Origin of the Low Magnetic Moment in Fe2AlTi: An Ab Initio Study
Abstract
1. Introduction
2. Materials and Methods
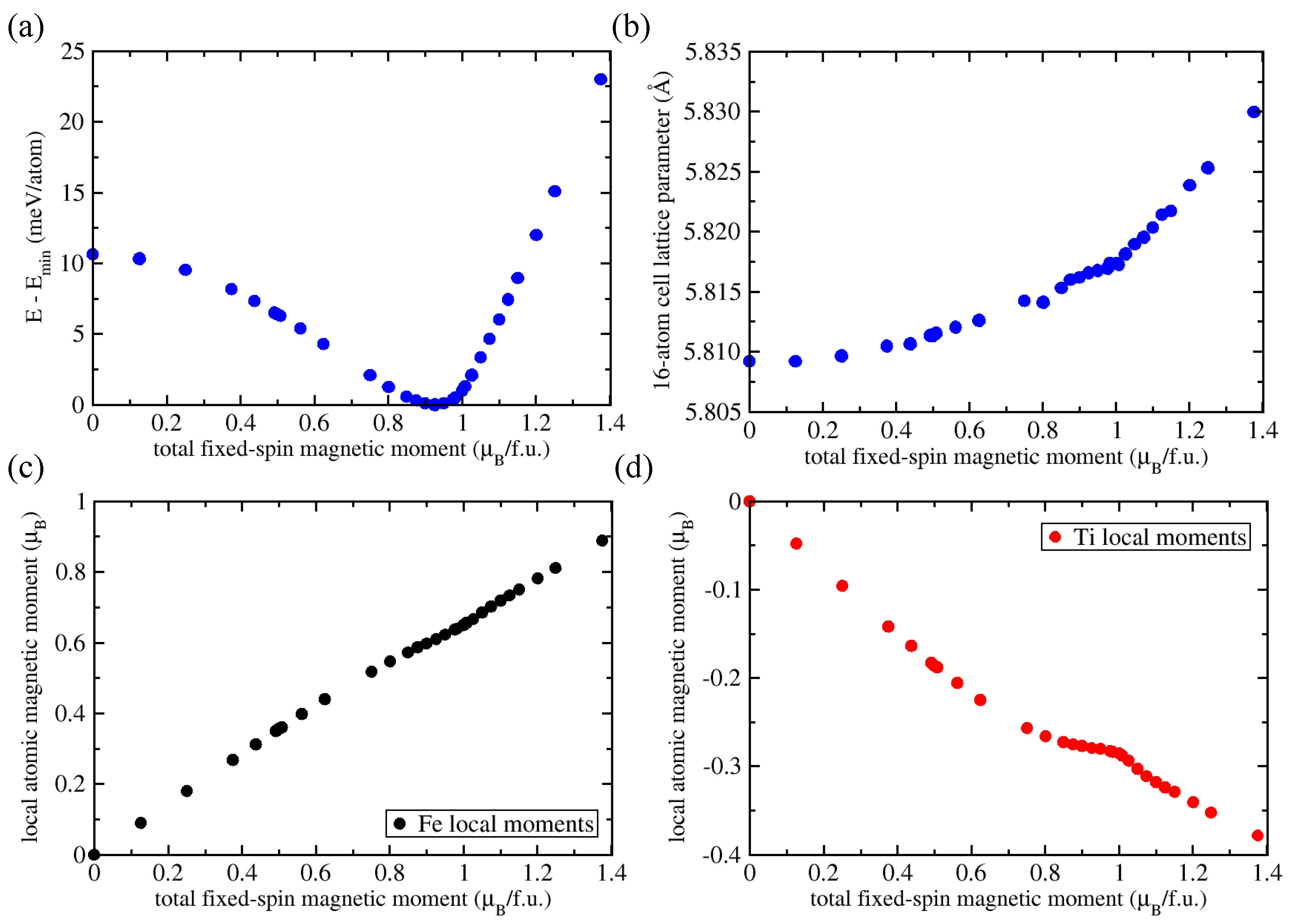
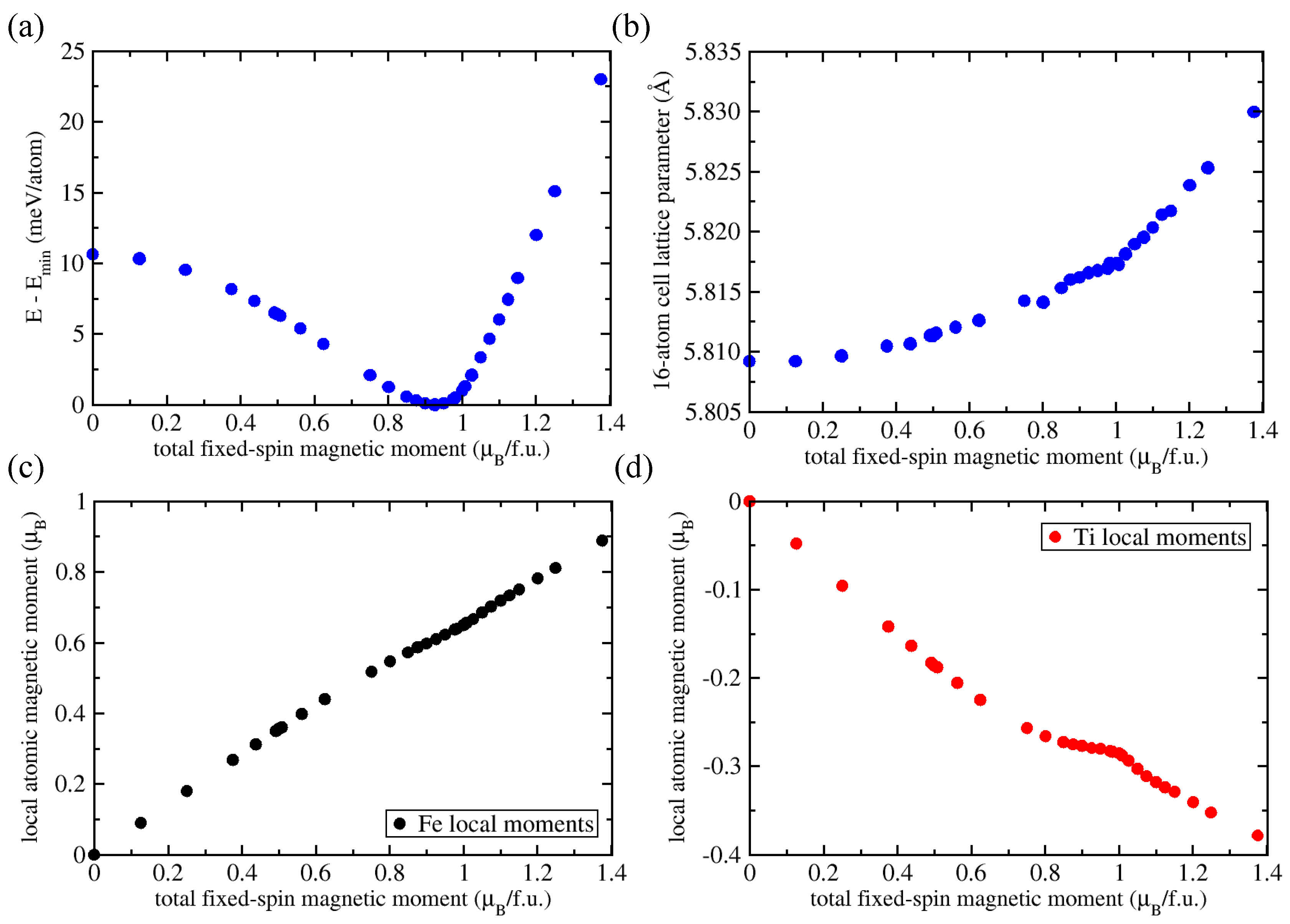
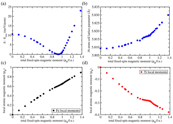
3. Results
4. Discussion
5. Conclusions
Author Contributions
Funding
Acknowledgments
Conflicts of Interest
References
- Zwicker, U.; Breme, J.; Nigge, K. Mikrochim. Acta Suppl. 1985, 11, 333. [Google Scholar]
- Zwicker, U. Investigations on the TiAl5Fe2.5 alloy as implant material. Z. Metallkd. 1986, 77, 714–720. [Google Scholar]
- Jung, I.H.; Decterov, S.A.; Pelton, A.D. Computer applications of thermodynamic databases to inclusion engineering. ISIJ Int. 2004, 44, 527–536. [Google Scholar] [CrossRef]
- Gorzel, A.; Palm, M.; Sauthoff, G. Constitution-based alloy selection for the screening of intermetallic Ti-Al-Fe alloys. Z. Metallkd. 1999, 90, 64–70. [Google Scholar]
- Palm, M. Concepts derived from phase diagram studies for the strengthening of Fe-Al-based alloys. Intermetallics 2005, 13, 1286–1295. [Google Scholar] [CrossRef]
- Brady, M.P.; Smialek, J.L.; Brindley, W.J. Oxidation-Resistant Ti-Al-Fe Alloy for Diffusion Barrier Coatings. US Patent No. 5,776,617, 7 July 1998. [Google Scholar]
- Dew-Hughes, D.; Kaufman, L. Ternary phase diagrams of the manganese-titanium-iron and the aluminum-titanium-iron systems: A comparison of computer calculations with experiment. Calphad 1979, 3, 175–203. [Google Scholar] [CrossRef]
- Raghavan, V. Al-Fe-Ti (aluminum-iron-titanium). J. Phase Equilib. 1993, 14, 618–619. [Google Scholar] [CrossRef]
- Raghavan, V. Al-Fe-Ti (Aluminum-Iron-Titanium). J. Phase Equilib. 2002, 23, 367–374. [Google Scholar] [CrossRef]
- Krein, R.; Palm, M.; Heilmaier, M. Characterization of microstructures, mechanical properties, and oxidation behavior of coherent A2+L21 Fe-Al-Ti. J. Mater. Res. 2009, 24, 3412–3421. [Google Scholar] [CrossRef]
- Capdevila, C.; Aranda, M.M.; Rementeria, R.; Chao, J.; Urones-Garrote, E.; Aldazabal, J.; Miller, M.K. Strengthening by intermetallic nanoprecipitation in Fe-Cr-Al-Ti alloy. Acta Mater. 2016, 107, 27–37. [Google Scholar] [CrossRef]
- Nakata, J.; Terada, Y.; Takizawa, S.; Ohkubo, K.; Mohri, T.; Suzuki, T. Thermal conductivity in X2YZ heusler type intermetallic compounds. Mater. Trans. JIM 1996, 37, 442–447. [Google Scholar] [CrossRef]
- Kainuma, R.; Urushiyama, K.; Ishikawa, K.; Jia, C.; Ohnuma, I.; Ishida, K. Ordering and phase separation in bcc aluminides of the Ni-Fe-Al-Ti system. Mater. Sci. Eng. A 1997, 240, 235–244. [Google Scholar] [CrossRef]
- Fomina, K.A.; Marchenkov, V.V.; Shreder, E.I.; Weber, H.W. Electrical and optical properties of X2YZ (X = Co, Fe; Y = Cr, Mn, Ti; Z = Ga, Al, Si) Heusler alloys. In Solid State Phenomena; Trends in Magnetism; Ustinov, V., Ed.; Russian Academy of Sciences, Institute for Metal Physics: Saint Petersburg, Russia, 2011; Volume 168–169, p. 545. [Google Scholar] [CrossRef]
- Brzakalik, K. Nearest-neighbor configurations of Fe atoms in Fe3−xTixAl ordered alloys. Intermetallics 2008, 16, 1053–1060. [Google Scholar] [CrossRef]
- Suzuki, R.; Kyono, T. Thermoelectric properties of Fe2TiAl heusler alloys. J. Alloys Compd. 2004, 377, 38–42. [Google Scholar] [CrossRef]
- Palm, M.; Lacaze, J. Assessment of the Al-Fe-Ti system. Intermetallics 2006, 14, 1291–1303. [Google Scholar] [CrossRef]
- Krein, R.; Friak, M.; Neugebauer, J.; Palm, M.; Heilmaier, M. L21-ordered Fe-Al-Ti alloys. Intermetallics 2010, 18, 1360–1364. [Google Scholar] [CrossRef]
- Palm, M.; Inden, G.; Thomas, N. The Fe-Al-Ti system. J. Phase Equilib. 1995, 16, 209–222. [Google Scholar] [CrossRef]
- Palm, M.; Sauthoff, G. Deformation behaviour and oxidation resistance of single-phase and two-phase L21-ordered Fe-Al-Ti alloys. Intermetallics 2004, 12, 1345–1359. [Google Scholar] [CrossRef]
- Michalcova, A.; Sencekova, L.; Rolink, G.; Weisheit, A.; Pesicka, J.; Stobik, M.; Palm, M. Laser additive manufacturing of iron aluminides strengthened by ordering, borides or coherent Heusler phase. Mater. Des. 2017, 116, 481–494. [Google Scholar] [CrossRef]
- Gilleßen, M.; Dronskowski, R. A combinatorial study of full Heusler alloys by first-principles computational methods. J. Comput. Chem 2009, 30, 1290–1299. [Google Scholar] [CrossRef] [PubMed]
- Gilleßen, M.; Dronskowski, R. A combinatorial study of inverse Heusler alloys by first-principles computational methods. J. Comput. Chem 2010, 31, 612–619. [Google Scholar] [CrossRef] [PubMed]
- Adebambo, P.O.; Adetunji, B.I.; Olowofela, J.A.; Oguntuase, J.A.; Adebayo, G.A. Prediction of metallic and half-metallic structure and elastic properties of Fe2Ti1−xMnxAl Heusler alloys. Phys. B Condens. Matter 2016, 485, 103–109. [Google Scholar] [CrossRef]
- Xian-Kun, L.; Cong, L.; Zhou, Z.; Xiao-Hua, L. First-principles investigation on the structural and elastic properties of cubic-Fe2TiAl under high pressures. Chin. Phys. B 2013, 22. [Google Scholar]
- Kourov, N.I.; Marchenkov, V.V.; Belozerova, K.A.; Weber, H.W. Specific Features of the Electrical Resistivity of Half-Metallic Ferromagnets Fe2MeAl (Me = Ti, V, Cr, Mn, Fe, Ni). J. Exp. Theor. Phys. 2014, 118, 426–431. [Google Scholar] [CrossRef]
- Shreder, E.; Streltsov, S.V.; Svyazhin, A.; Lukoyanov, A.; Anisimov, V. Electronic structure and physical properties of Fe2MAl (M = Ti, V, Cr) Heusler alloys. In Proceedings of the Third International Symposium on Magnetism, Moscow, Russia, 26–30 June 2005. [Google Scholar]
- Shreder, E.; Streltsov, S.V.; Svyazhin, A.; Makhnev, A.; Marchenkov, V.V.; Lukoyanov, A.; Weber, H.W. Evolution of the electronic structure and physical properties of Fe(2)MeAl (Me = Ti, V, Cr) Heusler alloys. J. Phys. Condens. Matter 2008, 20. [Google Scholar] [CrossRef]
- Buschow, K.H.J.; van Engen, P.G. Magnetic and magneto-optical properties of Heusler alloys based on aluminum and gallium. J. Mag. Mag. Mater. 1981, 25, 90–96. [Google Scholar] [CrossRef]
- Slebarski, A.; Goraus, J.; Deniszczyk, J.; Skoczen, L. Electronic structure, magnetic properties and electrical resistivity of the Fe2V1−xTixAl Heusler alloys: experiment and calculation. J. Phys. Condens. Matter 2006, 18, 10319–10334. [Google Scholar] [CrossRef] [PubMed]
- Friák, M.; Hickel, T.; Körmann, F.; Udyansky, A.; Dick, A.; von Pezold, J.; Ma, D.; Kim, O.; Counts, W.A.; Šob, M.; Gebhardt, T.; Music, D.; Schneider, J.; Raabe, D.; Neugebauer, J. Determining the Elasticity of Materials Employing Quantum-mechanical Approaches: From the Electronic Ground State to the Limits of Materials Stability. Steel Res. Int. 2011, 82, 86–100. [Google Scholar] [CrossRef]
- Handbook of Chemistry and Physics; CRC Press: Boca Raton, FL, USA, 1928.
- Hohenberg, P.; Kohn, W. Inhomogeneous electron gas. Phys. Rev. B 1964, 136, B864–B871. [Google Scholar] [CrossRef]
- Kohn, W.; Sham, L.J. Self-consistent equations including exchange and correlation effects. Phys. Rev. A 1965, 140, A1133–A1138. [Google Scholar] [CrossRef]
- Kresse, G.; Hafner, J. Ab initio molecular dynamics for liquid metals. Phys. Rev. B 1993, 47, 558–561. [Google Scholar] [CrossRef]
- Kresse, G.; Furthmüller, J. Efficient iterative schemes for ab initio total-energy calculations using a plane-wave basis set. Phys. Rev. B 1996, 54, 11169–11186. [Google Scholar] [CrossRef]
- Blöchl, P.E. Projector augmented-wave method. Phys. Rev. B 1994, 50, 17953–17979. [Google Scholar] [CrossRef]
- Kresse, G.; Joubert, D. From ultrasoft pseudopotentials to the projector augmented-wave method. Phys. Rev. B 1999, 59, 1758–1775. [Google Scholar] [CrossRef]
- Perdew, J.P.; Wang, Y. Accurate and simple analytic representation of the electron-gas correlation energy. Phys. Rev. B 1992, 45, 13244–13249. [Google Scholar] [CrossRef]
- Vosko, S.H.; Wilk, L.; Nusair, M. Accurate spin-dependent electron liquid correlation energies for local spin density calculations: a critical analysis. Can. J. Phys. 1980, 58, 1200. [Google Scholar] [CrossRef]
- Williams, A.R.; Moruzzi, V.L.; Kübler, J.; Schwarz, K. Bull. Am. Phys. Soc. 1984, 29, 278.
- Schwarz, K.; Mohn, P. Itinerant metamagnetism in YCo2. J. Phys. F 1984, 14, L129–L134. [Google Scholar] [CrossRef]
- Podgórny, M.; Thon, M.; Wagner, D. Electronic-structure and thermodynamic properties of Fe-Pt alloys. J. Magn. Magn. Mater. 1992, 104, 703–704. [Google Scholar] [CrossRef]
- Singh, D.J.; Klein, B.M. Electronic-structure, lattice stability, and superconductivity of CrC. Phys. Rev. B 1992, 46, 14969–14974. [Google Scholar] [CrossRef]
- Entel, P.; Hoffmann, E.; Mohn, P.; Schwarz, K.; Moruzzi, V.L. 1st-principles calculations of the instability leading to the invar effect. Phys. Rev. B 1993, 47, 8706–8720. [Google Scholar] [CrossRef]
- Wu, S.Q.; Hou, Z.F.; Zhu, Z.Z. Elastic properties and electronic structures of CdCNi3: A comparative study with MgCNi3. Solid State Sci. 2009, 11, 251–258. [Google Scholar] [CrossRef]
- Hsueh, H.; Crain, J.; Guo, G.; Chen, H.; Lee, C.; Chang, K.; Shih, H. Magnetism and mechanical stability of α-iron. Phys. Rev. B 2002, 66. [Google Scholar] [CrossRef]
- Fecher, G.H.; Chadov, S.; Felser, C. Theory of the Half-Metallic Heusler Compounds. In Spintronics, From Materials to Devices; Felser, C., Fecher, G.H., Eds.; Springer: Dordrecht/Heidelberg, Germany; New York, NY, USA; London, UK, 2013; pp. 115–166. [Google Scholar]
- Brzakalik, K.; Frackowiak, J. A Mossbauer and structural study of disordered alloys Fe3−xTixAl (0 < x <1). Nukleonika 2003, 48, S13–S16. [Google Scholar]
- Yan, X.; Grytsiv, A.; Rogl, P.; Pomjakushin, V.; Palm, M. The Heusler Phase Ti25(Fe50−xNix)Al25 (0 <= x <= 50); Structure and Constitution. J. Phase Equilib. Diffus. 2008, 29, 500–508. [Google Scholar] [CrossRef]
- Momma, K.; Izumi, F. An integrated three-dimensional visualization system VESTA using wxWidgets. Comm. Crystallogr. Comput. IUCr Newslett. 2006, 7, 106. [Google Scholar] [CrossRef]
- Momma, K.; Izumi, F. VESTA: a three-dimensional visualization system for electronic and structural analysis. J. Appl. Crystallogr. 2008, 41, 653–658. [Google Scholar] [CrossRef]
- Momma, K.; Izumi, F. VESTA 3 for three-dimensional visualization of crystal, volumetric and morphology data. J. Appl. Crystallogr. 2011, 44, 1272–1276. [Google Scholar] [CrossRef]




© 2018 by the authors. Licensee MDPI, Basel, Switzerland. This article is an open access article distributed under the terms and conditions of the Creative Commons Attribution (CC BY) license (http://creativecommons.org/licenses/by/4.0/).
Share and Cite
Friák, M.; Slávik, A.; Miháliková, I.; Holec, D.; Všianská, M.; Šob, M.; Palm, M.; Neugebauer, J. Origin of the Low Magnetic Moment in Fe2AlTi: An Ab Initio Study. Materials 2018, 11, 1732. https://doi.org/10.3390/ma11091732
Friák M, Slávik A, Miháliková I, Holec D, Všianská M, Šob M, Palm M, Neugebauer J. Origin of the Low Magnetic Moment in Fe2AlTi: An Ab Initio Study. Materials. 2018; 11(9):1732. https://doi.org/10.3390/ma11091732
Chicago/Turabian StyleFriák, Martin, Anton Slávik, Ivana Miháliková, David Holec, Monika Všianská, Mojmír Šob, Martin Palm, and Jörg Neugebauer. 2018. "Origin of the Low Magnetic Moment in Fe2AlTi: An Ab Initio Study" Materials 11, no. 9: 1732. https://doi.org/10.3390/ma11091732
APA StyleFriák, M., Slávik, A., Miháliková, I., Holec, D., Všianská, M., Šob, M., Palm, M., & Neugebauer, J. (2018). Origin of the Low Magnetic Moment in Fe2AlTi: An Ab Initio Study. Materials, 11(9), 1732. https://doi.org/10.3390/ma11091732

