The Influence of Annealing on the Structural and Soft Magnetic Properties of (Fe0.4Co0.6)79Nb3B18 Nanocrystalline Alloys
Abstract
1. Introduction
2. Materials and Methods
3. Results and Discussion
3.1. Structure Identification and Thermal Properties in the As-Quenched (Fe0.4Co0.6)79Nb3B18 Alloys
3.2. Structural Evolution in the Annealed (Fe0.4Co0.6)79Nb3B18 Alloys
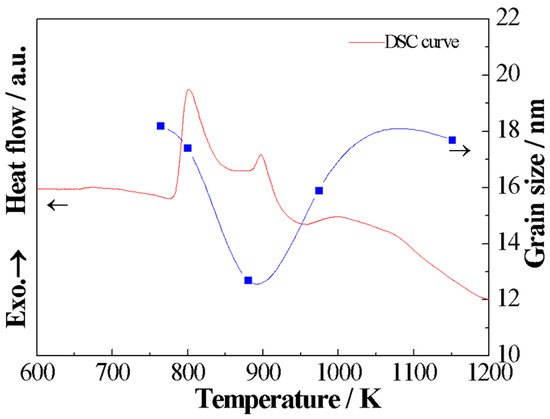
3.3. Variation of Grain Size and Annealing Temperature
3.4. Soft Magnetic Properties
4. Conclusions
- (1)
- During the crystallization process in the (Fe0.4Co0.6)79Nb3B18 alloys, a mixture of α-Fe(Co), Fe2B, and Fe23B6 phases is first precipitated from the amorphous matrix, and then the formation of α-Fe(Co), Fe2B, and Fe3B phases occurs due to the decomposition of the metastable Fe23B6 phase.
- (2)
- For alloys annealed at Tg~Tx1, as the incubation time increases, the saturation magnetization first remains unchanged, and then increases steadily, while the coercivity decreases first and then increases.
- (3)
- The mean grain sizes of the annealed (Fe0.4Co0.6)79Nb3B18 alloys first decrease and then increase with the increase of annealing temperature. The mean grain size reaches the minimum value of 12.7 nm for alloys annealed at 880 K.
- (4)
- The annealed (Fe0.4Co0.6)79Nb3B18 alloys exhibit excellent magnetic properties with high saturation magnetization and low coercivity. With the increase of annealing temperature, the saturation magnetization first increases and then decreases, while coercivity is not obviously enhanced. The alloys annealed at 880 K with the finest grain size exhibit the optimized soft magnetic properties.
Author Contributions
Funding
Conflicts of Interest
References
- Yoshizawa, Y.; Oguma, S.; Yamauchi, K. New Fe-based soft magnetic alloys composed of ultrafine grain structure. J. Appl. Phys. 1988, 64, 6044–6066. [Google Scholar] [CrossRef]
- Rizal, C.; Kolthammer, J.; Pokharel, R.K.; Choi, B.C. Magnetic properties of nanostructured Fe-Co alloys. J. Appl. Phys. 2013, 113, 113905. [Google Scholar] [CrossRef]
- Inoue, A.; Shen, B.L.; Koshiba, H.; Kato, H.; Yavari, A.R. Cobalt-based bulk glassy alloy with ultrahigh strength and soft magnetic properties. Nat. Mater. 2003, 2, 661–663. [Google Scholar] [CrossRef] [PubMed]
- Willard, M.A.; Laughlin, D.E.; McHenry, M.E.; Thoma, D.; Sickafus, K.; Cross, J.O.; Harris, V.G. Structure and magnetic properties of (Fe0.5Co0.5)88Zr7B4Cu1 nanocrystalline alloys. J. Appl. Phys. 1998, 84, 6773–6777. [Google Scholar] [CrossRef]
- McHenry, M.E.; Willard, M.A.; Laughlin, D.E. Amorphous and nanocrystalline materials for applications as soft magnets. Prog. Mater. Sci. 1999, 44, 291–433. [Google Scholar] [CrossRef]
- Tang, J.C.; Mao, X.Y.; Li, S.D.; Gao, W.L.; Du, Y.W. Effects of two-step annealing on the microstructures and soft magnetic properties of nanocrystalline Fe86Zr7B6Cu1 ribbons. J. Alloys Compd. 2004, 375, 233–238. [Google Scholar] [CrossRef]
- Cao, C.C.; Fan, J.W.; Zhu, L.; Meng, Y.; Wang, Y.G. Effects of relaxation time on local structural and magnetic properties of Fe80.8B10P8Cu1.2 amorphous alloy. Acta Phys. Sin. 2017, 66, 167501. (In Chinese) [Google Scholar]
- Fan, X.D.; Zhang, T.; Jiang, M.F.; Yangc, W.M.; Shen, B.L. Synthesis of novel FeSiBPCCu alloys with high amorphous forming ability and good soft magnetic properties. J. Non-Cryst. Solids 2018, in press. [Google Scholar] [CrossRef]
- Parsons, R.; Zang, B.; Onodera, K.; Kishimoto, H.; Kato, A.; Suzuki, K. Soft magnetic properties of rapidly-annealed nanocrystalline Fe-Nb-B-(Cu) alloys. J. Alloys Compd. 2017, 723, 408–417. [Google Scholar] [CrossRef]
- Xue, L.; Yang, W.M.; Liu, H.S.; Men, H.; Wang, A.; Chang, C.T.; Shen, B.L. Effect of Co addition on the magnetic properties and microstructure of FeNbBCu nanocrystalline alloys. J. Magn. Magn. Mater. 2016, 419, 198–201. [Google Scholar] [CrossRef]
- Ramanujan, R.V.; Zhang, Y.R. Quantitative transmission electron microscopy analysis of the nanocrystallization kinetics of soft magnetic alloys. Phys. Rev. B 2006, 74, 224408. [Google Scholar] [CrossRef]
- Kotan, H.; Darling, K.A.; Saber, M.; Scattergood, R.O.; Koch, C.C. An in situ experimental study of grain growth in a nanocrystalline Fe91Ni8Zr1 alloy. J. Mater. Sci. 2013, 48, 2251–2257. [Google Scholar] [CrossRef]
- Sahoo, T.; Majumdar, B.; Srinivas, V.; Srinivas, M.; Nath, T.K.; Agarwal, G. Improved magnetoimpedance and mechanical properties on nanocrystallization of amorphous Fe68.5Si18.5Cu1Nb3B9 ribbons. J. Magn. Magn. Mater. 2013, 343, 13–20. [Google Scholar] [CrossRef]
- Xue, L.; Liu, H.S.; Dou, L.T.; Yang, W.M.; Chang, C.T.; Inoue, A.; Wang, X.M.; Li, R.W.; Shen, B.L. Soft magnetic properties and microstructure of Fe84−xNb2B14Cux nanocrystalline alloys. Mater. Design 2014, 56, 227–231. [Google Scholar] [CrossRef]
- Li, P.; Su, H.L.; Song, Y.J.; Wu, Y.C. Effects of annealing temperature on microstructure and magnetic properties of Fe73.37Cu0.92Nb2.9Si13.56B9.24 amorphous alloy. Mater. Sci. Technol. 2013, 29, 460–463. [Google Scholar] [CrossRef]
- Jiang, J.Z. Anomalous grain growth in nanocrystalline Fe73.5Cu1Nb3Si13.5B9 alloys. Nanostruct. Mater. 1997, 9, 245–248. [Google Scholar] [CrossRef]
- Stoica, M.; Kumar, S.; Roth, S.; Ram, S.; Eckert, J.; Vaughan, G.; Yavari, A.R. Crystallization kinetics and magnetic properties of Fe66Nb4B30 bulk metallic glass. J Alloys Compd. 2009, 483, 632–637. [Google Scholar] [CrossRef]
- Torrens-Serra, J.; Rodríguez-Viejo, J.; Clavaguera-Mora, M.T. Nanocrystallization kinetics and glass forming ability of the Fe65Nb10B25 metallic alloy. Phys. Rev. B 2007, 76, 214111. [Google Scholar] [CrossRef]
- Imafuku, M.; Sato, S.; Koshiba, H.; Matsubara, E.; Inoue, A. Crystallization behavior of amorphous Fe90-XNb10BX (X = 10 and 30) alloys. Mater. Trans. JIM 2000, 41, 1526–1529. [Google Scholar] [CrossRef]
- Yao, B.; Guo, H.C.; Wang, J.; Ding, B.Z.; Li, H.; Wang, A.M.; Hu, Z.Q. Influence of pressure on the grain sizes in the crystallization process of an amorphous Fe-Mo-Si-B alloy. Phys. B Condens. Matter 1996, 228, 379–382. [Google Scholar] [CrossRef]
- Yang, W.M.; Liu, H.S.; Dun, C.C.; Zhao, Y.C.; Dou, L.M. The mechanism of the anomalous variation of grain size for Fe-based nanocrystalline alloys. Acta Phys. Sin. 2012, 61, 106802. (In Chinese) [Google Scholar]
- Guo, Y.C.; Wang, Z.X. Amorphous State Physics, 1st ed.; Scientific Press: Beijing, China, 1984; pp. 129–145. (In Chinese) [Google Scholar]
- Shen, B.L.; Men, H.; Inoue, A. Fe-based bulk glassy alloy composite containing in situ formed á-(Fe, Co) and (Fe, Co)23B6 microcrystalline grains. Appl. Phys. Lett. 2006, 89, 101915. [Google Scholar] [CrossRef]
- Gao, J.E.; Li, H.X.; Jiao, Z.B.; Wu, Y.; Chen, Y.H.; Yu, T.; Lu, Z.P. Effects of nanocrystal formation on the soft magnetic properties of Fe-based bulk metallic glasses. Appl. Phys. Lett. 2011, 99, 052504. [Google Scholar] [CrossRef]
- Zhu, M.; Fa, Y.; Jian, Z.Y.; Yao, L.J.; Jin, C.Q.; Nan, R.H.; Chang, F.E. Non-isothermal crystallization kinetics and soft magnetic properties of the Fe67Nb5B28 metallic glasses. J. Therm. Anal. Calorim. 2018, 132, 173–180. [Google Scholar] [CrossRef]
- Hezer, G. Grain size dependence of coercivity and permeability in nanocrystalline ferromagnets. IEEE Trans. Magn. 1990, 26, 1397–1402. [Google Scholar] [CrossRef]
- Hoque, M.S.; Hakim, M.A.; Dhar, U.; Saha, D.K.; Nordblad, P.; Paul, D.P. Detailed study of ultra-soft magnetic properties of Fe74Cu0.8Nb2.7Si15.5B7. Philos. Mag. 2011, 91, 2117–2139. [Google Scholar] [CrossRef]








© 2018 by the authors. Licensee MDPI, Basel, Switzerland. This article is an open access article distributed under the terms and conditions of the Creative Commons Attribution (CC BY) license (http://creativecommons.org/licenses/by/4.0/).
Share and Cite
Zhu, M.; Fa, Y.; Yao, L.; Tao, P.; Jian, Z.; Chang, F. The Influence of Annealing on the Structural and Soft Magnetic Properties of (Fe0.4Co0.6)79Nb3B18 Nanocrystalline Alloys. Materials 2018, 11, 2171. https://doi.org/10.3390/ma11112171
Zhu M, Fa Y, Yao L, Tao P, Jian Z, Chang F. The Influence of Annealing on the Structural and Soft Magnetic Properties of (Fe0.4Co0.6)79Nb3B18 Nanocrystalline Alloys. Materials. 2018; 11(11):2171. https://doi.org/10.3390/ma11112171
Chicago/Turabian StyleZhu, Man, Yang Fa, Lijuan Yao, Peng Tao, Zengyun Jian, and Fang’e Chang. 2018. "The Influence of Annealing on the Structural and Soft Magnetic Properties of (Fe0.4Co0.6)79Nb3B18 Nanocrystalline Alloys" Materials 11, no. 11: 2171. https://doi.org/10.3390/ma11112171
APA StyleZhu, M., Fa, Y., Yao, L., Tao, P., Jian, Z., & Chang, F. (2018). The Influence of Annealing on the Structural and Soft Magnetic Properties of (Fe0.4Co0.6)79Nb3B18 Nanocrystalline Alloys. Materials, 11(11), 2171. https://doi.org/10.3390/ma11112171

