Effects of a Si-doped InGaN Underlayer on the Optical Properties of InGaN/GaN Quantum Well Structures with Different Numbers of Quantum Wells
Abstract
1. Introduction
2. Sample Details and Experimental Techniques
3. Results
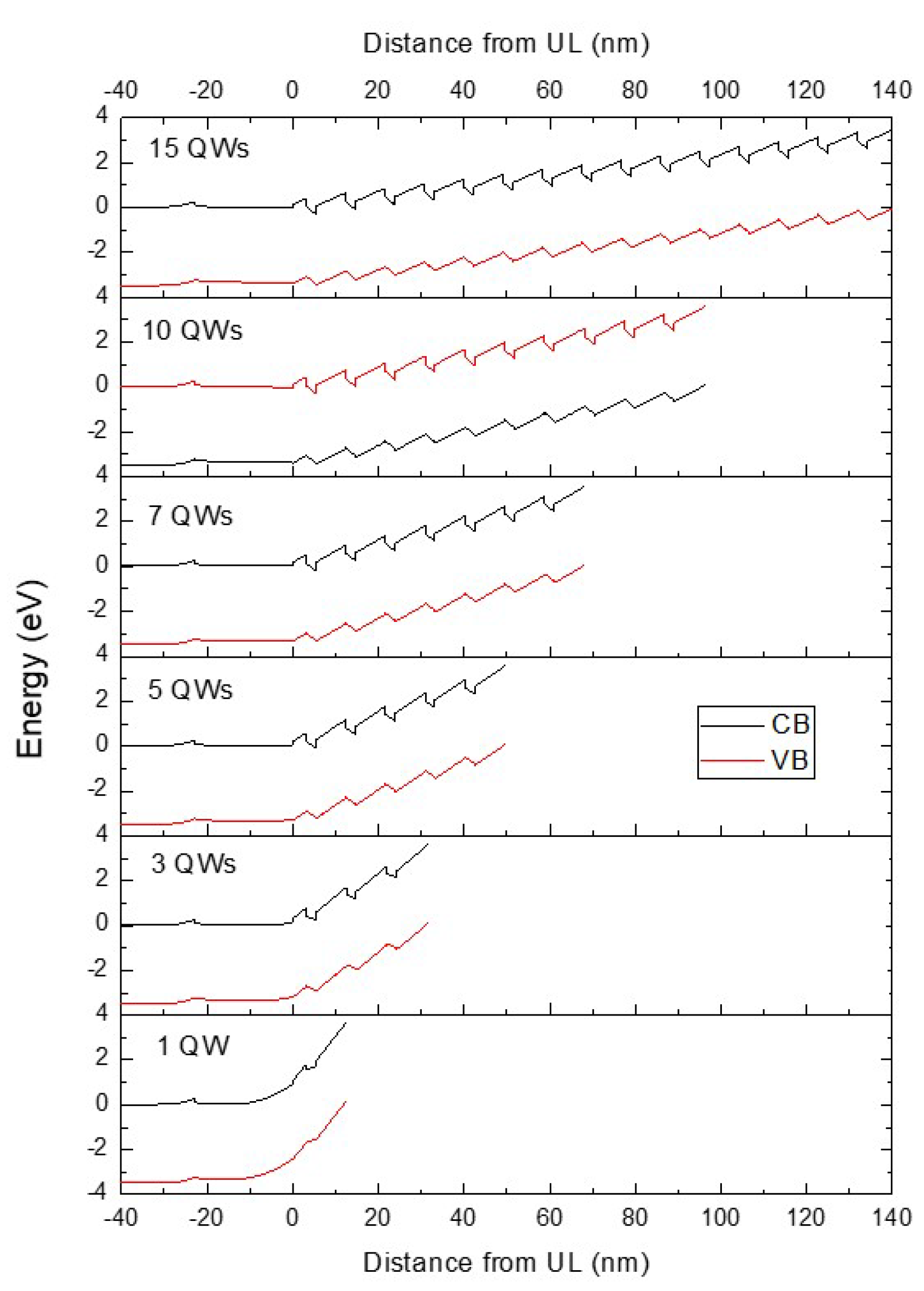
3.1. Simulation of Conduction and Valence Band Profiles
3.2. Low-Temperature Photoluminescence (PL) Spectroscopy
3.3. Photoluminescence Time-Decay Measurements
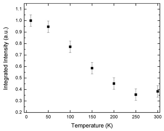
3.4. Temperature-Dependent Photoluminescence Spectroscopy
4. Discussion and Conclusions
Author Contributions
Funding
Conflicts of Interest
References
- Akasaka, T.; Gotoh, H.; Saito, T.; Makimoto, T. High luminescent efficiency of InGaN multiple quantum wells grown on InGaN underlying layers. Appl. Phys. Lett. 2004, 85, 3089–3091. [Google Scholar] [CrossRef]
- Akasaka, T.; Gotoh, H.; Nakano, H.; Makimoto, T. Blue-purplish InGaN quantum wells with shallow depth of exciton localization. Appl. Phys. Lett. 2005, 86, 191902. [Google Scholar] [CrossRef]
- Takahashi, Y.; Satake, A.; Fujiwara, K.; Shue, J.; Jahn, U.; Kostial, H.; Grahn, H. Enhanced radiative efficiency in blue (In,Ga)N multiple-quantum-well light-emitting diodes with an electron reservoir layer. Physica E 2004, 21, 876. [Google Scholar] [CrossRef]
- Otsuji, N.; Fujiwara, K.; Sheu, J. Electroluminescence efficiency of blue InGaN/GaN quantum-well diodes with and without an n-InGaN electron reservoir layer. J. Appl. Phys. 2006, 100, 113105. [Google Scholar] [CrossRef]
- Niu, N.; Wang, H.; Liu, J.; Liu, N.; Xing, Y.; Han, J.; Deng, J.; Shen, G. Enhanced luminescence of InGaN/GaN multiple quantum wells by strain reduction. Solid-State Electron. 2007, 51, 860–864. [Google Scholar]
- Torma, P.; Svensk, O.; Ali, M.; Suihkonen, S.; Sopanen, M.; Odnoblyudov, M.; Bougrov, V. Effect of InGaN underneath layer on MOVPE-grown InGaN/GaN blue LEDs. J. Cryst. Growth 2008, 310, 5162–5165. [Google Scholar] [CrossRef]
- Takahashi, H.; Ito, A.; Tanaka, T.; Watanabe, A.; Ota, H.; Chikuma, K. Effect of intentionally formed ‘v-defects’ on the emission efficiency of GaInN single quantum well. Jpn. J. Appl. Phys. Part 2 Lett. 2000, 39, L569. [Google Scholar] [CrossRef]
- Son, J.; Lee, S.; Sakong, T.; Paek, H.; Nam, O.; Park, Y.; Hwang, J.; Kim, J.; Cho, Y. Enhanced optical properties of InGaN MQWs with InGaN underlying layers. J. Cryst. Growth 2006, 287, 558–561. [Google Scholar] [CrossRef]
- Armstrong, A.; Bryant, B.; Crawford, M.; Koleske, D.; Lee, S.; Wierer, J. Defect-reduction mechanism for improving radiative efficiency in InGaN/GaN light-emitting diodes using InGaN underlayers. J. Appl. Phys. 2015, 117, 134501. [Google Scholar] [CrossRef]
- Shan, H.; Chen, B.; Li, X.; Lin, Z.; Xu, S.; Hao, Y.; Zhang, J. The performance enhancement of an InGaN/GaN multiple-quantum-well solar cell by superlattice structure. Jpn. J. Appl. Phys. 2017, 56, 110305. [Google Scholar] [CrossRef]
- Davies, M.; Dawson, P.; Massabuau, F.; Oliver, R.; Kappers, M.; Humphreys, C. The effects of Si-doped prelayers on the optical properties of InGaN/GaN single quantum well structures. Appl. Phys. Lett. 2014, 105, 092106. [Google Scholar] [CrossRef]
- Davies, M.; Dawson, P.; Massabuau, F.; Le Fol, A.; Oliver, R.; Kappers, M.; Humphreys, C. A study of the inclusion of prelayers in InGaN/GaN single- and multiple-quantum-well structures. Phys. Status Solidi B 2015, 252, 866–872. [Google Scholar] [CrossRef]
- Davies, M.; Hammersley, S.; Massabuau, F.; Dawson, P.; Oliver, R.; Kappers, M.; Humphreys, C. A comparison of the optical properties of InGaN/GaN multiple quantum well structures grown with and without si-doped InGaN prelayers. J. Appl. Phys. 2016, 119, 055708. [Google Scholar] [CrossRef]
- Netzel, C.; Skriniarova, J.; Herms, M.; Wenzel, H.; Hoffmann, V.; Knauer, A.; Weyers, M.; Butte, R. Experimental method for scanning the surface depletion region in nitride based heterostructures. Phys. Status Solidi C 2009, 6, S691. [Google Scholar] [CrossRef]
- Vincenzo, F.; Fabio, B.; Fabio, D.S.; Aldo, D.C.; Paolo, L. Effects of macroscopic polarization in III-V nitride multiple quantum wells. Phys. Rev. B 1999, 60, 8849. [Google Scholar]
- Mayrock, O.; Wunsche, H.J.; Henneberger, F. Polarization charge screening and indium surface segregation in (In,Ga)N/GaN single and multiple quantum wells. Phys. Rev. B 2000, 24, 16870. [Google Scholar] [CrossRef]
- Monemar, B.; Haratizadeh, H.; Paskov, P.P.; Pozina, G.; Holtz, P.O.; Bergman, J.P.; Kamiyama, S.; Iwaya, M.; Amano, H.; Akasaki, I. Influence of polarisation fields and depletion fields on photoluminescence of AlGaN/Gain multiple quantum well structures. Phys. Status Solidi B 2003, 237, 353–364. [Google Scholar] [CrossRef]
- Haller, C.; Carlin, J.; Jacopin, G.; Martin, D.; Butte, R.; Grandjean, N. Burying non-radiative defects in InGaN underlayer to increase InGaN/GaN quantum well efficiency. Appl. Phys. Lett. 2017, 111, 262101. [Google Scholar] [CrossRef]
- Dawson, P.; Woodbridge, K. Effects of prelayers on minority-carrier lifetime in GaAs/AlGaAs double heterostructures grown by molecular beam epitaxy. Appl. Phys. Lett. 1984, 45, 1227–1229. [Google Scholar] [CrossRef]
- Hurst, P.; Dawson, P.; Levetas, S.A.; Godfrey, M.J.; Watson, I.M.; Duggan, G. Temperature dependent optical properties of InGaN/GaN quantum well structures. Phys. Status Solidi B 2001, 228, 137–140. [Google Scholar] [CrossRef]
- Thucydides, G.; Barnes, J.; Tsui, E.; Barnham, K.; Phillips, C.; Cheng, T.; Foxon, C. Picosecond photoluminescence studies of carrier escape processes in a GaAs/Al0.3Ga0.7As single quantum well. Semicond. Sci. Technol. 1996, 11, 331. [Google Scholar] [CrossRef]
- Oliver, R.; Massabuau, F.; Kappers, M.; Phillips, W.; Thrush, E.; Tartan, C.; Blenkhorn, W.; Badcock, T.; Dawson, P.; Hopkins, M. The impact of gross well width fluctuations on the efficiency of GaN-based light emitting diodes. Appl. Phys. Lett. 2013, 103, 141114. [Google Scholar] [CrossRef]
- Vickers, M.E.; Kappers, M.J.; Smeeton, T.M.; Thrush, E.J.; Barnard, J.S.; Humphreys, C.J. Determination of the indium content and layer thicknesses in InGaN/GaN quantum wells by x-ray scattering. J. Appl. Phys. 2003, 94, 1565. [Google Scholar] [CrossRef]
- Massabuau, F.; Davies, M.J.; Blenkhorn, W.E.; Hammersley, S.; Kappers, M.J.; Humphreys, C.J.; Dawson, P.; Oliver, R.A. Investigation of unintentional indium incorporation into GaN barriers of InGaN/GaN quantum well structures. Phys. Status Solidi B 2015, 252, 928–935. [Google Scholar] [CrossRef]
- Birner, S.; Zibold, T.; Andlauer, T.; Kubis, T.; Sabathil, M.; Trellakis, A.; Vogl, P. Nextnano: General purpose 3-d simulations. IEEE Trans. Electron Devices 2007, 54, 2137–2142. [Google Scholar] [CrossRef]
- Cho, H.; Lee, J.; Kim, C.; Yang, G. Influence of strain relaxation on structural and optical characteristics of InGaN/GaN multiple quantum wells with high indium composition. J. Appl. Phys. 2002, 91, 1166–1170. [Google Scholar] [CrossRef]
- Davidson, J.A.; Dawson, P.; Wang, T.; Sugahara, T.; Orton, J.W.; Sakai, S. Photoluminescence studies of InGaN/GaN multi-quantum wells. Semicond. Sci. Technol. 2000, 15, 497. [Google Scholar] [CrossRef]
- Morel, A.; Lefebvre, P.; Kalliakos, S.; Taliercio, T.; Bretagnon, T.; Gil, B. Donor-acceptor-like behavior of electron-hole pair recombinations in low-dimensional (Ga,In)N/GaN systems. Phys. Rev. B 2003, 68, 045331. [Google Scholar] [CrossRef]
- Lefebvre, P.; Morel, A.; Gallart, M.; Taliercio, T.; Allegre, J.; Gil, B.; Mathieu, H.; Damilano, B.; Grandjean, N.; Massies, J. High internal electric field in a graded-width InGaN/GaN quantum well: Accurate determination by time-resolved photoluminescence spectroscopy. Appl. Phys. Lett. 2001, 78, 1252–1254. [Google Scholar] [CrossRef]
- Brosseau, C.; Perrin, M.; Silva, C.; Leonelli, R. Carrier recombination dynamics in InxGa1-xN/GaN multiple quantum wells. Phys. Rev. B 2010, 82, 085305. [Google Scholar] [CrossRef]
- Hangleiter, A.; Fuhrmann, D.; Grewe, M.; Hitzel, F.; Klewer, G.; Lahmann, S.; Netzel, C.; Riedel, N.; Rossow, U. Towards understanding the emission efficiency of nitride quantum wells. Phys. Status Solidi A 2004, 201, 2808–2813. [Google Scholar] [CrossRef]
- Pope, I.; Smowton, P.; Blood, P.; Thomson, J.; Kappers, M.; Humphreys, C. Carrier leakage in InGaN quantum well light-emitting diodes emitting at 480 nm. Appl. Phys. Lett. 2003, 82, 2755–2757. [Google Scholar] [CrossRef]
- Xie, J.; Ni, X.; Fan, Q.; Shimada, R.; Ozgur, U.; Morkoc, H. On the efficiency droop in InGaN multiple quantum well blue light emitting diodes and its reduction with p-doped quantum well barriers. Appl. Phys. Lett. 2008, 93. [Google Scholar] [CrossRef]
- Hammersley, S.; Kappers, M.; Massabuau, F.; Sahonta, S.; Dawson, P.; Oliver, R.; Humphreys, C. Effects of quantum well growth temperature on the recombination efficiency of InGaN/GaN multiple quantum wells that emit in the green and blue spectral regions. Appl. Phys. Lett. 2015, 107, 121107. [Google Scholar] [CrossRef]
- Martinez, C.E.; Stanton, N.M.; Kent, A.J.; Graham, D.M.; Dawson, P.; Kappers, M.J.; Humphreys, C.J. Determination of relative internal quantum efficiency in InGaN/GaN quantum wells. J. Appl. Phys. 2005, 98, 053509. [Google Scholar] [CrossRef]
- Hammersley, S.; Watson-Parris, D.; Dawson, P.; Godfrey, T.J.; Kappers, M.J.; McAleese, C.; Oliver, R.A.; Humphreys, C.J. The consequences of high injected carrier densities on carrier localization and efficiency droop in InGaN/GaN quantum well structures. J. Appl. Phys. 2012, 111, 083512. [Google Scholar] [CrossRef]
- Shen, Y.; Mueller, G.; Watanabe, S.; Gardner, N.; Munkholm, A.; Krames, M. Auger recombination in InGaN measured by photoluminescence. Appl. Phys. Lett. 2007, 91, 141101. [Google Scholar] [CrossRef]
- Kim, M.; Schubert, M.; Dai, Q.; Kim, J.; Schubert, E.; Piprek, J.; Park, Y. Origin of efficiency droop in GaN-based light-emitting diodes. Appl. Phys. Lett. 2007, 91, 183507. [Google Scholar] [CrossRef]
- Rozhansky, I.; Zakheim, D. Analysis of the causes of the decrease in the electroluminescence efficiency of AlGaInn light-emitting-diode heterostructures at high pumping density. Semiconductors 2006, 40, 839–845. [Google Scholar] [CrossRef]
- Schubert, M.; Xu, J.; Dai, Q.; Mont, F.; Kim, J.; Schubert, E. On resonant optical excitation and carrier escape in GaInN/GaN quantum wells. Appl. Phys. Lett. 2009, 94, 0811104. [Google Scholar] [CrossRef]







| Number of QWs | QW In Fraction (±0.01) |
|---|---|
| 1 | 0.08 |
| 3 | 0.11 |
| 5 | 0.12 |
| 7 | 0.12 |
| 10 | 0.12 |
| 15 | 0.12 |
| Number of QWs | 1/e Time (ns) |
|---|---|
| 1 | 5 |
| 3 | 10 |
| 5 | 15 |
| 7 | 15 |
| 10 | 16 |
| 15 | 17 |
| Number of QWs | IQE (300K) |
|---|---|
| 1 | 0.56 |
| 3 | 0.55 |
| 5 | 0.4 |
| 7 | 0.36 |
| 10 | 0.33 |
| 15 | 0.29 |
© 2018 by the authors. Licensee MDPI, Basel, Switzerland. This article is an open access article distributed under the terms and conditions of the Creative Commons Attribution (CC BY) license (http://creativecommons.org/licenses/by/4.0/).
Share and Cite
Christian, G.; Kappers, M.; Massabuau, F.; Humphreys, C.; Oliver, R.; Dawson, P. Effects of a Si-doped InGaN Underlayer on the Optical Properties of InGaN/GaN Quantum Well Structures with Different Numbers of Quantum Wells. Materials 2018, 11, 1736. https://doi.org/10.3390/ma11091736
Christian G, Kappers M, Massabuau F, Humphreys C, Oliver R, Dawson P. Effects of a Si-doped InGaN Underlayer on the Optical Properties of InGaN/GaN Quantum Well Structures with Different Numbers of Quantum Wells. Materials. 2018; 11(9):1736. https://doi.org/10.3390/ma11091736
Chicago/Turabian StyleChristian, George, Menno Kappers, Fabien Massabuau, Colin Humphreys, Rachel Oliver, and Philip Dawson. 2018. "Effects of a Si-doped InGaN Underlayer on the Optical Properties of InGaN/GaN Quantum Well Structures with Different Numbers of Quantum Wells" Materials 11, no. 9: 1736. https://doi.org/10.3390/ma11091736
APA StyleChristian, G., Kappers, M., Massabuau, F., Humphreys, C., Oliver, R., & Dawson, P. (2018). Effects of a Si-doped InGaN Underlayer on the Optical Properties of InGaN/GaN Quantum Well Structures with Different Numbers of Quantum Wells. Materials, 11(9), 1736. https://doi.org/10.3390/ma11091736

