Electrophysical Properties of the PMN–PT–PS Solid Solution
Abstract
1. Introduction
2. Experimental
2.1. Preparation of the Ceramic Materials
- (i).
- 0.9(0.75 PbMg1/3Nb2/3O3–0.25 PbTiO3)–0.1 PbSnO3 (PPP0.25),
- (ii).
- 0.9(0.72 PbMg1/3Nb2/3O3–0.28 PbTiO3)–0.1 PbSnO3 (PPP0.28),
- (iii).
- 0.9(0.69 PbMg1/3Nb2/3O3–0.31 PbTiO3)–0.1 PbSnO3 (PPP0.31),
- (iv).
- 0.9(0.66 PbMg1/3Nb2/3O3–0.34 PbTiO3)–0.1 PbSnO3 (PPP0.34),
- (v).
- 0.9(0.63 PbMg1/3Nb2/3O3–0.37 PbTiO3)–0.1 PbSnO3 (PPP0.37),
- (vi).
- 0.9(0.60 PbMg1/3Nb2/3O3–0.40 PbTiO3)–0.1 PbSnO3 (PPP0.40).
2.2. Characterization
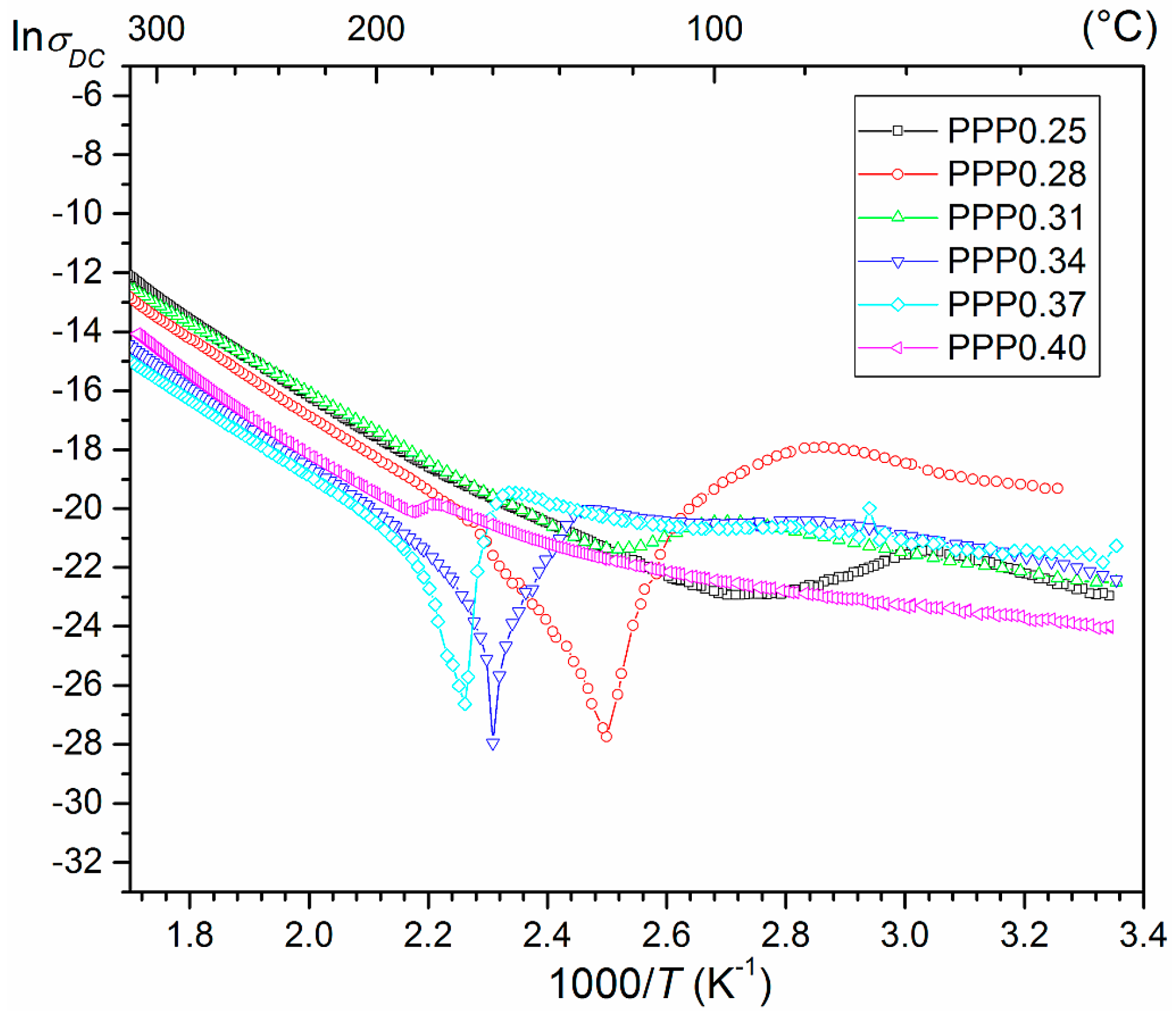
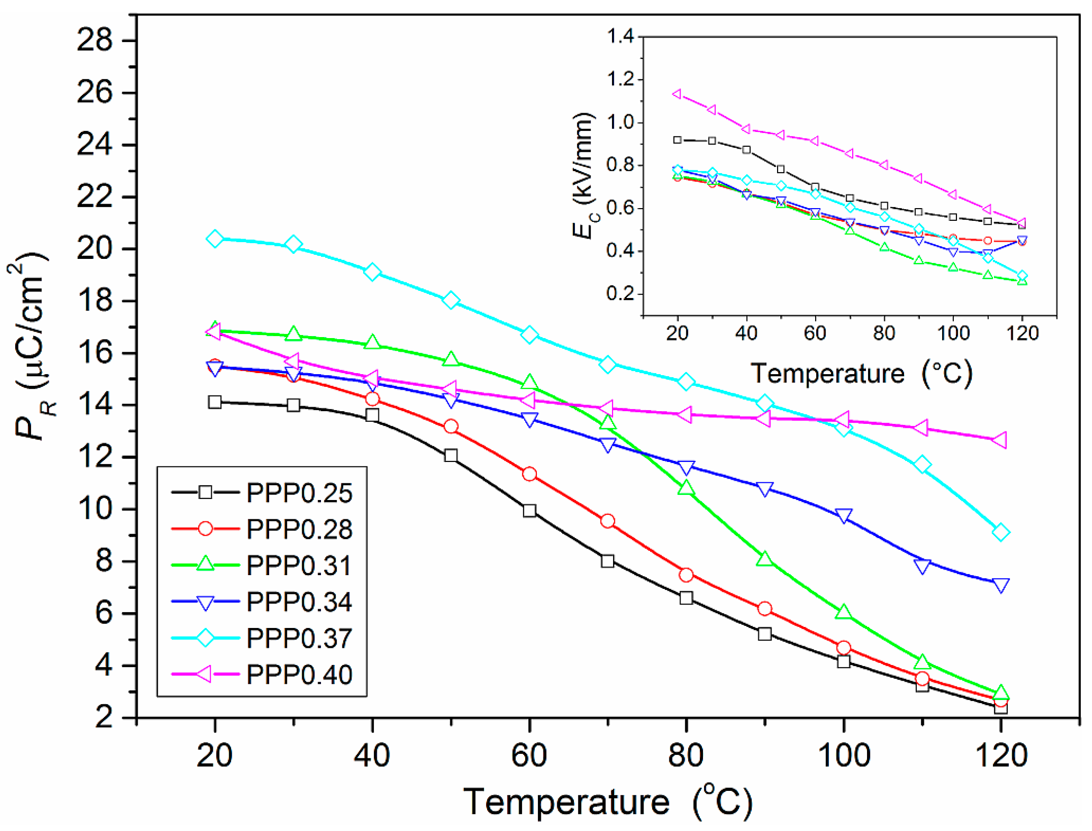
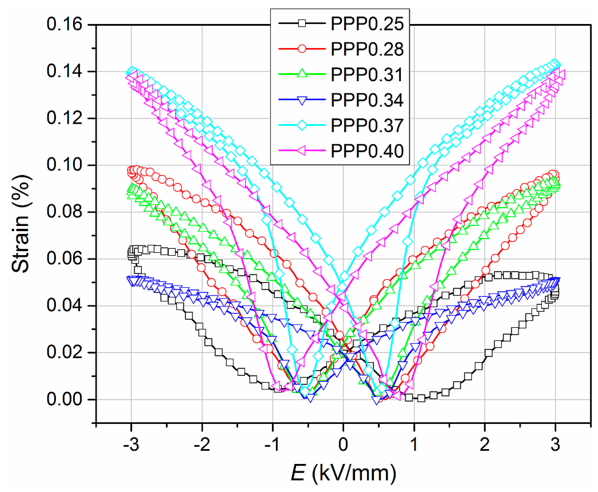
3. Results and Discussion
4. Conclusions
Author Contributions
Funding
Acknowledgments
Conflicts of Interest
References
- Angadi, B.; Jali, V.M.; Lagare, M.T.; Bhat, V.V.; Umarji, A.M.; Kumar, R. Radiation resistance of PFN and PMN–PT relaxor ferroelectrics. Radiat. Meas. 2003, 36, 635–638. [Google Scholar] [CrossRef]
- Shrout, T.R.; Chang, Z.P.; Kim, N.; Markgraf, S. Dielectric behavior of single crystals near the (1-x)PbMg1/3Nb2/3O3–xPbTiO3 morphotropic phase boundary. Ferroelectr. Lett. Sect. 1990, 12, 63–69. [Google Scholar] [CrossRef]
- Noheda, B.; Cox, D.E.; Shirane, G.; Gao, J.; Ye, Z.-G. Phase diagram of the ferroelectric relaxor (1-x)PbMg1/3Nb2/3O3–xPbTiO3. Phys. Rev. B 2002, 66, 054104. [Google Scholar] [CrossRef]
- Zekria, D.; Glazer, A.M. Automatic determination of the morphotropic phase boundary in lead magnesium niobate titanate Pb(Mg1/3Nb2/3)(1-x)TixO3 within a single crystal using birefringence imaging. J. Appl. Cryst. 2004, 37, 143–149. [Google Scholar] [CrossRef]
- Gehring, P.M.; Chen, W.; Ye, Z.G.; Shirane, G. The non-rhombohedral low-temperature structure of PMN–10% PT. J. Phys. Condens. Matter. 2004, 16, 7113. [Google Scholar] [CrossRef]
- Zekria, D.; Shuvaeva, V.A.; Glazer, A.M. Birefringence imaging measurements on the phase diagram of Pb(Mg1/3Nb2/3)O3–PbTiO3. J. Phys. Condens. Matter. 2005, 17, 1593. [Google Scholar] [CrossRef]
- Shuvaeva, V.A.; Glazer, A.M.; Zekria, D. The macroscopic symmetry of Pb(Mg1/3Nb2/3)1−xTixO3 in the morphotropic phase boundary region (x = 0.25–0.5). J. Phys. Condens. Matter. 2005, 17, 5709. [Google Scholar] [CrossRef]
- Noheda, B. Structure and high-piezoelectricity in lead oxide solid solutions. Curr. Opin. Solid State Mater. 2002, 6, 27–34. [Google Scholar] [CrossRef]
- La-Orauttapong, D.; Noheda, B.; Ye, Z.-G.; Gehring, P.M.; Toulouse, J.; Cox, D.E. Phase diagram of the relaxor ferroelectric (1-x)Pb(Zn1/3Nb2/3)O3−xPbTiO3. Phys. Rev. B 2002, 65, 144101. [Google Scholar] [CrossRef]
- Skulski, R.; Wawrzała, P.; Korzekwa, J.; Szymonik, M. The electrical conductivity of PMN–PT ceramics. Arch. Metall. Mater. 2009, 54, 717–723. [Google Scholar]
- Skulski, R.; Wawrzała, P.; Bochenek, D.; Ćwikiel, K. Dielectric and electromechanical behaviors of PMN–PT ceramic samples. J. Intell. Mater. Syst. Struct. 2007, 18, 1049–1056. [Google Scholar] [CrossRef]
- Niemiec, P.; Skulski, R.; Bochenek, D.; Wawrzała, P. Technology and properties PMN–PT–PS–PFN:Li material for multilayer capacitor. Arch. Metall. Mater. 2013, 58, 1313–1316. [Google Scholar] [CrossRef]
- Cross, L.E. Relaxor Ferroelectrics: An Overview. Ferroelectrics 1994, 151, 305–320. [Google Scholar] [CrossRef]
- Newnham, R.E.; Sundar, V.; Yimnurun, R.; Su, J.; Zhang, Q.M. Electrostriction in dielectric materials. Ceram. Trans. 1998, 88, 15–39. [Google Scholar]
- Viehland, D.; Li, J.F. Investigations of electrostrictive Pb(Mg1/3Nb2/3)O3–PbTiO3 ceramics under high-power drive conditions: Importance of compositional fluctuations on residual hysteresis. J. Appl. Phys. 2001, 89, 1826–1835. [Google Scholar] [CrossRef]
- Guishing, X.; Luo, H.; Wang, P.; Zhenyi, Q.; Zhiwen, Y. Ferroelectric phase transition in relaxor ferroelectric single crystals 0.76PMN–0.24PT. Chin. Sci. Bull. 2000, 45, 1380–1385. [Google Scholar]
- Choi, S.W.; Shrout, T.R.; Jang, S.J.; Bhalla, A.S. Dielectric and Pyroelectric Properties in the Pb(Mg1/3Nb2/3)O3–PbTiO3 System. Ferroelectrics 1989, 100, 29–38. [Google Scholar] [CrossRef]
- Ho, J.C.; Liu, K.S.; Lin, I.N. Study of ferroelectricity in the PMN-PT system near the morphotropic phase boundary. J. Mater. Sci. 1993, 28, 4497–4502. [Google Scholar] [CrossRef]
- Skulski, R.; Bochenek, D.; Wawrzała, P. Technology, physical properties and phase transitions in PMN-PT-PS ceramics. Arch. Metall. Mater. 2011, 56, 1051–1056. [Google Scholar] [CrossRef]
- Zhai, J.; Shen, B.; Zhang, L.; Yao, X. Preparation and dielectric properties by sol-gel derived PMN–PT powder and ceramic. Mater. Chem. Phys. 2000, 64, 1–4. [Google Scholar]
- Bochenek, D.; Surowiak, Z.; Krok-Kowalski, J.; Poltierova-Vejpravova, J. Influence of the sintering conditions on the physical proprieties of the ceramic PFN multiferroics. J. Electroceram. 2010, 25, 122–129. [Google Scholar] [CrossRef]
- Singh, A.K.; Pandey, D. Evidence for MB and MC phases in the morphotropic phase boundary region of (1-x)PbMg1/3Nb2/3O3–xPbTiO3: A Rietveld study. Phys. Rev. B 2003, 67, 64102. [Google Scholar] [CrossRef]
- Koval, V.; Briančin, J. Microstructure and electrical response of 0.9Pb(Mg1/3Nb2/3)O3-0.1PbTiO3 relaxor ceramics. Ceram. Silikáty 2003, 47, 8–12. [Google Scholar]
- Tailor, H.N.; Bokov, A.A.; Ye, Z.-G. Dielectric characterization of (1-x)PMN–xPT (x = 0.07 and 0.10) ceramics synthesized by an ethylene glycol-based soft chemical route. IEEE Trans. Ultrason. Ferroelectr. Freq. Control 2011, 58, 1920–1927. [Google Scholar] [CrossRef] [PubMed]
- Perantie, J. Electric-Field-Induced Dielectric and Caloric Effect in Relaxor Ferroelectrics; University of Oulu: Oulu, Finland, 2014. [Google Scholar]
- Jo, W.; Dittmer, R.; Acosta, M.; Zang, J.; Groh, C.; Sapper, E.; Wang, K.; Rödel, J. Giant electric-field-induced strains in lead-free ceramics for actuator applications—Status and perspective. J. Electroceram. 2012, 29, 71–93. [Google Scholar] [CrossRef]
- Karapuzha, A.S.; James, N.K.; Khanbareh, H.; van der Zwaag, S.; Groen, W.A. Structure, dielectric and piezoelectric properties of donor doped PZT ceramics across the phase diagram. Ferroelectrics 2016, 504, 160–171. [Google Scholar] [CrossRef]
- Kumar, P.; Sharma, S.; Singh, S.; Thakur, O.P.; Prakash, C.; Goel, T.C. Structural and Electrostrictive Behaviour in PMN-PT (68:32) Ceramics. Ferroelectrics 2005, 326, 55–60. [Google Scholar] [CrossRef]











| Parameter | PPP0.25 | PPP0.28 | PPP0.31 | PPP0.34 | PPP0.37 | PPP0.40 |
|---|---|---|---|---|---|---|
| Pphase (%) | 90.58 | 91.04 | 90.80 | 86.54 | 89.37 | 88.82 |
| Tm (°C) a | 74 | 93 | 104 | 129 | 150 | 161 |
| εr a | 3870 | 2770 | 2670 | 2825 | 2905 | 2370 |
| εmax a | 8860 | 10,333 | 11,275 | 11,902 | 12,695 | 13,270 |
| tanδ at Tr a | 0.044 | 0.035 | 0.033 | 0.050 | 0.033 | 0.031 |
| tanδ at Tm a | 0.025 | 0.020 | 0.021 | 0.042 | 0.034 | 0.033 |
| EC (kV/mm) b | 0.919 | 0.745 | 0.753 | 0.781 | 0.78 | 1.133 |
| PR (μC/cm) b | 14.11 | 15.50 | 16.86 | 15.46 | 20.39 | 16.81 |
| Ps (μC/cm) b | 18.83 | 19.14 | 21.40 | 20.64 | 22.31 | 18.07 |
| arec | 0.76 | 0.74 | 0.71 | 0.70 | 0.74 | 0.73 |
| (pm/V) c | 153.5 | 313.5 | 295.2 | 169.5 | 476.2 | 446.3 |
| Oxide Formula | PPP0.25 | PPP0.28 | PPP0.31 | PPP0.34 | PPP0.37 | PPP0.40 | ||||||
|---|---|---|---|---|---|---|---|---|---|---|---|---|
| th. (%) | ex. (%) | th. (%) | ex. (%) | th. (%) | ex. (%) | th. (%) | ex. (%) | th. (%) | ex. (%) | th. (%) | ex. (%) | |
| PbO | 66.60 | 65.26 | 66.48 | 63.99 | 66.37 | 63.75 | 66.25 | 63.92 | 66.14 | 63.17 | 66.03 | 62.90 |
| MgO | 2.64 | 2.42 | 2.52 | 2.36 | 2.41 | 2.28 | 2.29 | 2.45 | 2.18 | 2.09 | 2.06 | 2.15 |
| Nb2O5 | 20.56 | 22.53 | 20.14 | 22.96 | 19.73 | 22.30 | 19.33 | 22.41 | 18.93 | 22.01 | 18.53 | 21.99 |
| TiO2 | 5.81 | 5.93 | 6.48 | 6.61 | 7.14 | 7.53 | 7.80 | 8.19 | 8.45 | 8.88 | 9.09 | 9.27 |
| SnO2 | 4.39 | 3.85 | 4.37 | 4.08 | 4.35 | 4.14 | 4.33 | 3.98 | 4.31 | 3.84 | 4.29 | 3.69 |
© 2018 by the authors. Licensee MDPI, Basel, Switzerland. This article is an open access article distributed under the terms and conditions of the Creative Commons Attribution (CC BY) license (http://creativecommons.org/licenses/by/4.0/).
Share and Cite
Bochenek, D.; Skulski, R.; Niemiec, P. Electrophysical Properties of the PMN–PT–PS Solid Solution. Materials 2018, 11, 1292. https://doi.org/10.3390/ma11081292
Bochenek D, Skulski R, Niemiec P. Electrophysical Properties of the PMN–PT–PS Solid Solution. Materials. 2018; 11(8):1292. https://doi.org/10.3390/ma11081292
Chicago/Turabian StyleBochenek, Dariusz, Ryszard Skulski, and Przemysław Niemiec. 2018. "Electrophysical Properties of the PMN–PT–PS Solid Solution" Materials 11, no. 8: 1292. https://doi.org/10.3390/ma11081292
APA StyleBochenek, D., Skulski, R., & Niemiec, P. (2018). Electrophysical Properties of the PMN–PT–PS Solid Solution. Materials, 11(8), 1292. https://doi.org/10.3390/ma11081292

