Abstract
Ti3C2Tx and Ti3C2Tx-NiO composites with three-dimensional (3D) porous networks were successfully fabricated via vacuum freeze-drying. The microstructure, absorption, and electrochemical properties of the developed composites were investigated. Nickel oxide (NiO) nanoparticles could be evenly distributed on the three-dimensional network of three-dimensional Ti3C2Tx using solution processing. When employed as electrochemical capacitor electrodes in 1 M environmentally friendly sodium sulfate, Na2SO4, solution, the three-dimensional porous Ti3C2Tx-NiO composite electrodes exhibited considerable volume specific capacitance as compared to three-dimensional porous Ti3C2Tx. The three-dimensional porous Ti3C2Tx-NiO composite delivered a remarkable cycling performance with a capacitance retention of up to 114% over 2500 cycles. The growth trend of the capacitance with NiO content shows that nickel oxide plays a crucial role in the composite electrodes. These results present a roadmap for the development of convenient and economical supercapacitors in consideration with the possibilities of morphological control and the extensibility of the process.
1. Introduction
Since the first report of graphene by Novoselov and Geim in 2004, there has been a great interest in the two-dimensional (2D) materials [1]. 2D materials are widely used in wastewater treatment, supercapacitors, lithium ion batteries, and reinforcements in composite due to their unique properties such as good adsorption performance, unusual electrochemical performance, and unique mechanical properties [2,3,4,5,6,7,8,9]. The 2D transition metal carbides (MXenes) were discovered by Gogotsi and Barsoum in 2011 [10]. These novel materials are expressed as Mn+1XnTx, where M is a transition metal such as Ti, Ta, or Nb, X represents C and/or N, Tx denotes surface functional groups (-OH or -F), and the values of n are 1, 2, or 3. Similar to graphene, these kind of materials have two-dimensional structures, large specific surface area, and good electrochemical performance, magnetic, and mechanical properties. Thus MXenes are emerging as promising candidates for various applications such as supercapacitors, catalysis, adsorption, hydrogen storage, new polymer reinforced matrix composites, and several other fields [11,12,13,14]. There are 20 different MXenes. Ti3C2Tx is the first to be discovered and by far the most studied MXene. This material has shown excellent performance as the electrode material of supercapacitors with the performance exceeding those of most previously reported materials [15,16].
A three-dimensional (3D) porous structure is a possible approach to achieve high power density for energy storage applications. The 3D structure materials built of graphene and other 2D materials have attracted a significant attention [17,18,19,20,21,22,23]. 3D porous Ti3C2Tx can be prepared by vacuum freeze-drying method using a solvent as a template [24,25]. As the 3D structure prevents the restacking of MXene nanosheets, a high electroadsorption capacity and promising potential for desalination applications have been reported [25]. Also, 3D porous MXene (Ti3C2Tx)–rGO (reduced graphene oxide) composite aerogel electrode has been fabricated for microsupercapacitor applications, which can display an area specific capacitance of 34.6 mF cm−2 at a scan rate of 1 mV s−1 and a cycling performance with a capacitance retention up to 91% over 15,000 cycles [24]. However, there are still limited reports about the application in energy storage of 3D MXene and their development still remains a challenge.
Metal oxides such as NiO [26], RuO2 [27], Fe3O4 [28], Fe2O3 [29], and Co3O4 [30] are always the important materials for electrodes. Because the double-layer capacitance is due to physical adsorption and desorption processes while the pseudo-capacitance is associated with redox reactions, such as those observed in transition metal oxides or hydroxides and conductive polymers, the pseudo-capacitance produced by a faradaic reaction of the metal oxides at the electrode/solution interface is greater than the double-layer capacitance on the surface of the active material [31,32], these materials have broad research prospects and have attracted much attention from the researchers. As NiO is easily synthesized and has relatively high specific capacitance [33], Hong-zhi Yang et al. prepared Nickel oxide (NiO) hollow microspheres which exhibited a high specific capacitance of about 1340 F/g at a current density of 1 A/g [26]. As the production process is economical and eco-friendly, NiO is regarded as one of the most ideal super capacitor electrode materials [34].
In this work, we introduced metal oxide NiO into Ti3C2Tx to modify the energy storage of MXene. 3D porous Ti3C2Tx-NiO composite electrodes were first successfully fabricated by vacuum freeze-drying method from the aqueous solutions of Ti3C2Tx and NiO. Ti3C2Tx and NiO were well combined and NiO was uniformly distributed on the 3D network skeleton. The effect of NiO content on the performance was thereafter discussed. We have demonstrated that 3D Ti3C2Tx-NiO composite electrodes achieved a high capacitance performance and NiO played a vital role.
2. Experimental
2.1. Synthesis of Ti3AlC2
Before the production of Ti3C2Tx, we first synthesized Ti3AlC2 powder via hot pressing sintering method. The latter was produced by mixing TiC (99 wt. %, 2–4 µm, Aladdin Industrial Co., Shanghai, China), Ti (99.9 wt. %, −45 μm, Jinzhou Institute of Metal Material, Jinzhou, China) and Al (99.7 wt. %, −29 μm, China Northeast Light Alloy Co., Harbin, China) powders according to the molar ratio of 1.8:1.2:1.1. The mixed powder (100 g) was pre-compacted in a steel die using a load corresponding to a stress of 30 MPa. The pre-compact was heated in a tube furnace under flowing Ar to 1350 °C at a heating rate of 10 °C/min and held at that temperature for 1h before furnace cooling. The resultant lightly sintered Ti3AlC2 was then milled with a drill machine (Z516, Yongkang dongcheng fenjin machinery factory, Yongkang, China) and passed through a −325 mesh sieve, which was used for further experiments.
2.2. Synthesis of Ti3C2Tx MXene
1 g LiF (99 wt. % purity, Shanghai Macklin Biochemical Co., Ltd., Shanghai, China) and 10 mL of 12 M HCl (AR, Shanghai Lingfeng Chemical Reagent Co., Shanghai, China) were mixed as the etching solution of Ti3AlC2 powder. Thereafter, 1 g Ti3AlC2 powder was immersed in the etching solution and stirred at 35 °C for 24 h. Then, the resultant mixture was washed with deionized water several times and centrifuged at a speed of 3500 rpm (3 min for each cycle) until the pH value of the supernatant was ≥ 6. Then, the multilayer Ti3C2Tx (PH ≥ 6) was sonicated for 1 h at room temperature under bubbling Ar to get the monolayer Ti3C2Tx. Thereafter, the resultant exfoliated solution was centrifuged at a speed of 3500 rpm for 30 min. Finally, the supernatant suspension was an aqueous suspension of monolayer Ti3C2Tx and was stored under Ar for further experiments. The suspension concentration in this experiment was 13.6 mg/mL.
2.3. Preparation of 3D Porous Ti3C2Tx-NiO Composites Electrodes
The prepared Ti3C2Tx suspension was slowly added to NiO (99.5 wt. %, < 30 nm, Aladdin Industrial Co., Shanghai, China) suspension which was dispersed in water firstly by magnetic stirrer for 30 min. The weight ratios of Ti3C2Tx:NiO = 4:1, 2:1, 1:1, and 1:2 were considered in this work. Then, the suspension was stirred with a magnetic bar for 30 min and sonicated (120 W) for 10 min for better dispersion of NiO. After the mixing process, the suspension was poured into the mold and then pre-freezed at −80 °C for 24 h followed by vacuum freeze-drying at −50 °C for 2 days. A cylindrical plastic mold with a diameter of 7 cm and a height of 1 cm was used in this experiment. By cutting or tearing the prepared 3D porous Ti3C2Tx-NiO composites into a size of about 5 × 5 mm2, the electrodes were prepared to facilitate electrochemical testing. The weight of the electrodes should be measured each time before electrochemical testing, the mass of the electrodes in this experiment were between 1 mg and 2 mg.
2.4. Material Characterization
The X-ray diffraction patterns of the samples were tested using an X-ray diffractometer (Rigaku Smartlab, Rigaku Corporation, Tokyo, Japan) with Cu (Kα) at a speed of 2°/min. The microstructures of the samples were observed under a Scanning Electron Microscope (SEM, S-4800, Hitachi Co., Tokyo, Japan). The densities of the fabricated samples were determined using the Archimedes method.
2.5. Electrochemical Performance Tests
The electrochemical performance of the 3D porous Ti3C2Tx-NiO composites electrodes was measured with Cyclic Voltammetry (CV) and galvanostatic charge-discharge tests by using a CHI-660 electrochemical workstation (Chenhua Instruments Co., Shanghai, China). 1 M Na2SO4 aqueous solution was used as the electrolyte. All the electrochemical tests were conducted in a three-electrode system. The Ti3C2Tx-NiO composites were used as the working electrodes and the Pt plate was selected as the counter electrode. CV scans were recorded from −0.8 V to −0.2 V (vs. Ag/AgCl) at the scanning rates from 2 mV/s to 100 mV/s. In the range of 10−2 Hz to 105 Hz, the same three-electrode cell configuration described above was used for electrochemical impedance spectroscopy (EIS) at a potential amplitude of 5 mV. Galvanostatic cycling was carried out at a current density of 1 A/g.
3. Results and Discussion
The XRD patterns of as-prepared Ti3AlC2 powders, 3D porous Ti3C2Tx, and Ti3C2Tx-NiO composite are shown in Figure 1. Typical X-ray diffractometer (XRD) pattern of Ti3AlC2 indicates that the precursor of Ti3C2Tx was pure, as shown in Figure 1a. As shown in Figure 1b, a very sharp scattering peak of Ti3C2Tx appeared at 2θ = 7.1° for (002) for 3D porous Ti3C2Tx after etching by LiF + HCl solution and freeze-drying method. No other oxide peaks could be observed. The c-lattice parameters, c-LP, of 3D porous Ti3C2Tx—24.88 Å were comparable to the reported values [35]. NiO addition had no effect on the c-LP of 3D porous Ti3C2Tx as shown in Figure 1c, where typical Ti3C2Tx and NiO peaks could be found in the 3D porous Ti3C2Tx-NiO composites.
Figure 1.
XRD patterns of (a) Ti3AlC2 produced by hot pressing, (b) pure Ti3C2Tx etched by LiF + HCl solution, and (c) 3D porous Ti3C2Tx-NiO composite.
To further evaluate the hollow structure of the 3D porous Ti3C2Tx and the dispersion of NiO in the composite electrodes, the samples were examined under SEM (see Figure 2 and Figure S2). SEM images confirmed that the porous 3D Ti3C2Tx had interconnected frameworks with an open macroporous structure (Figure 2a,b). The porous 3D Ti3C2Tx was clearly full of holes and most of the monolayer Ti3C2Tx was arranged in the direction of water crystallization after freeze-drying. 2D Ti3C2Tx overlapped with each other to form a 3D network (see Figure 2b). The monolayer Ti3C2Tx could overlap like a three-dimensional skeleton or it could overlap on a plane (see the red curves in the inset of Figure 2b). The various overlapping methods successfully provided Ti3C2Tx with a three-dimensional structure, like a porous foam. Figure 2c illustrates that in addition to the holes in the parallel direction, there were also pores in the vertical direction due to incomplete overlap between Ti3C2Tx layers. The 3D network framework constructed by 2D Ti3C2Tx made NiO (the red arrows in Figure 2d) distributed on its surface.
Figure 2.
SEM images of the (a) 3D porous Ti3C2Tx, (b) skeleton construction, (c) pores in the wall, and (d) 3D porous Ti3C2Tx-NiO composite with weight ratios of 2:1.
The porous structure provided the composite an excellent absorption capacity for deionized water, as shown in Figure S1a,b. As MXenes are extremely hydrophilic, the cylindrical 3D Ti3C2Tx quickly absorbed large amounts of water in a few seconds. 3D porous Ti3C2Tx had a specific surface area which was tested to 230 m2/g. The density of the 3D porous Ti3C2Tx and 3D porous Ti3C2Tx-NiO composites with different initial weight ratios of 4:1, 2:1, 1:1, and 1:2 of Ti3C2Tx-NiO were measured as 8.6 ± 0.2, 10.8 ± 0.2, 12.9 ± 0.2, 17.2 ± 0.1, and 25.8 ± 0.1 mg/cm3 and the 3D Ti3C2Tx absorbed 22 times its weight in deionized water with pink ink. Other researchers have reported the absorption of porous 2D materials as graphene. For example, Ruiyang Zhang et al. prepared g-C3N4/graphene oxide wrapped sponge with an absorption capacity of 49.8 g/g for n-hexane [22]. Chao Gao et al. found that ultra-flyweight aerogels (UFA) exhibit a high absorption capacity of 290 g/g for crude oils [17]. Graphene sponge made by Wencai Ren et al. could absorb 129 times oil of its weight [23], while Graphene-based sponge made by Duc Dung Tai et al. demonstrated absorption capacities of 1.12 ton/m3 for soybean oil and 1.86 ton/m3 for chloroform, respectively [20]. As the density of Ti3C2Tx is several times greater than that of graphene, the absorption capacity of 3D porous Ti3C2Tx was relatively better. The absorption capacities obtained for 3D porous Ti3C2Tx and its composites in this work were compared to the values reported in literature and are summarized in Table 1.
Table 1.
Summary of absorption capacities of formulated 3D porous Ti3C2Tx compared to the values reported in other literature.
Considering the unique porous microstructure of 3D Ti3C2Tx and NiO composite, we further evaluated its electrochemical performance as electrode in a three-electrode system (see Figure 3 and Figure S3). Figure 3a–e shows the cyclic voltammogram (CV) curves at all sweeping rates of pure 3D porous Ti3C2Tx and 3D porous Ti3C2Tx-NiO composite electrodes produced by freeze-drying method with different initial weight ratios of 4:1, 2:1, 1:1, and 1:2 of Ti3C2Tx-NiO. The capacitance was reduced due to incomplete Na+ and SO42− ion diffusion in the electrolyte. When the scanning speed reached 100 mV/s, the curves had some distortion and did not look like a rectangle. The area of the capacitance curve gradually decreased as the scanning rate increased, which is due to the slower transmission speed of ions in the electrolyte relative to the scanning rate (see Figure 3f). These results are consistent with the previous reports on conductive supercapacitors [24,25,36]. Figure 3f also illustrates that the specific capacitance obtained at 2 mV/s is about 341 F/cm3 with a 1:1 initial weight ratio. This value is much higher than those for the other samples. The results of these parallel experiments on different initial weight ratios strongly indicate the importance of NiO to improve the electrochemical performance. The nickel oxide in 3D porous Ti3C2Tx-NiO composite electrodes provided an excellent faraday capacity at the time of testing. According to the report that only electric double layer capacitance was recognized in the in neutral electrolytes [37], the excellent faraday capacity of NiO could be produced not only on the surface of the electrode but also in the whole electrode and it was better than the capacitance of Ti3C2Tx itself; hence, higher capacitance and energy density could be obtained. When under the same electrode area, the pseudocapacitor can be 10–100 times the capacity of the double layer [30,38]. Moreover, we compared our results with major published data on porous 2D materials and have listed the major characteristics of each report, such as test configuration, specific capacitance, capacitance retention, and electrolyte in Table 2.
Figure 3.
Electrochemical performance of 3D porous Ti3C2Tx and Ti3C2Tx-NiO composites. Cyclic voltammetry data collected at scan rates from 2 to 100 mV/s for (a) pure 3D porous Ti3C2Tx, (b) 3D porous Ti3C2Tx-20 wt. % NiO, (c) 3D porous Ti3C2Tx-33 wt. % NiO, (d) 3D porous Ti3C2Tx-50 wt. % NiO, and (e) 3D porous Ti3C2Tx-66 wt. % NiO. (f) The NiO content and scan rate dependence of specific capacitance.
Table 2.
Summary of specific capacitance and cyclic stability obtained for formulated porous 3D Ti3C2Tx and Ti3C2Tx-NiO compared to the values reported in other literature.
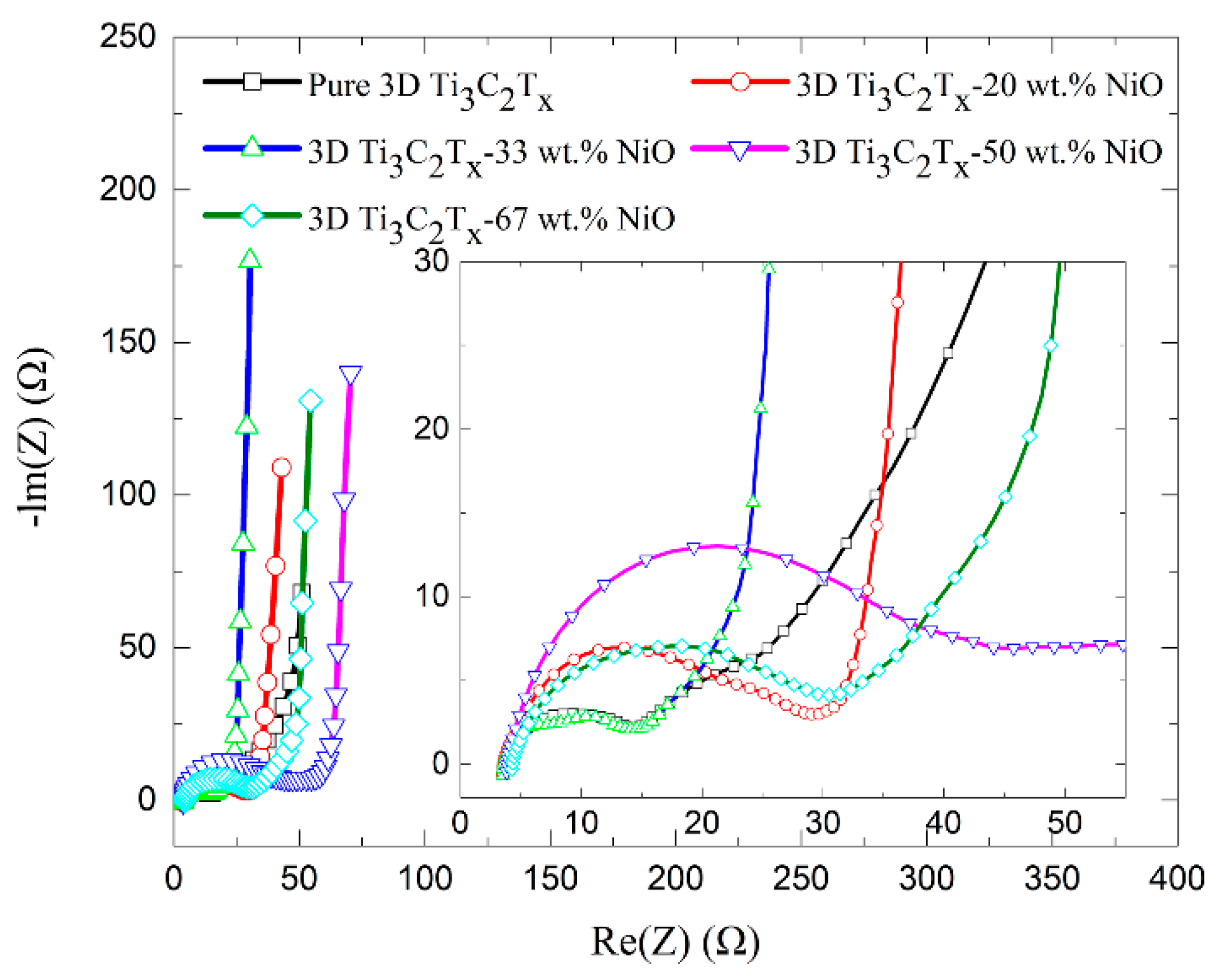
To investigate the ion transport behavior and resistance of the electrode of the samples, electrochemical impedance spectroscopy (EIS) was conducted and the results were shown in Figure 4. Electrochemical impedance spectroscopy could be divided into two regions called knee frequencies, the high frequency region being a semicircular arc and the low frequency region being a straight line. The diameter of the semicircle in the high-frequency range determines the value of the charge transfer resistance (Rct), which was derived from the ion transfer across the interface of the Ti3C2Tx wafer in contact with the electrolyte solution. Capacitive impedance appeared in the wide frequency range and the fast increase of the imaginary part of the low frequency impedance illustrates a capacitance storage mechanism. The low frequencies regions (the straight lines) reflected the Warburg resistance. These results were consistent with the previous reports on Ti3C2Tx membrane material or conducting Ti3C2Tx “clay” electrolytes [37,39]. Although the forms and structures of the electrodes are different, comparable capacitive impedance over a wide frequency range shows the intrinsic properties of the same active material in Ti3C2Tx and this property is not altered with the addition of nickel oxide.
Figure 4.
Nyquist plots of pure 3D porous Ti3C2Tx and 3D porous Ti3C2Tx-NiO composite.
In order to explore the cyclability of the prepared electrodes, pure 3D porous Ti3C2Tx and 3D porous Ti3C2Tx-NiO were also evaluated and results are presented in Figure 5a,b, respectively. Cycling performance was tested by galvanostatic charge-discharge testing at a current density of 1 A/g. The nontriangular shapes of the voltage vs. time profiles shown in the insets are consistent with the pseudocapacitive nature of the charge storage mechanism suggested by the corresponding CVs. The coulombic efficiency of the pure 3D porous Ti3C2Tx and 3D porous Ti3C2Tx-NiO were 99% and 103%, respectively. A slight increase of ~3% of the initial capacitance could be observed for the pure 3D porous Ti3C2Tx electrode after ~1000 cycles, which may be ascribed to the intercalation of Na+ into the interlayer space of Ti3C2Tx, leading to an enhanced capacitance [25]. The capacitance retention was as high as 100% over 2500 cycles, as presented in Figure 5. No capacitance loss was observed for 3D porous Ti3C2Tx-50 wt. % NiO electrode after 2500 cycles (Figure 5b). An increase of ~14% of the initial capacitance could be observed for the pure Ti3C2Tx-50 wt. % NiO electrode after 2500 cycles. The cyclic stability of metal oxides is relatively poor due to chemical reactions [40,41,42], but 3D porous Ti3C2Tx framework itself has good cyclic stability and improve the ion accessibility during the cycling process, which leads to an increased accommodation behavior for charges [36]. The specific capacitance and cyclic stability obtained for 3D porous Ti3C2Tx and its composite in this work were compared to the values reported in the literature and summarized in Table 2.
Figure 5.
Cycling performance tested by galvanostatic charge-discharge conducted at 1 A/g for (a) pure 3D porous Ti3C2Tx and (b) Ti3C2Tx-50 wt. % NiO.
4. Conclusions
We produced pure 3D porous Ti3C2Tx and 3D porous Ti3C2Tx-NiO composite electrodes with different initial weight ratios by freeze-drying method. As per the absorption experiments in water and oil, the 3D porous Ti3C2Tx had a remarkable and comparable absorption capacity. The electrochemical performance of pure 3D porous Ti3C2Tx and 3D porous Ti3C2Tx-NiO composite electrodes was studied in the scan rate range of 2–100 mV/s using 1 M Na2SO4 as the electrolyte. The composite electrodes effectively combined the advantages of Ti3C2Tx and nickel oxide. The addition of nickel oxide improved the specific capacitance of the composite electrode and the 3D porous Ti3C2Tx framework ensured relatively good cyclic stability of the composite electrodes. The volumetric specific capacitance of the electrode was maximum for the initial weight ratio of 1:1 for Ti3C2Tx-NiO. Adding NiO was an effective way to improve the specific capacitance of 3D MXene. The capacitance retention of the 3D porous Ti3C2Tx-NiO composite electrodes was superior to the analogous materials reported in several literatures.
Supplementary Materials
The following are available online at http://www.mdpi.com/1996-1944/12/1/188/s1.
Author Contributions
K.Z. and G.Y. designed experiments and G.Y. supervised the work in this paper; K.Z., L.L., Y.Z., D.W., Y.Z. and X.W. carried out experiments while K.Z., F.M., L.S., C.Z. and G.Y. cooperative analyzed and discussed the testing results. This manuscript was written by K.Z. and G.Y., and was revised under reviewers and co-authors suggestions.
Funding
This research received no external funding.
Acknowledgments
This work was supported by the National Natural Science Foundation of China (11872171 and 11302068) and Fundamental Research Funds for the Central Universities (2018B17414 and 2018B46714). This work was also supported by Key Laboratory of Superlight Materials & Surface Technology (Harbin Engineering University), Ministry of Education. This research received no external funding.
Conflicts of Interest
The authors declare no conflict of interest.
References
- Novoselov, K.S.; Geim, A.K.; Morozov, S.V.; Jiang, D.A.; Zhang, Y.; Dubonos, S.V.; Grigorieva, I.V.; Firsov, A.A. Electric Field Effect in Atomically Thin Carbon Films. Science 2004, 306, 666–669. [Google Scholar] [CrossRef] [PubMed]
- Bose, S.; Kim, N.H.; Kuila, T.; Lau, K.T.; Lee, J.H. Electrochemical performance of a graphene-polypyrrole nanocomposite as a supercapacitor electrode. Nanotechnology 2011, 22, 295202. [Google Scholar] [CrossRef] [PubMed]
- Fang, M.; Wang, K.; Lu, H.; Yang, Y.; Nutt, S. Covalent polymer functionalization of graphene nanosheets and mechanical properties of composites. J. Mater. Chem. 2009, 19, 7098–7105. [Google Scholar] [CrossRef]
- Lee, J.; Chae, H.; Won, Y.J.; Lee, K.; Lee, C.; Lee, H.H.; Kim, I.C.; Lee, J.M. Graphene oxide nanoplatelets composite membrane with hydrophilic and antifouling properties for wastewater treatment. J. Membr. Sci. 2013, 448, 223–230. [Google Scholar] [CrossRef]
- Lei, Y.; Chen, F.; Luo, Y.; Zhang, L. Synthesis of three-dimensional graphene oxide foam for the removal of heavy metal ions. Chem. Phys. Lett. 2014, 593, 122–127. [Google Scholar] [CrossRef]
- Kim, H.; Macosko, C.W. Processing-property relationships of polycarbonate/graphene composites. Polymer 2009, 50, 3797–3809. [Google Scholar] [CrossRef]
- Wang, G.; Shen, X.; Yao, J.; Park, J. Graphene nanosheets for enhanced lithium storage in lithium ion batteries. Carbon 2009, 47, 2049–2053. [Google Scholar] [CrossRef]
- Wang, H.; Cui, L.; Yang, Y.; Sanchez Casalongue, H.; Robinson, J.T.; Liang, Y.; Cui, Y.; Dai, H. Mn3O4−Graphene Hybrid as a High-Capacity Anode Material for Lithium Ion Batteries. J. Am. Chem. Soc. 2010, 132, 13978–13980. [Google Scholar] [CrossRef]
- Wang, Y.; Shi, Z.; Huang, Y.; Ma, Y.; Wang, C.; Chen, M.; Chen, Y. Supercapacitor Devices Based on Graphene Materials. J. Phys. Chem. C 2009, 113, 13103–13107. [Google Scholar] [CrossRef]
- Naguib, M.; Kurtoglu, M.; Presser, V.; Lu, J.; Niu, J.; Heon, M.; Hultman, L.; Gogotsi, Y.; Barsoum, M.W. Two-dimensional nanocrystals produced by exfoliation of Ti3AlC2. Adv. Mater. 2011, 23, 4248–4253. [Google Scholar] [CrossRef]
- Ying, G.; Dillon, A.D.; Fafarman, A.T.; Barsoum, M.W. Transparent, conductive solution processed spincast 2D Ti2CTx (MXene) films. Mater. Res. Lett. 2017, 5, 391–398. [Google Scholar] [CrossRef]
- Hu, Q.; Sun, D.; Wu, Q.; Wang, H.; Wang, L.; Liu, B.; Zhou, A.; He, J. MXene: A New Family of Promising Hydrogen Storage Medium. J. Phys. Chem. A 2013, 117, 14253–14260. [Google Scholar] [CrossRef] [PubMed]
- Mashtalir, O.; Lukatskaya, M.R.; Zhao, M.Q.; Barsoum, M.W.; Gogotsi, Y. Amine-Assisted Delamination of Nb2C MXene for Li-Ion Energy Storage Devices. Adv. Mater. 2015, 27, 3501–3506. [Google Scholar] [CrossRef] [PubMed]
- Ying, G.; Kota, S.; Dillion, A.D.; Fafarman, A.T.; Barsoum, M.W. Conductive Transparent V2CTx (MXene) Films. FlatChem 2018, 8, 25–30. [Google Scholar] [CrossRef]
- Qian, A.; Hyeon, S.E.; Seo, J.Y.; Chung, C. Capacitance changes associated with cation-transport in free-standing flexible Ti3C2Tx (T O, F, OH) MXene film electrodes. Electrochim. Acta 2018, 266, 86–93. [Google Scholar] [CrossRef]
- Lin, Z.; Barbara, D.; Taberna, P.; Van Aken, K.L.; Anasori, B.; Gogotsi, Y.; Simon, P. Capacitance of Ti3C2Tx MXene in ionic liquid electrolyte. J. Power Sources 2016, 326, 575–579. [Google Scholar] [CrossRef]
- Sun, H.; Xu, Z.; Gao, C. Multifunctional, Ultra-Flyweight, Synergistically Assembled Carbon Aerogels. Adv. Mater. 2013, 25, 2554–2560. [Google Scholar] [CrossRef] [PubMed]
- Chen, L.F.; Zhang, X.D.; Liang, H.W.; Kong, M.; Guan, Q.F.; Chen, P.; Wu, Z.-Y.; Yu, S.-H. Synthesis of nitrogen-doped porous carbon nanofibers as an efficient electrode material for supercapacitors. ACS Nano 2012, 6, 7092–7102. [Google Scholar] [CrossRef]
- Du, R.; Tian, X.; Yao, J.; Sun, Y.; Jin, J.; Zhang, Y.; Liu, Y. Controlled synthesis of three-dimensional reduced graphene oxide networks for application in electrode of supercapacitor. Diam. Relat. Mater. 2016, 70, 186–193. [Google Scholar] [CrossRef]
- Nguyen, D.D.; Tai, N.; Lee, S.; Kuo, W. Superhydrophobic and superoleophilic properties of graphene-based sponges fabricated using a facile dip coating method. Energy Environ. Sci. 2012, 5, 7908–7912. [Google Scholar] [CrossRef]
- Qian, Y.; Ismail, I.M.; Stein, A. Ultralight, high-surface-area, multifunctional graphene-based aerogels from self-assembly of graphene oxide and resol. Carbon 2014, 68, 221–231. [Google Scholar] [CrossRef]
- Zhang, R.; Ma, M.; Zhang, Q.; Dong, F.; Zhou, Y. Multifunctional g-C3N4/graphene oxide wrapped sponge monoliths as highly efficient adsorbent and photocatalyst. Appl. Catal. B Environ. 2018, 235, 17–25. [Google Scholar] [CrossRef]
- Zhao, J.; Ren, W.; Cheng, H. Graphene sponge for efficient and repeatable adsorption and desorption of water contaminations. J. Mater. Chem. 2012, 22, 20197–20202. [Google Scholar] [CrossRef]
- Yue, Y.; Liu, N.; Ma, Y.; Wang, S.; Liu, W.; Luo, C.; Zhang, H.; Cheng, F.; Rao, J.; Hu, X.; et al. Highly Self-Healable 3D Microsupercapacitor with MXene–Graphene Composite Aerogel. ACS Nano 2018, 12, 4224–4232. [Google Scholar] [CrossRef] [PubMed]
- Bao, W.; Tang, X.; Guo, X.; Choi, S.; Wang, C.; Gogotsi, Y.; Wang, G. Porous Cryo-Dried MXene for Efficient Capacitive Deionization. Joule 2018, 2, 778–787. [Google Scholar] [CrossRef]
- Yang, H.Z.; Zou, J.P. Controllable preparation of hierarchical NiO hollow microspheres with high pseudo-capacitance. Trans. Nonferr. Met. Soc. China 2018, 28, 1808–1818. [Google Scholar] [CrossRef]
- Bi, R.R.; Wu, X.L.; Cao, F.F.; Jiang, L.Y.; Guo, Y.G.; Wan, L.J. Highly Dispersed RuO2 Nanoparticles on Carbon Nanotubes: Facile Synthesis and Enhanced Supercapacitance Performance. J. Phys. Chem. C 2010, 114, 2448–2451. [Google Scholar] [CrossRef]
- Eskusson, J.; Rauwel, P.; Nerut, J.; Jänes, A. A Hybrid Capacitor Based on Fe3O4-Graphene Nanocomposite/Few-Layer Graphene in Different Aqueous Electrolytes. J. Electrochem. Soc. 2016, 163, A2768–A2775. [Google Scholar] [CrossRef]
- Wang, M.; Cheng, S.; Dang, G.; Min, F.; Li, H.; Zhang, Q.; Xie, J. Solvothermal Synthesized γ-Fe2O3/graphite Composite for Supercapacitor. Int. J. Electrochem. Sci. 2017, 12, 6292–6303. [Google Scholar] [CrossRef]
- Wang, H.; Ren, Q.; Brett, D.J.L.; He, G.; Wang, R.; Key, J.; Ji, S. Double-shelled tremella-like NiO@Co3O4 @MnO2 as a high-performance cathode material for alkaline supercapacitors. J. Power Sources 2017, 343, 76–82. [Google Scholar] [CrossRef]
- Zhang, Y.; Feng, H.; Wu, X.; Wang, L.; Zhang, A.; Xia, T.; Dong, H.; Li, X.; Zhang, L. Progress of electrochemical capacitor electrode materials: A review. Int. J. Hydrog. Energy 2009, 34, 4889–4899. [Google Scholar] [CrossRef]
- Conway, B.E.; Birss, V.; Wojtowicz, J. The role and utilization of pseudocapacitance for energy storage by supercapacitors. J. Power Sources 1997, 66, 1–14. [Google Scholar] [CrossRef]
- Gupta, V.; Kawaguchi, T.; Miura, N. Synthesis and electrochemical behavior of nanostructured cauliflower-shape Co–Ni/Co–Ni oxides composites. Mater. Res. Bull. 2009, 44, 202–206. [Google Scholar] [CrossRef]
- Han, D.; Jing, X.; Wang, J.; Yang, P.; Song, D.; Liu, J. Porous lanthanum doped NiO microspheres for supercapacitor application. J. Electroanal. Chem. 2012, 682, 37–44. [Google Scholar] [CrossRef]
- Su, X.; Zhang, J.; Mu, H.; Zhao, J.; Wang, Z.; Zhao, Z.; Han, C.; Ye, Z. Effects of etching temperature and ball milling on the preparation and capacitance of Ti3C2 MXene. J. Alloys Compd. 2018, 752, 32–39. [Google Scholar] [CrossRef]
- Wu, Z.; Sun, Y.; Tan, Y.; Yang, S.; Feng, X.; Müllen, K. Three-Dimensional Graphene-Based Macro- and Mesoporous Frameworks for High-Performance Electrochemical Capacitive Energy Storage. J. Am. Chem. Soc. 2012, 134, 19532–19535. [Google Scholar] [CrossRef] [PubMed]
- Hu, M.; Li, Z.; Hu, T.; Zhu, S.; Zhang, C.; Wang, X. High-Capacitance Mechanism for Ti3C2Tx MXene by in Situ Electrochemical Raman Spectroscopy Investigation. ACS Nano 2016, 10, 11344–11350. [Google Scholar] [CrossRef] [PubMed]
- AL-Osta, A.; Jadhav, V.V.; Zate, M.K.; Mane, R.S.; Hui, K.N.; Han, S. Electrochemical supercapacitors of anodized-brass-templated NiO nanostrutured electrodes. Scr. Mater. 2015, 99, 29–32. [Google Scholar] [CrossRef]
- Ghidiu, M.; Lukatskaya, M.R.; Zhao, M.; Gogotsi, Y.; Barsoum, M.W. Conductive two-dimensional titanium carbide ‘clay’ with high volumetric capacitance. Nature 2014, 516, 78–81. [Google Scholar] [CrossRef]
- Wang, S.; Chen, C.; Chien, T.; Lee, P.; Lin, C. Supercapacitive properties of spray pyrolyzed iron-added manganese oxide powders deposited by electrophoretic deposition technique. Thin Solid Films 2008, 517, 1234–1238. [Google Scholar] [CrossRef]
- Zhang, X.; Shi, W.; Zhu, J.; Zhao, W.; Ma, J.; Mhaisalkar, S.; Maria, T.L.; Yang, Y.; Zhang, H.; Hng, H.H.; et al. Synthesis of porous NiO nanocrystals with controllable surface area and their application as supercapacitor electrodes. Nano Res. 2010, 3, 643–652. [Google Scholar] [CrossRef]
- Zheng, Y.; Ding, H.; Zhang, M. Preparation and electrochemical properties of nickel oxide as a supercapacitor electrode material. Mater. Res. Bull. 2009, 44, 403–407. [Google Scholar] [CrossRef]
© 2019 by the authors. Licensee MDPI, Basel, Switzerland. This article is an open access article distributed under the terms and conditions of the Creative Commons Attribution (CC BY) license (http://creativecommons.org/licenses/by/4.0/).




