Facile Preparation and Characterization of Short-Fiber and Talc Reinforced Poly(Lactic Acid) Hybrid Composite with In Situ Reactive Compatibilizers
Abstract
1. Introduction
2. Materials and Methods
2.1. Materials
2.2. Preparation of PLA/NF Particles
2.3. Facile Preparation of Hybrid Fillers between Natural Fiber and Talc
2.4. Facile Preparation of PLA Composites and PLA/NF/Talc Hybrid Composites
2.5. Tensile Specimens Preparation
2.6. Testing and Characterization
2.6.1. Mechanical Properties
2.6.2. Morphological Observation
2.6.3. Dynamic-Mechanical Thermal Analysis (DMTA)
2.6.4. Differential Scanning Calorimetry (DSC)
3. Results
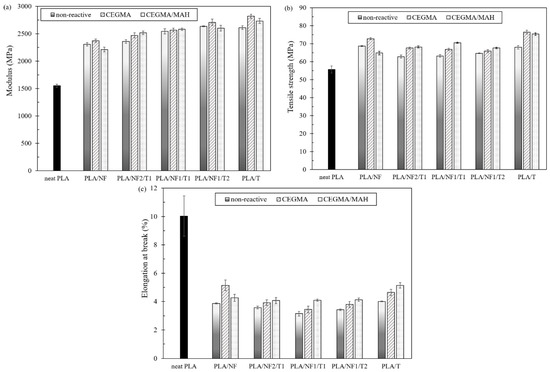
3.1. Mechanical Properties
3.2. Morphological Observation
3.3. Dynamic-Mechanical Thermal Analysis (DMTA)
3.4. Differential Scanning Calorimetry (DSC)
4. Discussion
5. Conclusions
Author Contributions
Funding
Acknowledgments
Conflicts of Interest
References
- Fu, S.-Y.; Xu, G. On the elastic modulus of hybrid particle/short-fiber/polymer composites. Compos. Part B Eng. 2002, 33, 291–299. [Google Scholar] [CrossRef]
- Hartikainen, J.; Hine, P. Polypropylene hybrid composites reinforced with long glass fibres and particulate filler. Compos. Sci. Technol. 2005, 65, 257–267. [Google Scholar] [CrossRef]
- Thwe, M.M.; Liao, K. Durability of bamboo-glass fiber reinforced polymer matrix hybrid composites. Compos. Sci. Technol. 2003, 63, 375–387. [Google Scholar] [CrossRef]
- Huda, M.S.; Drzal, L.T. The effect of silane treated- and untreated-talc on the mechanical and physico-mechanical properties of poly(lactic acid)/newspaper fibers/talc hybrid composites. Compos. Part B Eng. 2007, 38, 367–379. [Google Scholar] [CrossRef]
- Singh, S.; Mohanty, A.K. Hybrid bio-composite from talc, wood fiber and bioplastic: Fabrication and characterization. Compos. Part A Appl. Sci. Manuf. 2010, 41, 304–312. [Google Scholar] [CrossRef]
- Lee, S.H.; Wang, S. Isothermal crystallization behavior of hybrid biocomposite consisting of regenerated cellulose fiber, clay, and poly(lactic acid). J. Appl. Polym. Sci. 2008, 108, 870–875. [Google Scholar] [CrossRef]
- Piekarska, K.; Sowinski, P. Structure and properties of hybrid PLA nanocomposites with inorganic nanofillers and cellulose fibers. Compos. Part A Appl. Sci. Manuf. 2016, 82, 34–41. [Google Scholar] [CrossRef]
- Senturk, O.; Senturk, A.E. Evaluation of hybrid effect on the thermomechanical and mechanical properties of calcite/SGF/PP hybrid composites. Compos. Part B Eng. 2018, 140, 68–77. [Google Scholar] [CrossRef]
- De Oliveira Sousa Neto, V.; Saraiva, G.D. 11—Hybrid polymers composite: Effect of hybridization on the some propers of the materials. In Hybrid Polymer Composite Materials: Processing; Woodhead Publishing: Cambridge, UK, 2017; pp. 291–312. [Google Scholar]
- Nanthananon, P.; Seadan, M. Reactive Compatibilization of Short-Fiber Reinforced Polylactic acid Biocomposites. J. Renew. Mater. 2018, in press. [Google Scholar]
- Barletta, M.; Moretti, P. Engineering of Poly Lactic Acids (PLAs) for melt processing: Material structure and thermal properties. J. Appl. Polym. Sci. 2017, 134. [Google Scholar] [CrossRef]
- Barletta, M.; Pizzi, E. Thermal behavior of extruded and injection-molded poly(lactic acid)–Talc engineered biocomposites: Effects of material design, thermal history, and shear stresses during melt processing. J. Appl. Polym. Sci. 2017, 134, 45179. [Google Scholar] [CrossRef]
- Zheng, Y.; Gu, F. Improving Mechanical Properties of Recycled Polypropylene-based Composites Using TAGuchi and ANOVA Techniques. Procedia CIRP 2017, 61, 287–292. [Google Scholar] [CrossRef]
- Faruk, O.; Bledzki, A.K. Biocomposites reinforced with natural fibers: 2000–2010. Prog. Polym. Sci. 2012, 37, 1552–1596. [Google Scholar] [CrossRef]
- Yang, N.; Zhang, Z.-C. Effect of surface modified kaolin on properties of polypropylene grafted maleic anhydride. Results Phys. 2017, 7, 969–974. [Google Scholar] [CrossRef]
- Pradipta, R.; Mardiyati. Effect of maleic anhydride treatment on the mechanical properties of sansevieria fiber/vinyl ester composites. AIP Conf. Proc. 2017, 1823, 020097. [Google Scholar] [CrossRef]
- Chow, W.S.; Tham, W.L. Effects of maleated-PLA compatibilizer on the properties of poly(lactic acid)/halloysite clay composites. J. Thermoplast. Compos. Mater. 2012, 26, 1349–1363. [Google Scholar] [CrossRef]
- Li, L.; Song, G. Novel biodegradable polylactide/poly(butylene succinate) composites via cross-linking with methylene diphenyl diisocyanate. Polym. Plast. Technol. Eng. 2013, 52, 1183–1187. [Google Scholar] [CrossRef]
- Meng, M.; Haiming, Z. Super-toughened poly(l-lactic acid) fabricated via reactive blending and interfacial compatibilization. Polym. Int. 2016, 65, 1187–1194. [Google Scholar] [CrossRef]
- Ruyin, W.; Shifeng, W. Toughening modification of PLLA/PBS blends via in situ compatibilization. Polym. Eng. Sci. 2009, 49, 26–33. [Google Scholar] [CrossRef]
- Ma, P.; Hristova-Bogaerds, D.G.; Lemstra, P.J.; Zhang, Y.; Wang, S. Toughening of PHBV/PBS and PHB/PBS blends via In situ compatibilization using dicumyl peroxide as a free-radical grafting initiator. Macromol. Mater. Eng. 2012, 297, 402–410. [Google Scholar] [CrossRef]
- Ojijo, V.; Sinha Ray, S. Toughening of biodegradable polylactide/poly(butylene succinate-co-adipate) blends via in situ reactive compatibilization. Polymer 2013, 5, 4266–4276. [Google Scholar] [CrossRef] [PubMed]
- Sun, Q.; Mekonnen, T. Novel biodegradable cast film from carbon dioxide based copolymer and poly(lactic acid). J. Polym. Environ. 2016, 24, 23–36. [Google Scholar] [CrossRef]
- Arruda, L.C.; Magaton, M. Influence of chain extender on mechanical, thermal and morphological properties of blown films of PLA/PBAT blends. Polym. Test. 2015, 43, 27–37. [Google Scholar] [CrossRef]
- Liu, J.; Jiang, H. Grafting of glycidyl methacrylate onto poly(lactide) and properties of pla/starch blends compatibilized by the grafted copolymer. J. Polym. Environ. 2012, 20, 10. [Google Scholar] [CrossRef]
- Gardella, L.; Calabrese, M. PLA maleation: An easy and effective method to modify the properties of PLA/PCL immiscible blends. Colloid Polym. Sci. 2014, 292, 2391–2398. [Google Scholar] [CrossRef]
- Huneault, M.A.; Li, H. Morphology and properties of compatibilized polylactide/thermoplastic starch blends. Polymer 2007, 48, 270–280. [Google Scholar] [CrossRef]
- Teamsinsungvon, A.; Ruksakulpiwat, Y. Preparation and characterization of poly(lactic acid)/poly(butylene adipate-co-terepthalate) blends and their composite. Polym. Plast. Technol. Eng. 2013, 52, 1362–1367. [Google Scholar] [CrossRef]
- Hao, M.; Wu, H. In situ reactive interfacial compatibilization of polylactide/sisal fiber biocomposites via melt-blending with an epoxy-functionalized terpolymer elastomer. RSC Adv. 2017, 7, 32399–32412. [Google Scholar] [CrossRef]
- ASTM D638-14. Standard Test Method for Tensile Properties of Plastics; ASTM International: West Conshohocken, PA, USA, 2014. [Google Scholar]
- Khuenkeao, T.; Petchwattana, N. Thermal and mechanical properties of bioplastic poly(lactic acid) compounded with silicone rubber and talc. AIP Conf. Proc. 2016, 1713, 080005. [Google Scholar] [CrossRef]
- Nanthananon, P.; Seadan, M. Enhanced crystallization of poly(lactic acid) through reactive aliphatic bisamide. IOP Conf. Ser. Mater. 2015, 87, 012067. [Google Scholar] [CrossRef]
- Doan, T.-T.-L.; Gao, S.-L. Jute/polypropylene composites I. Effect of matrix modification. Compos. Sci. Technol. 2006, 66, 952–963. [Google Scholar] [CrossRef]
- Coutinho, F.M.B.; Costa, T.H.S. Performance of polypropylene–Wood fiber composites. Polym. Test. 1999, 18, 581–587. [Google Scholar] [CrossRef]
- Méndez, J.A.; Vilaseca, F. Evaluation of the reinforcing effect of ground wood pulp in the preparation of polypropylene-based composites coupled with maleic anhydride grafted polypropylene. J. Appl. Polym. Sci. 2007, 105, 3588–3596. [Google Scholar] [CrossRef]
- Thomas, S.; Visakh, P.M. Advances in Natural Polymers: Composites and Nanocomposites; Springer: Berlin, Germany, 2012; pp. 373–376. [Google Scholar]
- Shakoor, A. Development of Novel Bio-Derived Polymer Composites Reinforced with Natural Fibres and Mineral Fillers. Ph.D. Thesis, Loughborough University, Leicestershire, UK, 2013. [Google Scholar]
- Guo, X.; Zhang, J. Poly (lactic acid)/polyoxymethylene blends: Morphology, crystallization, rheology, and thermal mechanical properties. Polymer 2015, 69, 103–109. [Google Scholar] [CrossRef]
- Jain, S.; Misra, M. Thermal, mechanical and rheological behavior of poly(lactic acid)/talc composites. J. Polym. Environ. 2012, 20, 1027–1037. [Google Scholar] [CrossRef]
- Vachon, A.; Pépin, K. Thermal, Mechanical and morphological properties of binary and ternary pla blends containing a poly(ether ester) elastomer. J. Biobased Mater. Bioenergy 2015, 9, 205–217. [Google Scholar] [CrossRef]
- Joseph, P.V.; Joseph, K. The thermal and crystallisation studies of short sisal fibre reinforced polypropylene composites. Compos. Part A Appl. Sci. Manuf. 2003, 34, 253–266. [Google Scholar] [CrossRef]
- Qian, L.; Ruijing, Z. Cold crystallization behavior of glassy poly(lactic acid) prepared by rapid compression. Polym. Eng. Sci. 2015, 55, 359–366. [Google Scholar] [CrossRef]








| Sample Codes | PLA (g) | Natural Fiber (g) | Talc (g) | CEGMA (phr) | MAH (phr) | Peroxide (phr) |
|---|---|---|---|---|---|---|
| neat PLA | 100 | |||||
| PLA/NF | 70 | 30 | 0 | |||
| PLA/NF2/T1 | 70 | 20 | 10 | |||
| PLA/NF1/T1 | 70 | 15 | 15 | |||
| PLA/NF1/T2 | 70 | 10 | 20 | |||
| PLA/T | 70 | 0 | 30 | |||
| PLA/NF/CEGMA | 70 | 30 | 0 | 1.5 | ||
| PLA/NF2/T1/CEGMA | 70 | 20 | 10 | 1.5 | ||
| PLA/NF1/T1/CEGMA | 70 | 15 | 15 | 1.5 | ||
| PLA/NF1/T2/CEGMA | 70 | 10 | 20 | 1.5 | ||
| PLA/T/CEGMA | 70 | 0 | 30 | 1.5 | ||
| PLA/NF/CEGMA/MAH | 70 | 30 | 0 | 1.5 | 1.5 | 0.1 |
| PLA/NF2/T1/CEGMA/MAH | 70 | 20 | 10 | 1.5 | 1.5 | 0.1 |
| PLA/NF1/T1/CEGMA/MAH | 70 | 15 | 15 | 1.5 | 1.5 | 0.1 |
| PLA/NF1/T2/CEGMA/MAH | 70 | 10 | 20 | 1.5 | 1.5 | 0.1 |
| PLA/T/CEGMA/MAH | 70 | 20 | 10 | 1.5 | 1.5 | 0.1 |
© 2018 by the authors. Licensee MDPI, Basel, Switzerland. This article is an open access article distributed under the terms and conditions of the Creative Commons Attribution (CC BY) license (http://creativecommons.org/licenses/by/4.0/).
Share and Cite
Nanthananon, P.; Seadan, M.; Pivsa-Art, S.; Hamada, H.; Suttiruengwong, S. Facile Preparation and Characterization of Short-Fiber and Talc Reinforced Poly(Lactic Acid) Hybrid Composite with In Situ Reactive Compatibilizers. Materials 2018, 11, 1183. https://doi.org/10.3390/ma11071183
Nanthananon P, Seadan M, Pivsa-Art S, Hamada H, Suttiruengwong S. Facile Preparation and Characterization of Short-Fiber and Talc Reinforced Poly(Lactic Acid) Hybrid Composite with In Situ Reactive Compatibilizers. Materials. 2018; 11(7):1183. https://doi.org/10.3390/ma11071183
Chicago/Turabian StyleNanthananon, Phornwalan, Manus Seadan, Sommai Pivsa-Art, Hiroyuki Hamada, and Supakij Suttiruengwong. 2018. "Facile Preparation and Characterization of Short-Fiber and Talc Reinforced Poly(Lactic Acid) Hybrid Composite with In Situ Reactive Compatibilizers" Materials 11, no. 7: 1183. https://doi.org/10.3390/ma11071183
APA StyleNanthananon, P., Seadan, M., Pivsa-Art, S., Hamada, H., & Suttiruengwong, S. (2018). Facile Preparation and Characterization of Short-Fiber and Talc Reinforced Poly(Lactic Acid) Hybrid Composite with In Situ Reactive Compatibilizers. Materials, 11(7), 1183. https://doi.org/10.3390/ma11071183

