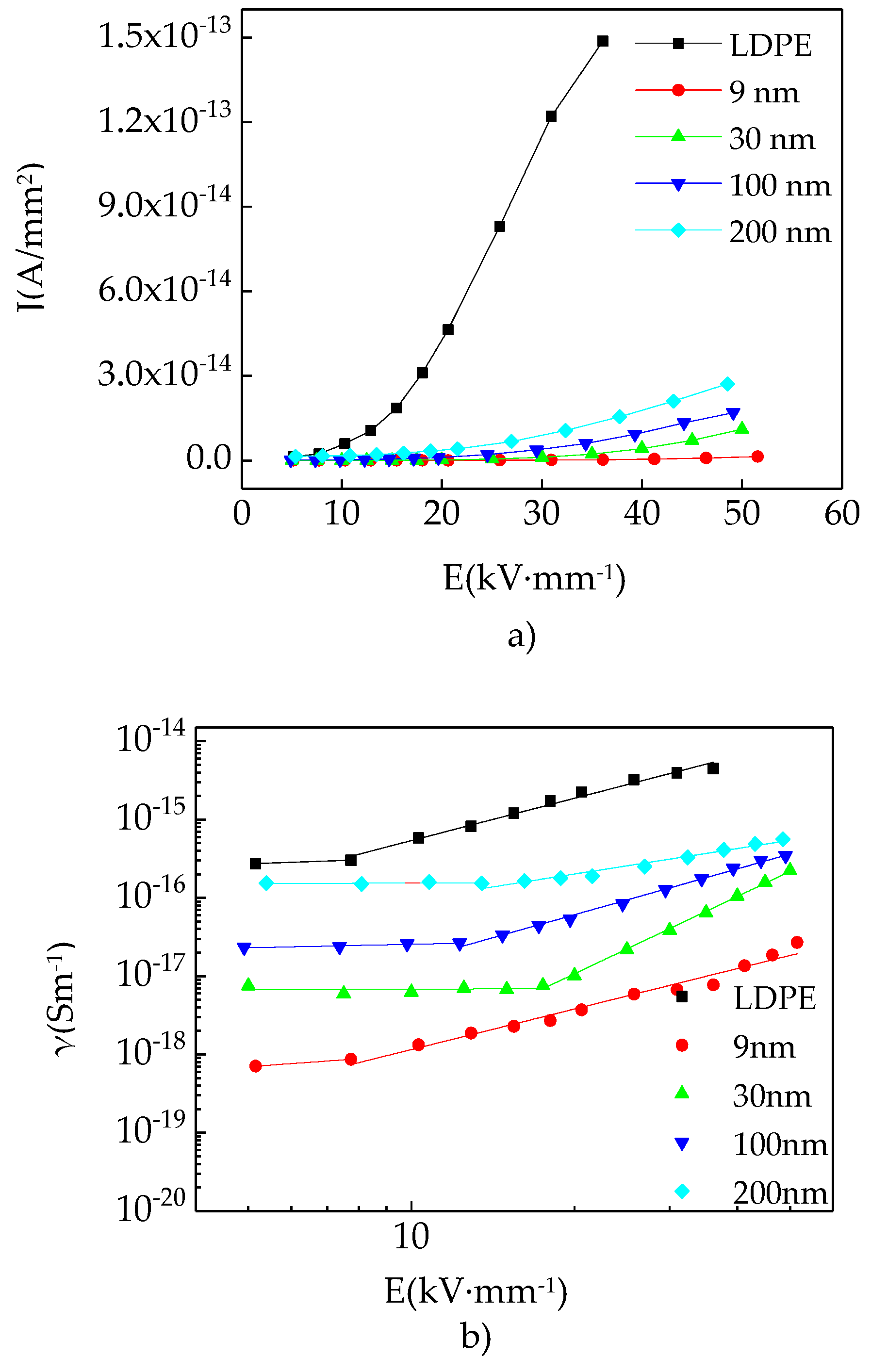
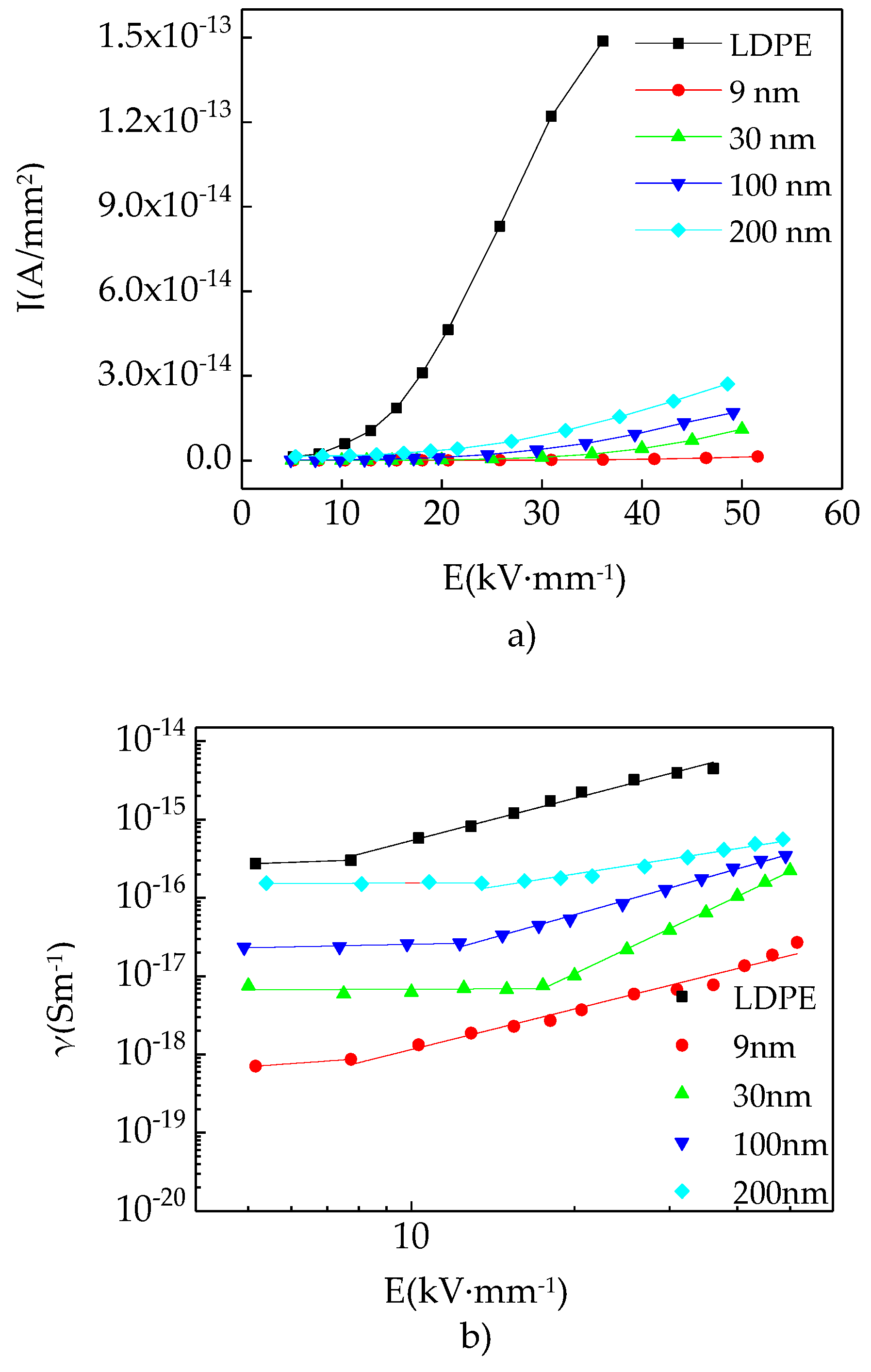
3.3. Conductivity Test and Analysis
4. Conclusions
- (1)
- From SEM experimental result it can be confirmed that the doping particles size of ZnO was 9 nm, 30 nm, 100 nm, and 200 nm respectively. From DSC experimental result, in the wake of particle size-increase, the nanoparticles’ dispersity in the matrix decreased slightly. The crystallinity of ZnO/LDPE composites with different particles’ size would increase except the composite with 200 nm particles’ size. When the mass fraction of ZnO particles doping was 3 wt%, the 30 nm composite crystallinity was the highest of which degree was 39.77%.
- (2)
- From the breakdown properties result, the DC and AC breakdown field strength of LDPE and various composites firstly increased and then decreased with the increase of ZnO particles size. The breakdown field strength of ZnO/LDPE composites decreased with the specimen thickness increase. The samples DC breakdown field strength was higher than AC breakdown field strength. When the ZnO particles’ size was 30 nm, the AC and DC breakdown field strength of ZnO/LDPE composites were highest, with values of 138 kV/mm and 340.4 kV/mm respectively. They increase 8.24% and 13.85% respectively compared with which of LDPE. All of them were lower than LDPE.
- (3)
- From the experimental result of different composites electrical conductivity characteristics it can be confirmed that the current density and conductivity of ZnO/LDPE composites would decrease with the diminution of ZnO particles size under different electric field. All of them were lower than LDPE. Under the condition of different temperatures, the current density and conductivity of LDPE and various composites increased linearly with temperature rise. The current density and conductivity of composites increased with the enlargement of ZnO particles size in the same temperature. But all of them were less than which of LDPE.
Author Contributions
Funding
Acknowledgments
Conflicts of Interest
References
- Dissado, L.A.; Mazzanti, G.; Montanari, G.C. The role of trapped space charges in the electrical aging of insulating materials. IEEE Trans. Dielectr. Electr. Insul. 1997, 4, 496–506. [Google Scholar] [CrossRef]
- Smith, R.C.; Liang, C.; Landry, M.; Nelson, J.K.; Schadler, L.S. The mechanisms leading to the useful electrical properties of polymer nanodielectrics. IEEE Trans. Dielectr. Electr. Insul. 2008, 15, 187–196. [Google Scholar] [CrossRef]
- Tanaka, Y.; Chen, G.; Zhao, Y.; Davies, A.E.; Vaughan, A.S.; Takada, T. Effect of additives on morphology and space charge accumulation in low density polyethylene. Dielectr. Electr. Insul. IEEE Trans. 2003, 10, 148–154. [Google Scholar] [CrossRef]
- Lv, Z.; Wang, X.; Wu, K.; Chen, X.; Cheng, Y.; Dissado, L.A. Dependence of charge accumulation on sample thickness in Nano-SiO2 doped IDPE. IEEE Trans. Dielectr. Electr. Insul. 2013, 20, 337–345. [Google Scholar]
- Ju, S.; Chen, M.; Zhang, H.; Zhang, Z. Dielectric properties of nanosilica/low-density polyethylene composites: The surface chemistry of nanoparticles and deep traps induced by nanoparticles. Express Polym. Lett. 2014, 8, 682–691. [Google Scholar] [CrossRef]
- Guastavino, F.; Torello, E.; Squarcia, S.; Tiemblo, P.; Garcia, N. Insulation properties of LDPE nanocomposites obtained by the dispersion of different nanoparticles. IEEE Trans. Dielectr. Electr. Insul. 2014, 21, 444–451. [Google Scholar] [CrossRef]
- Virtanen, S.; Vaughan, A.S.; Yang, L.; Quirke, S.N. Dielectric breakdown strength and electrical conductivity of low density polyethylene octylnanosilica composite. In Proceedings of the IEEE Electrical Insulation and Dielectric Phenomena, Toronto, ON, Canada, 16–19 October 2016; pp. 58–61. [Google Scholar]
- Khaled, U.; Alzahrani, S.; Khan, Y. Dielectric properties improvement of LDPE based on nano fillers. In Proceedings of the IEEE International Conference on High Voltage Engineering and Application, Chengdu, China, 19–22 September 2016; pp. 1–4. [Google Scholar]
- Music, S.; Dragcevi, D.; Popovic, S.; Ivanda, M. Precipitation of ZnO particles and their properties. Mater. Lett. 2005, 59, 2388–2393. [Google Scholar] [CrossRef]
- Fleming, R.J.; Ammala, A.; Lang, S.B.; Casey, P.S. Conductivity and space charge in LDPE containing nano- and micro-sized ZnO particles. Dielectr. Electr. Insul. IEEE Trans. 2008, 15, 118–126. [Google Scholar] [CrossRef]
- Guo, W. Research on Non-linear Conductive Characteristics and Mechanisms of Polymer Composites Filled with Inorganic Filler. Ph.D. Thesis, Harbin University of Science and Technology, Harbin, China, 2010. [Google Scholar]
- Tian, F.; Lei, Q.; Wang, X.; Wang, Y. Investigation of electrical properties of LDPE/ZnO nanocomposite dielectrics. IEEE Trans. Dielectr. Electr. Insul. 2012, 19, 763–769. [Google Scholar] [CrossRef]
- Lau, K.Y.; Piah, M. Polymer nanocomposites in high voltage electrical insulation perspective. Malays. Polym. J. 2011, 6, 58–69. [Google Scholar]
- Zhang, L.; Zhou, Y. Effect of nanparticle surface modificantion on breakdown and space charge behavior of XLPE/SiO2 nanocomposites. IEEE Trans. Dielectr. Electr. Insul. 2014, 21, 1554–1564. [Google Scholar] [CrossRef]
- Iyer, G.; Gorur, R.S.; Krivda, A. Corona resistance of epoxy nanocomposites: Experimental results and modeling. IEEE Trans. Dielectr. Electr. Insul. 2012, 19, 118–125. [Google Scholar] [CrossRef]
- Ewis, T.J. Nanometric dielectrics. IEEE Trans. Dielectr. Electr. Insul. 1994, 1, 812–825. [Google Scholar]
- Couderc, H.; Fréchette, M.F.; David, E.; Savoie, S. Study of dielectric relaxation of epoxy composites containing micro and nano particles. IEEE Trans. Dielectr. Electr. Insul. 2013, 20, 592–600. [Google Scholar] [CrossRef]
- Green, C.D.; Vaughan, A.S. Morphology and crystallisation kinetics of polyethylene/montmorillonite nanocomposites. In Proceedings of the IEEE International Conference on Solid Dielectrics, Winchester, UK, 8–13 July 2007; pp. 368–371. [Google Scholar]
- Zhu, C. Structural Analysis of Polymer; China Science Publishing & Media Ltd.: Beijing, China, 2004; pp. 21–45. [Google Scholar]
- Mo, Z.; Zhang, H.; Zhang, J. Crystalline Polymer Structure and X-Ray Diffraction; China Science Publishing & Media Ltd.: Beijing, China, 2010; pp. 207–263. [Google Scholar]
- Wang, X.; He, H.Q.; Tu, D.M.; Lei, C.; Du, Q.G. Dielectric Properties and Crystalline Morphology of Low Density Polyethylene Blended with Metallocene Catalyzed Polyethylene. IEEE Trans. Dielectr. Electr. Insul. 2008, 15, 319–326. [Google Scholar] [CrossRef]
- Bjellheim, P.; Helgee, B. Aromatic polyimides: Synthesis, characterization, and evaluation of electric strength. J. Appl. Polym. Sci. 2003, 48, 1587–1596. [Google Scholar] [CrossRef]
- Okuzumi, S.; Murakami, Y.; Nagao, M.; Sekiguchi, Y.; Reddy, C.C.; Murata, Y. DC Breakdown Strength and Conduction Current of MgO/LDPE Composite Influenced by Filler Size. In Proceedings of the IEEE Conference on Electrical Insulation and Dielectric Phenomena, Quebec, QC, Canada, 26–29 October 2008; pp. 722–725. [Google Scholar]
- Imai, T.; Komiya, G.; Murayama, K.; Ozaki, T.; Sawa, F.; Shimizu, T. Nano- and micro-filler combination enabling practical use of nanocomposite insulating materials. In Proceedings of the IEEE International Symposium on Electrical Insulating Materials, (ISEIM 2008), Mie, Japan, 7–11 September 2008; pp. 299–302. [Google Scholar]
- Fabiani, D.; Montanari, G.C.; Palmieri, F.; et al. The effect of temperature on space charge behavior of epoxy resins containing both micro and nano sized fillers. In Proceedings of the IEEE Conference on Electrical Insulation & Dielectric Phenomena, Cancun, Mexico, 16–19 October 2011; pp. 648–651. [Google Scholar]
- Ren, C.; Jiang, Z.; Du, X.; Tang, T. Microstructure and Deformation Behavior of Polyethylene/Montmorillonite Nanocomposites with Strong Interfacial Interaction. J. Phys. Chem. B 2009, 113, 14118. [Google Scholar] [CrossRef] [PubMed]
- Cheng, Y.J.; Guo, N.; Wang, R.S.; Zhang, X.H. Effects of nano-ZnO and nano-montmorillonte on dielectric properties of low density polyethlene. J. Compos. Mater. 2015, 32, 94–100. [Google Scholar]
- Pirondelli, A.; Fabiani, D.; Fréchette, M.; Bouanga, C.V.; Guo, M.; David, E. Surface and breakdown resistance of polyethylene-based nano-dielectrics containing graphene-like additives. In Proceedings of the IEEE Electrical Insulation and Dielectric Phenomena, Toronto, ON, Canada, 6–19 October 2016; pp. 619–622. [Google Scholar]
- Cheng, Y. Investigation on Morphology and Dielectric Properties of Micro-, Nano-ZnO/LDPE Composites. Ph.D. Thesis, Harbin University of Science and Technology, Harbin, China, 2017. [Google Scholar]
- Fleming, R.J.; Pawlowski, T.; Ammala, A.; Casey, P.; Lawrence, K. Electrical conductivity and space charges in LDPE containing TiO2 nanoparticles. IEEE Trans. Dielectr. Electr. Insul. 2005, 12, 745–753. [Google Scholar] [CrossRef]
- Zha, J.W.; Dang, Z.M.; Song, H.T.; Yin, Y.; Chen, G. Dielectric properties and effect of electrical aging on space charge accumulation in polyimide/TiO2 nanocomposite films. J. Appl. Phys. 2010, 108, 094113. [Google Scholar] [CrossRef]
- Ieda, M.; Nagao, M.; Hikita, M. High-field Conduction and Breakdown in Insulating Polymers: Present Situation and Future Prospects. IEEE Trans. Dielectr. Electr. Insul. 1994, 1, 934–945. [Google Scholar] [CrossRef]
- Fu, M.; Dissado, L.A.; Chen, G.; Fothergill, J.C. Space charge formation and its modified electric field under applied voltage reversal and temperature gradient in XLPE cable. IEEE Trans. Dielectr. Electr. Insul. 2008, 15, 851–860. [Google Scholar] [CrossRef]











| Sample | Crystalline Peak Temperature Tc/°C | Melting Temperature Tm/°C | Width of Exothermic Crystalline Peak ΔTc/°C | Crystallinity Xc/% |
|---|---|---|---|---|
| LDPE | 93.24 | 109.78 | 8.54 | 34.26 |
| 9 nm | 94.37 | 108.92 | 7.02 | 37.49 |
| 30 nm | 94.12 | 109.24 | 6.22 | 39.77 |
| 100 nm | 94.25 | 108.73 | 7.69 | 37.43 |
| 200 nm | 93.90 | 108.18 | 6.90 | 32.21 |
© 2018 by the authors. Licensee MDPI, Basel, Switzerland. This article is an open access article distributed under the terms and conditions of the Creative Commons Attribution (CC BY) license (http://creativecommons.org/licenses/by/4.0/).
Share and Cite
Cheng, Y.; Bai, L.; Yu, G.; Zhang, X. Effect of Particles Size on Dielectric Properties of Nano-ZnO/LDPE Composites. Materials 2019, 12, 5. https://doi.org/10.3390/ma12010005
Cheng Y, Bai L, Yu G, Zhang X. Effect of Particles Size on Dielectric Properties of Nano-ZnO/LDPE Composites. Materials. 2019; 12(1):5. https://doi.org/10.3390/ma12010005
Chicago/Turabian StyleCheng, YuJia, Liyang Bai, Guang Yu, and Xiaohong Zhang. 2019. "Effect of Particles Size on Dielectric Properties of Nano-ZnO/LDPE Composites" Materials 12, no. 1: 5. https://doi.org/10.3390/ma12010005
APA StyleCheng, Y., Bai, L., Yu, G., & Zhang, X. (2019). Effect of Particles Size on Dielectric Properties of Nano-ZnO/LDPE Composites. Materials, 12(1), 5. https://doi.org/10.3390/ma12010005
