A Facile Strategy to Enhance the Dielectric and Mechanical Properties of MWCNTs/PVDF Composites with the Aid of MMA-co-GMA Copolymer
Abstract
:1. Introduction
2. Materials and Methods
2.1. Materials
2.2. Preparation of c-MWCNTs/MG Composites
2.3. Preparation of c-MWCNTs/PVDF and c-MWCNTs/MG/PVDF Composites
2.4. FTIR Tests
2.5. TGA Test
2.6. Mechanical Tests
2.7. Morphology Observation
2.8. Dielectric Properties
2.9. Viscosity Test
3. Results and Discussion
3.1. Compatibilization Mechanisms
3.2. Dielectric Properties
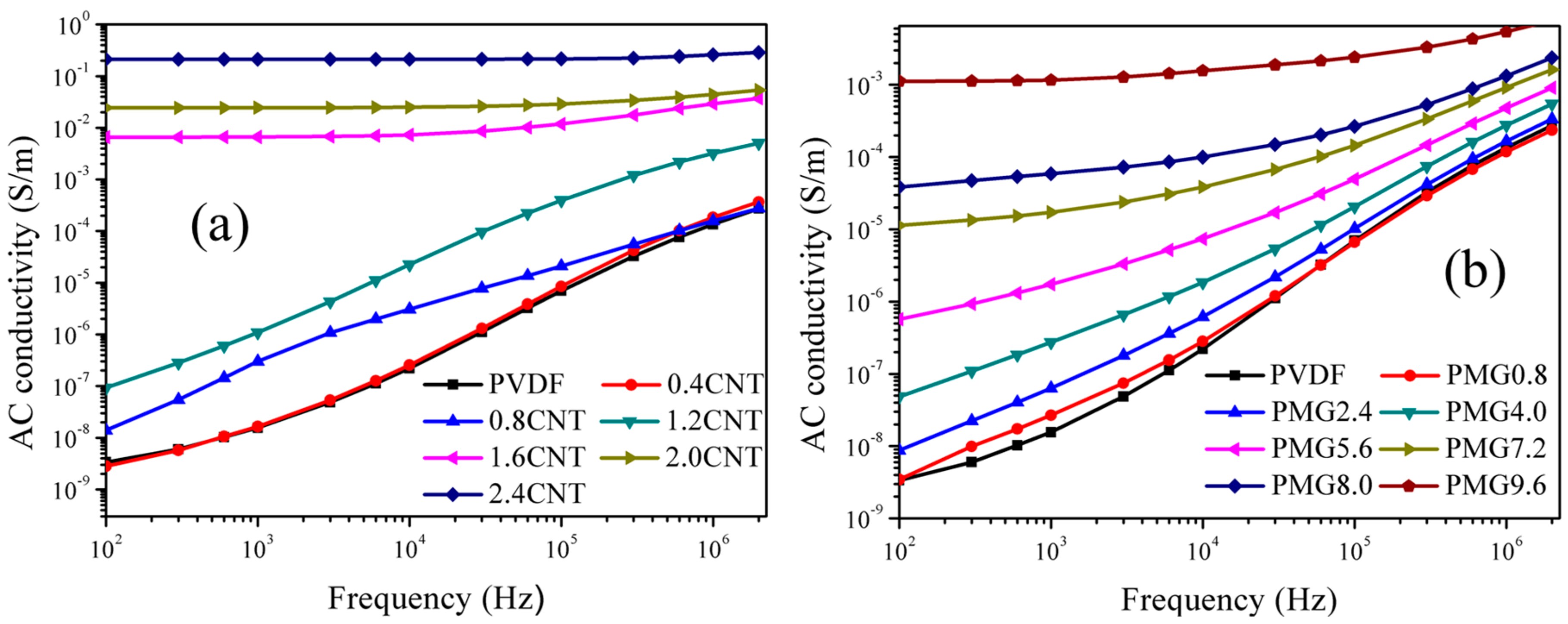
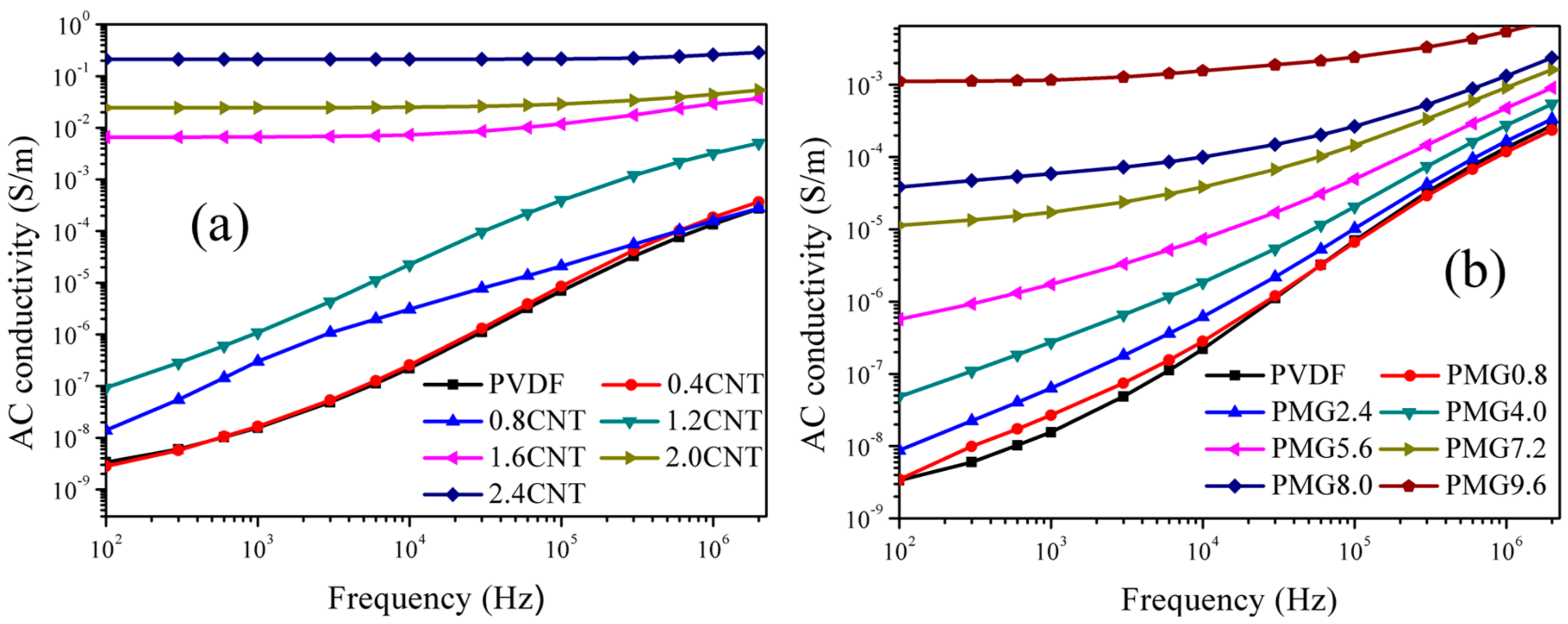
3.3. Electric Properties
3.4. Mechanical Properties
4. Conclusions
Acknowledgments
Author Contributions
Conflicts of Interest
References
- Xie, L.; Huang, X.; Huang, Y.; Yang, K.; Jiang, P. Core@Double-Shell Structured BaTiO3–Polymer Nanocomposites with High Dielectric Constant and Low Dielectric Loss for Energy Storage Application. J. Phys. Chem. C 2013, 117, 22525–22537. [Google Scholar] [CrossRef]
- Wu, Y.; Isakov, D.; Grant, P.S. Fabrication of Composite Filaments with High Dielectric Permittivity for Fused Deposition 3D Printing. Materials 2017, 10, 1218. [Google Scholar] [CrossRef] [PubMed]
- Wang, Q.; Zhu, L. Polymer nanocomposites for electrical energy storage. J. Polym. Sci. Part B 2011, 49, 1421–1429. [Google Scholar] [CrossRef]
- Lu, J.; Wong, C.P. Recent advances in high-k nanocomposite materials for embedded capacitor applications. IEEE Trans. Dielectr. Electr. Insul. 2008, 15, 1322–1328. [Google Scholar] [CrossRef]
- Hardy, C.G.; Islam, M.S.; Gonzalez-Delozier, D.; Morgan, J.E.; Cash, B.; Benicewicz, B.C.; Ploehn, H.J.; Tang, C. Converting an electrical insulator into a dielectric capacitor: End-capping polystyrene with oigoaniline. Chem. Mate 2013, 25, 799–807. [Google Scholar] [CrossRef]
- Cho, S.-D.; Lee, J.-Y.; Hyun, J.-G.; Paik, K.-W. Study on epoxy/BaTiO3 composite embedded capacitor films (ECFs) for organic substrate applications. Mater. Sci. Eng. B 2004, 110, 233–239. [Google Scholar] [CrossRef]
- Chen, T.; Lin, M.; Zhao, Y.; Pan, L.; Tang, Q. Electromechanical response of polyol-polyurethane blends as dielectric elastomer flexible mirco-actuator material. J. Mater. Sci. 2016, 28, 3560–3570. [Google Scholar] [CrossRef]
- Zhang, Q.M. Giant Electrostriction and Relaxor Ferroelectric Behavior in Electron-Irradiated Poly(vinylidene fluoride-trifluoroethylene) Copolymer. Science 1998, 280, 2101–2104. [Google Scholar] [CrossRef] [PubMed]
- Thakur, V.K.; Tan, E.J.; Lin, M.-F.; Lee, P.S. Poly(vinylidene fluoride)-graft-poly(2-hydroxyethyl methacrylate): A novel material for high energy density capacitors. J. Mater. Chem. 2011, 21, 3751. [Google Scholar] [CrossRef]
- Thakur, V.K.; Tan, E.J.; Lin, M.-F.; Lee, P.S. Polystyrene grafted polyvinylidenefluoride copolymers with high capacitive performance. Polym. Chem. 2011, 2, 2000. [Google Scholar] [CrossRef]
- Lovinger, A.J. Ferroelectric polymers. Science 1983, 220, 1115–1121. [Google Scholar] [CrossRef] [PubMed]
- Hu, X.Z.; Zhang, Y.; Cui, G.; Zhu, N.; Guo, K. Poly(vinylidene fluoride-co-chlorotrifluoroethylene) modification via organocatalyzed atom transfer radical polymerization. Macromol. Rapid Commun. 2017, 38. [Google Scholar] [CrossRef] [PubMed]
- Guan, F.; Yang, L.; Wang, J.; Guan, B.; Han, K.; Wang, Q.; Zhu, L. Confined ferroelectric properties in poly(Vinylidene Fluoride-co-Chlorotrifluoroethylene)-graft-polystyrene graft copolymers for electric energy storage applications. Adv. Funct. Mater. 2011, 21, 3176–3188. [Google Scholar] [CrossRef]
- Wu, W.; Huang, X.; Li, S.; Jiang, P.; Toshikatsu, T. Novel three-dimensional Zinc Oxide superstructures for high dielectric constant polymer composites capable of withstanding high electric field. J. Phys. Chem. C 2012, 116, 24887–24895. [Google Scholar] [CrossRef]
- Wang, Y.; Cui, J.; Yuan, Q.; Niu, Y.; Bai, Y.; Wang, H. Significantly enhanced breakdown strength and energy density in sandwich-structured barium titanate/poly(vinylidene fluoride) nanocomposites. Adv. Mater. 2015, 27, 6658–6663. [Google Scholar] [CrossRef] [PubMed]
- Lopes, A.C.; Silva, M.P.; Gonçalves, R.; Pereira, M.F.R.; Botelho, G.; Fonseca, A.M.; Lancerosmendez, S.; Neves, I.C. Enhancement of the dielectric constant and thermal properties of α-poly(vinylidene fluoride)/Zeolite nanocomposites. J. Phys. Chem. C 2010, 114, 14446–14452. [Google Scholar] [CrossRef]
- Kim, P.; Doss, N.M.; Tillotson, J.P.; Hotchkiss, P.J.; Pan, M.J.; Marder, S.R.; Li, J.; Calame, J.P.; Perry, J.W. High energy density nanocomposites based on surface-modified BaTiO3 and a ferroelectric polymer. ACS Nano 2009, 3, 2581–2592. [Google Scholar] [CrossRef] [PubMed]
- Dang, Z.M.; Wang, H.Y.; Zhang, Y.H.; Qi, J.Q. Morphology and dielectric property of homogenous BaTiO3/PVDF nanocomposites prepared via the natural adsorption action of nanosized BaTiO3. Macromol. Rapid Commun. 2010, 26, 1185–1189. [Google Scholar] [CrossRef]
- Almadhoun, M.N.; Bhansali, U.S.; Alshareef, H.N. Nanocomposites of ferroelectric polymers with surface-hydroxylated BaTiO3 nanoparticles for energy storage applications. J. Mater. Chem. 2012, 22, 11196–11200. [Google Scholar] [CrossRef]
- Zhao, X.; Zhao, J.; Cao, J.P.; Wang, X.; Chen, M.; Dang, Z.M. Tuning the dielectric properties of polystyrene/poly(vinylidene fluoride) blends by selectively localizing carbon black nanoparticles. J. Phys. Chem. B 2013, 117, 2505–2515. [Google Scholar] [CrossRef] [PubMed]
- Yuan, J.-K.; Yao, S.-H.; Dang, Z.-M.; Sylvestre, A.; Genestoux, M.; Bai, J. Giant dielectric permittivity nanocomposites: Realizing true potential of pristine carbon nanotubes in polyvinylidene fluoride matrix through an enhanced interfacial interaction. J. Phys. Chem. C 2011, 115, 5515–5521. [Google Scholar] [CrossRef]
- Tong, W.; Zhang, Y.; Yu, L.; Luan, X.; An, Q.; Zhang, Q.; Lv, F.; Chu, P.K.; Shen, B.; Zhang, Z. Novel method for the fabrication of flexible film with oriented arrays of graphene in poly(vinylidene fluoride-co-hexafluoropropylene) with low dielectric loss. J. Phys. Chem. C 2014, 118, 10567–10573. [Google Scholar] [CrossRef]
- Shen, Y.; Lin, Y.; Li, M.; Nan, C.W. High dielectric performance of polymer composite films induced by a percolating interparticle barrier layer. Adv. Mater. 2010, 19, 1418–1422. [Google Scholar] [CrossRef]
- Dang, Z.M.; Wang, L.; Yin, Y.; Zhang, Q.; Lei, Q.Q. Giant dielectric permittivities in functionalized carbon-nanotube/ electroactive-polymer nanocomposites. Adv. Mater. 2007, 19, 852–857. [Google Scholar] [CrossRef]
- Yao, S.; Yuan, J.; Mehedi, H.A.; Gheeraert, E.; Sylvestre, A. Carbon nanotube forest based electrostatic capacitor with excellent dielectric performances. Carbon 2017, 116, 648–654. [Google Scholar] [CrossRef]
- Xing, C.; Wang, Y.; Huang, X.; Li, Y.; Li, J. Poly(vinylidene fluoride) nanocomposites with simultaneous organic nanodomains and inorganic nanoparticles. Macromolecules 2016, 49, 1026–1035. [Google Scholar] [CrossRef]
- Burmistrov, I.; Gorshkov, N.; Ilinykh, I.; Muratov, D.; Kolesnikov, E.; Yakovlev, E.; Mazov, I.; Issi, J.P.; Kusnezov, D. Mechanical and electrical properties of ethylene-1-octene and polypropylene composites filled with carbon nanotubes. Compos. Sci. Technol. 2017, 147, 71–77. [Google Scholar] [CrossRef]
- Mandal, A.; Nandi, A.K. Ionic liquid integrated multiwalled carbon nanotube in a poly(vinylidene fluoride) matrix: Formation of a piezoelectric beta-polymorph with significant reinforcement and conductivity improvement. ACS Appl. Mater. Interfaces 2013, 5, 747–760. [Google Scholar] [CrossRef] [PubMed]
- Guan, J.; Xing, C.; Wang, Y.; Li, Y.; Li, J. Poly (vinylidene fluoride) dielectric composites with both ionic nanoclusters and well dispersed graphene oxide. Compos. Sci. Technol. 2017, 138, 98–105. [Google Scholar] [CrossRef]
- Nan, C.W.; Shen, Y.; Ma, J. Physical properties of composites near percolation. Annu. Rev. Mater. Res. 2010, 40, 131–151. [Google Scholar] [CrossRef]
- Zhu, J.; Ji, X.; Yin, M.; Guo, S.; Shen, J. Poly (vinylidene fluoride) based percolative dielectrics with tunable coating of polydopamine on carbon nanotubes: Toward high permittivity and low dielectric loss. Compos. Sci. Technol. 2017, 144, 79–88. [Google Scholar] [CrossRef]
- Zhou, T.; Zha, J.W.; Hou, Y.; Wang, D.; Zhao, J.; Dang, Z.M. Surface-functionalized MWNTs with emeraldine base: Preparation and improving dielectric properties of polymer nanocomposites. ACS Appl. Mater. Interfaces 2011, 3, 4557–4560. [Google Scholar] [CrossRef] [PubMed]
- Zhang, W.; Zhou, Z.; Li, Q.; Chen, G.-X. Controlled dielectric properties of polymer composites from coating multiwalled carbon nanotubes with octa-acrylate silsesquioxane through diels–alder cycloaddition and atom transfer radical polymerization. Ind. Eng. Chem. Res. 2014, 53, 6699–6707. [Google Scholar] [CrossRef]
- Yang, C.; Lin, Y.; Nan, C.W. Modified carbon nanotube composites with high dielectric constant, low dielectric loss and large energy density. Carbon 2009, 47, 1096–1101. [Google Scholar] [CrossRef]
- Wang, T.; Yuan, L.; Liang, G.; Gu, A. Polyaniline coated carbon nanotube/graphene “sandwich” hybrid and its high- k epoxy composites with low dielectric loss and percolation threshold. Appl. Surf. Sci. 2015, 359, 754–765. [Google Scholar] [CrossRef]
- Tang, C.W.; Sun, L.; Li, B.; Zhong, W.H. Structurally induced dielectric constant promotion and loss suppression for poly(vinylidene fluoride) nanocomposites. Macromol. Mater. Eng. 2012, 297, 420–426. [Google Scholar] [CrossRef]
- Guo, Q.; Xue, Q.; Sun, J.; Dong, M.; Xia, F.; Zhang, Z. Gigantic enhancement in Dielectric Properties of Polymer-based Composites Using Core/Shell MWCNT/Amorphous Carbon Nanohybrid. Nanoscale 2015, 7, 3660–3667. [Google Scholar] [CrossRef] [PubMed]
- Wu, C.; Huang, X.; Wu, X.; Yu, J.; Xie, L.; Jiang, P. TiO2-nanorod decorated carbon nanotubes for high-permittivity and low-dielectric-loss polystyrene composites. Compos. Sci. Technol. 2012, 72, 521–527. [Google Scholar] [CrossRef]
- Liu, L.; Lv, F.; Zhang, Y.; Li, P.; Tong, W.; Ding, L.; Zhang, G. Enhanced dielectric performance of polyimide composites with modified sandwich-like SiO2@GO hybrids. Compos. Part A 2017, 99, 41–47. [Google Scholar] [CrossRef]
- Li, D.; Song, S.; Li, C.; Cao, C.; Sun, S.; Zhang, H. Compatibilization effect of MMA-co-GMA copolymers on the properties of polyamide 6/Poly(vinylidene fluoride) blends. J. Polym. Res. 2015, 22, 102. [Google Scholar] [CrossRef]
- Burmistrov, I.N.; Shatrova, N.V.; Mostovoy, A.S.; Mazov, I.N.; Kuznetsov, D.V.; Panova, L.G.; Gorokhovsky, A.V.; Yudin, A.G. Mechanical properties of (surface-modified potassium polytitanate small additives)/epoxy composite materials. Polym. Eng. Sci. 2014, 54, 2866–2871. [Google Scholar] [CrossRef]
- Li, X.; Xu, W.; Zhang, Y.; Xu, D.; Wang, G.; Jiang, Z. Chemical grafting of multi-walled carbon nanotubes on metal phthalocyanines for the preparation of nanocomposites with high dielectric constant and low dielectric loss for energy storage application. RSC Adv. 2015, 5, 51542–51548. [Google Scholar] [CrossRef]
- Sun, D.; Zhou, Z.; Chen, G.X.; Li, Q. Regulated dielectric loss of polymer composites from coating carbon nanotubes with a cross-linked silsesquioxane shell through free-radical polymerization. ACS Appl. Mater. Interfaces 2014, 6, 18635–18643. [Google Scholar] [CrossRef] [PubMed]
- Mdarhri, A.; Carmona, F.; Brosseau, C.; Delhaes, P. Direct current electrical and microwave properties of polymer-multiwalled carbon nanotubes composites. J. Appl. Phys. 2008, 103, 054303. [Google Scholar] [CrossRef]
- Nioua, Y.; Bouazzaoui, S.E.; Melo, B.M.G.; Prezas, P.R.S.; Graça, M.P.F.; Achour, M.E.; Costa, L.C.; Brosseau, C. Analyzing the frequency and temperature dependences of the ac conductivity and dielectric analysis of reduced graphene oxide/epoxy polymer nanocomposites. J. Mater. Sci. 2017, 52, 13790–13798. [Google Scholar] [CrossRef]
- Chang, J.; Liang, G.; Gu, A.; Cai, S.; Yuan, L. The production of carbon nanotube/epoxy composites with a very high dielectric constant and low dielectric loss by microwave curing. Carbon 2012, 50, 689–698. [Google Scholar] [CrossRef]










| Designation Used Here | Filler Content | Frequency | Dielectric Constant | Dielectric Loss |
|---|---|---|---|---|
| MWCNTs-CuPc (ref. [42]) | 10 wt % | 1 kHz | 45 | 0.15 |
| POS@CNTB5 (ref. [43]) | 5.0 wt % | 1 kHz | 98 | 0.53 |
| MEB (ref. [32]) | 8.3 vol % | 1 kHz | 260 | 1.30 |
| TEP-MWCNT (ref. [24]) | 8.0 vol % | 1 kHz | 550 | 2.20 |
| MG/MWCNT (our research) | 8.0 vol % | 1 kHz | 448 | 2.35 |
© 2018 by the authors. Licensee MDPI, Basel, Switzerland. This article is an open access article distributed under the terms and conditions of the Creative Commons Attribution (CC BY) license (http://creativecommons.org/licenses/by/4.0/).
Share and Cite
Song, S.; Xia, S.; Jiang, S.; Lv, X.; Sun, S.; Li, Q. A Facile Strategy to Enhance the Dielectric and Mechanical Properties of MWCNTs/PVDF Composites with the Aid of MMA-co-GMA Copolymer. Materials 2018, 11, 347. https://doi.org/10.3390/ma11030347
Song S, Xia S, Jiang S, Lv X, Sun S, Li Q. A Facile Strategy to Enhance the Dielectric and Mechanical Properties of MWCNTs/PVDF Composites with the Aid of MMA-co-GMA Copolymer. Materials. 2018; 11(3):347. https://doi.org/10.3390/ma11030347
Chicago/Turabian StyleSong, Shixin, Shan Xia, Shangkun Jiang, Xue Lv, Shulin Sun, and Quanming Li. 2018. "A Facile Strategy to Enhance the Dielectric and Mechanical Properties of MWCNTs/PVDF Composites with the Aid of MMA-co-GMA Copolymer" Materials 11, no. 3: 347. https://doi.org/10.3390/ma11030347
APA StyleSong, S., Xia, S., Jiang, S., Lv, X., Sun, S., & Li, Q. (2018). A Facile Strategy to Enhance the Dielectric and Mechanical Properties of MWCNTs/PVDF Composites with the Aid of MMA-co-GMA Copolymer. Materials, 11(3), 347. https://doi.org/10.3390/ma11030347
