Non-Isothermal Crystallization Kinetics of Short Glass Fiber Reinforced Poly (Ether Ether Ketone) Composites
Abstract
1. Introduction
2. Experimental
2.1. Materials
2.2. Characterization Method
3. Results and Discussion
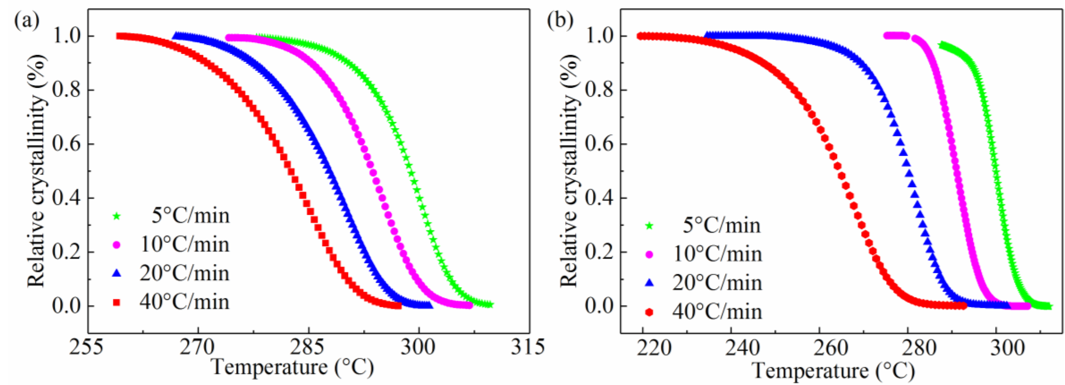
3.1. Non-Isothermal Crystallization Behavior
3.2. Crystalline Melting Analysis
3.3. X-Ray Diffraction (XRD) Analysis
3.4. Non-Isothermal Crystallization Kinetics
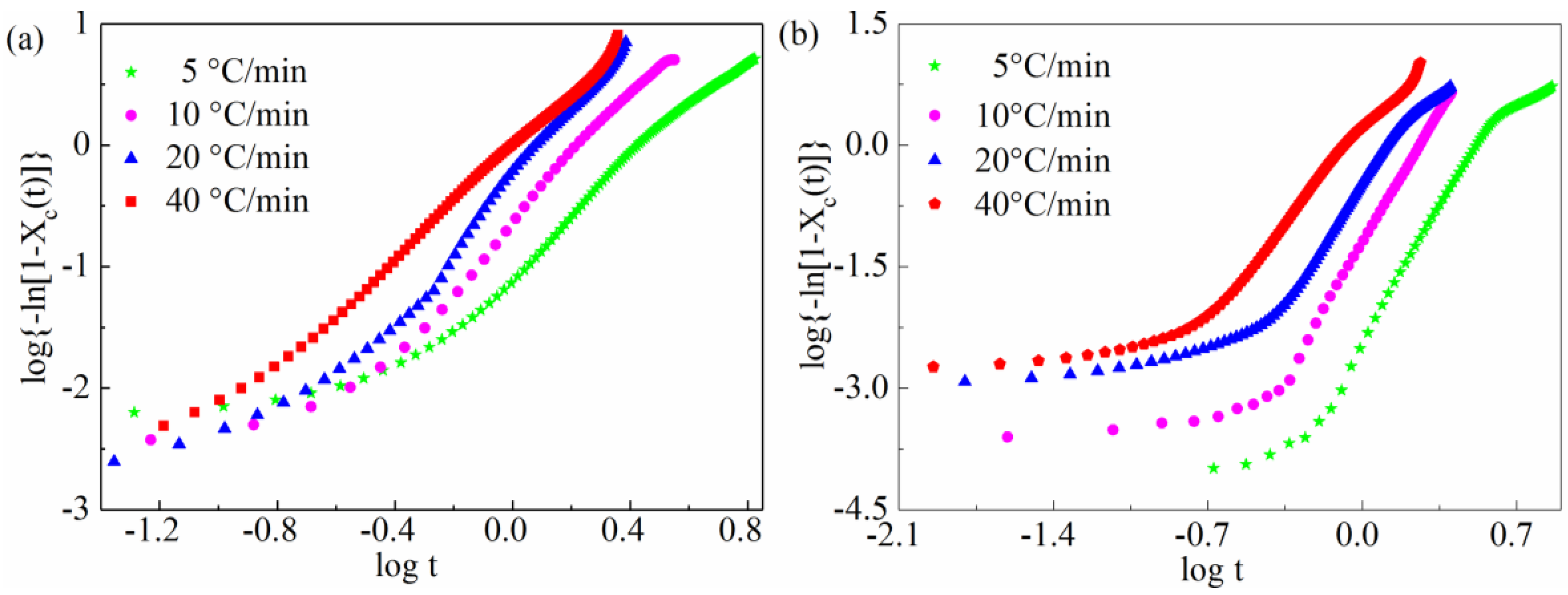
3.4.1. Modified Avrami Equation
3.4.2. Ozawa Equation
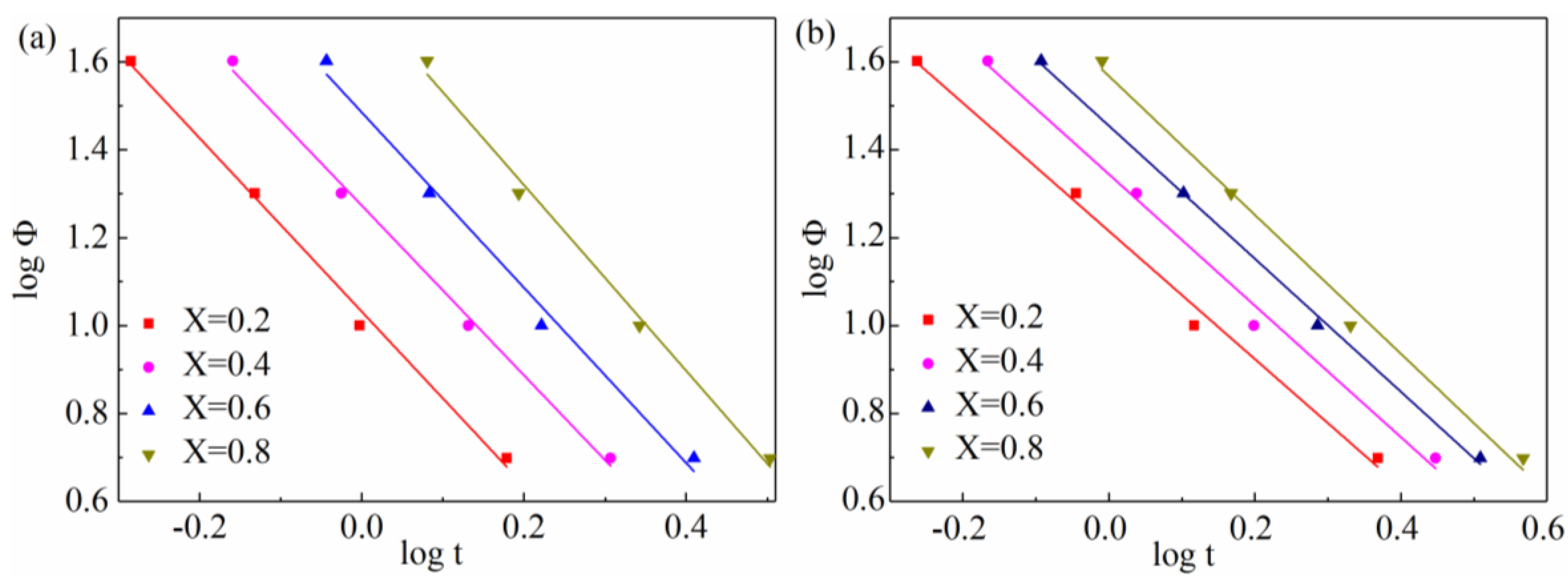
3.4.3. Combined Avrami-Ozawa Equation.
3.4.4. Crystallization Active Energy
4. Conclusions
Author Contributions
Funding
Acknowledgments
Conflicts of Interest
References
- Sadrjahani, M.; Gharehaghaji, A.A.; Javanbakht, M. Modeling and optimization of sulfonated poly (ether ether ketone) nanofibrous proton exchange membranes with response surface methodology. Polym. Eng. Sci. 2017, 58, 619–631. [Google Scholar] [CrossRef]
- Deng, X.; Zeng, Z.; Peng, B.; Yan, S.; Ke, W. Mechanical Properties Optimization of Poly-Ether-Ether-Ketone via Fused Deposition Modeling. Materials 2018, 112, 216. [Google Scholar] [CrossRef] [PubMed]
- Choupin, T.; Fayolle, B.; Régnier, G.; Paris, C.; Cinquin, J.; Brulé, B. Isothermal crystallization kinetic modeling of poly(etherketoneketone) (PEKK) copolymer. Polymer 2017, 111, 73–82. [Google Scholar] [CrossRef]
- Donadei, V.; Lionetto, F.; Wielandt, M.; Offringa, A.; Maffezzoli, A. Effects of Blank Quality on Press-Formed PEKK/Carbon Composite Parts. Materials 2018, 11, 1063. [Google Scholar] [CrossRef] [PubMed]
- Li, E.Z.; Guo, W.L.; Wang, H.D.; Xu, B.S.; Liu, X.T. Research on Tribological Behavior of PEEK and Glass Fiber Reinforced PEEK Composite. Phys. Procedia 2013, 50, 453–460. [Google Scholar] [CrossRef]
- Domingo, R.; García, M.; Sánchez, A.; Gómez, R. A Sustainable Evaluation of Drilling Parameters for PEEK-GF30. Materials 2013, 6, 5907–5922. [Google Scholar] [CrossRef] [PubMed]
- Wang, Q.H.; Xu, J.; Shen, W.; Xue, Q. Effect of nanometer SiC on tribological behavior of PEEK. Wear 1997, 209, 316–321. [Google Scholar] [CrossRef]
- Chu, X.X.; Wu, Z.X.; Huang, R.J.; Zhou, Y.; Li, L.F. Mechanical and thermal expansion properties of glass fibers reinforced PEEK composites at cryogenic temperatures. Cryogenics 2010, 50, 84–88. [Google Scholar] [CrossRef]
- Zalaznik, M.; Kalin, M.; Novak, S. Influence of the processing temperature on the tribological and mechanical properties of poly-ether-ether-ketone (PEEK) polymer. Tribol. Int. 2016, 94, 92–97. [Google Scholar] [CrossRef]
- Zhao, G.; Men, Y.; Wu, Z.; Ji, X.; Wei, J. Effect of shear on the crystallization of the poly (ether ether ketone). J. Polym. Sci. Part B Polym. Phys. 2010, 48, 220–225. [Google Scholar] [CrossRef]
- Wu, W.; Geng, P.; Li, G.; Zhao, D.; Zhang, H.; Zhao, J. Influence of Layer Thickness and Raster Angle on the Mechanical Properties of 3D-Printed PEEK and a Comparative Mechanical Study between PEEK and ABS. Materials 2015, 8, 5834–5846. [Google Scholar] [CrossRef] [PubMed]
- Regis, M.; Zanetti, M.; Pressacco, M.; Bracco, P. Opposite role of different carbon fiber reinforcements on the non-isothermal crystallization behavior of poly(etheretherketone). Mater. Chem. Phys. 2016, 179, 223–231. [Google Scholar] [CrossRef]
- Bessard, E.; De Almeida, O.; Bernhart, G. Unified isothermal and non-isothermal modelling of neat PEEK crystallization. J. Therm. Anal. Calorim. 2013, 115, 1669–1678. [Google Scholar]
- Kuo, M.C.; Huang, J.C.; Chen, M. Non-isothermal crystallization kinetic behavior of alumina nanoparticle filled poly (ether ether ketone). Mater. Chem. Phys. 2006, 99, 258–268. [Google Scholar] [CrossRef]
- Supaphol, P. Application of the Avrami, Tobin, Malkin, and Urbanovici—Segal macrokinetic models to isothermal crystallization of syndiotactic polypropylene. Thermochim. Acta 2001, 370, 37–48. [Google Scholar] [CrossRef]
- Tang, Z.; Zhang, C.; Liu, X.; Zhu, J. The crystallization behavior and mechanical properties of polylactic acid in the presence of a crystal nucleating agent. J. Appl. Polym. Sci. 2012, 125, 1108–1115. [Google Scholar] [CrossRef]
- Wei, C.L.; Chen, M.; Yu, F.E. Temperature modulated DSC and DSC studies on the origin of double melting peaks in poly (ether ether ketone). Polymer 2003, 44, 8185–8193. [Google Scholar] [CrossRef]
- Li, J.; Fang, Z.; Zhu, Y.; Tong, L.; Gu, A.; Liu, F. Isothermal crystallization kinetics and melting behavior of multiwalled carbon nanotubes/polyamide-6 composites. J. Appl. Polym. Sci. 2007, 105, 3531–3542. [Google Scholar] [CrossRef]
- Seo, Y.; Kim, S. Nonisothermal crystallization behavior of poly (aryl ether ether ketone). Polym. Eng. Sci. 2001, 41, 940–945. [Google Scholar] [CrossRef]
- Tierney, J.J.; Gillespie, J.W., Jr. Crystallization kinetics behavior of PEEK based composites exposed to high heating and cooling rates. Compos. Part A Appl. Sci. Manuf. 2004, 35, 547–558. [Google Scholar] [CrossRef]
- Sattari, M.; Molazemhosseini, A.; Naimi-Jamal, M.R.; Khavandi, A. Nonisothermal crystallization behavior and mechanical properties of PEEK/SCF/nano-SiO2 composites. Mater. Chem. Phys. 2014, 147, 942–953. [Google Scholar] [CrossRef]
- Wei, K.; Liang, D.; Mei, M.; Yang, X.; Chen, L. A viscoelastic model of compression and relaxation behaviors in preforming process for carbon fiber fabrics with binder. Compos. Part B Eng. 2019, 158, 1–9. [Google Scholar] [CrossRef]
- Wei, K.; Peng, Y.; Qu, Z.; Pei, Y.; Fang, D. A cellular metastructure incorporating coupled negative thermal expansion and negative Poisson’s ratio. Int. J. Solids Struct. 2018, 150, 255–267. [Google Scholar] [CrossRef]
- Cui, C.; Wang, Z.; Zhou, W.; Wu, Y.; Wei, W. Branch point algorithm for structural irregularity determination of honeycomb. Compos. Part B Eng. 2018, in press. [Google Scholar] [CrossRef]
- Velisaris, C.N.; Seferis, J.C. Crystallization kinetics of polyetheretherketone (peek) matrices. Polym. Eng. Sci. 1986, 26, 1574–1581. [Google Scholar] [CrossRef]
- Cebe, P. Application of the parallel Avrami model to crystallization of poly (etheretherketone). Polym. Eng. Sci. 1988, 28, 1192–1197. [Google Scholar] [CrossRef]
- Choe, C.R.; Lee, K.H. Nonisothermal crystallization kinetics of poly (etheretherketone) (PEEK). Polym. Eng. Sci. 1989, 29, 801–805. [Google Scholar] [CrossRef]
- Chen, C.; Zhang, C.; Liu, C.; Miao, Y.; Wong, S.-C.; Li, Y. Rate-dependent tensile failure behavior of short fiber reinforced PEEK. Compos. Part B Eng. 2018, 136, 187–196. [Google Scholar] [CrossRef]
- Rong, C.; Ma, G.; Zhang, S.; Song, L.; Chen, Z.; Wang, G.; Ajayan, P.M. Effect of carbon nanotubes on the mechanical properties and crystallization behavior of poly (ether ether ketone). Compos. Sci. Technol. 2010, 70, 380–386. [Google Scholar] [CrossRef]
- Kuo, M.C.; Kuo, J.S.; Yang, M.H.; Huang, J.C. On the crystallization behavior of the nano-silica filled PEEK composites. Mater. Chem. Phys. 2010, 123, 471–480. [Google Scholar] [CrossRef]
- Sandler, J.; Werner, P.; Shaffer, M.S.P.; Demchuk, V.; Altstädt, V.; Windle, A.H. Carbon-nanofibre-reinforced poly (ether ether ketone) composites. Compos. Part A 2002, 33, 1033–1039. [Google Scholar] [CrossRef]
- Kim, S.H.; Ahn, S.H.; Hirai, T. Crystallization kinetics and nucleation activity of silica nanoparticle-filled poly (ethylene 2,6-naphthalate). Polymer 2003, 44, 5625–5634. [Google Scholar] [CrossRef]
- Magalhães da Silva, S.P.; Lima, P.S.; Oliveira, J.M. Non-isothermal crystallization kinetics of cork-polymer composites for injection molding. J. Appl. Polym. Sci. 2016, 133, 44124. [Google Scholar] [CrossRef]
- Chao, S.C.; Chen, M.; Chung, C.T. Isothermal crystallization and melting behavior of short carbon fiber reinforced poly (ether ether ketone) composites. J. Polym. Res. 1998, 5, 221–226. [Google Scholar] [CrossRef]
- Zhang, Y.; Zhang, Y.; Liu, S.; Huang, A.; Chi, Z.; Xu, J.; Economy, J. Phase stability and melting behavior of the α and γ phases of nylon 6. J. Appl. Polym. Sci. 2015, 120, 1885–1891. [Google Scholar] [CrossRef]
- Tardif, X.; Pignon, B.; Boyard, N.; Schmelzer, J.W.P.; Sobotka, V.; Delaunay, D.; Schick, C. Experimental study of crystallization of PolyEtherEtherKetone (PEEK) over a large temperature range using a nano-calorimeter. Polym. Test. 2014, 36, 10–19. [Google Scholar] [CrossRef]
- Lee, Y.; Porter, R.S. Double-melting behavior of poly (ether ether ketone). Macromolecules 1987, 22, 1756–1760. [Google Scholar] [CrossRef]
- Bureau, M.N.; Denault, J. Fatigue resistance of continuous glass fiber/polypropylene composites: Consolidation dependence. Compos. Sci. Technol. 2004, 64, 1785–1794. [Google Scholar] [CrossRef]
- Youssef, Y.; Denault, J. Thermoformed glass fiber reinforced polypropylene: Microstructure, mechanical properties and residual stresses. Polym. Compos. 2010, 19, 301–309. [Google Scholar] [CrossRef]
- Bureau, M.N.; Denault, J.; Dickson, J.I. Effect of the Molding Conditions on Mode II Interlaminar Crack Propagation in Continuous Glass Fiber/Polypropylene Composites. J. Thermoplast. Compos. Mater. 2001, 14, 374–403. [Google Scholar] [CrossRef]
- Ye, L.; Beehag, A.; Friedrich, K. Mesostructural aspects of interlaminar fracture in thermoplastic composites: Is crystallinity a key? Compos. Sci. Technol. 1995, 53, 167–173. [Google Scholar] [CrossRef]
- Mishra, A.K.; Schultz, J.M. Kinetics of strain-induced crystallization during injection molding of short fiber composites of poly (ether ether ketone). Polym. Compos. 2010, 12, 169–178. [Google Scholar] [CrossRef]
- Phillips, R.; Månson, J.A.E. Prediction and analysis of nonisothermal crystallization of polymers. J. Polym. Sci. Part B Polym. Phys. 2015, 35, 875–888. [Google Scholar] [CrossRef]
- Hu, X.; Lesser, A.J. Non-Isothermal Crystallization of Poly (trimethylene terephthalate) (PTT)/Clay Nanocomposites. Macromol. Chem. Phys. 2004, 205, 574–580. [Google Scholar] [CrossRef]
- Liu, T.; Mo, Z.; Wang, S.; Zhang, H. Nonisothermal melt and cold crystallization kinetics of poly (aryl ether ether ketone ketone). J. Appl. Polym. Sci. 1997, 37, 568–575. [Google Scholar] [CrossRef]
- Vyazovkin, S. Is the Kissinger Equation Applicable to the Processes that Occur on Cooling? Macromol. Rapid Commun. 2002, 23, 771–775. [Google Scholar] [CrossRef]
- Hu, D.; Chen, J.; Zhao, L.; Liu, T. Melting and non-isothermal crystallization behaviors of polypropylene and polypropylene/montmorillonite nanocomposites under pressurized carbon dioxide. Thermochim. Acta 2015, 617, 65–75. [Google Scholar] [CrossRef]










| Samples | (°C/min) | (°C) | (°C) | (min) | min−1 | (J/g) | (%) | |
|---|---|---|---|---|---|---|---|---|
| PEEK | 5 | 307.91 | 300.57 | 3.90 | 0.44 | 10.67 | −51.95 | 39.96 |
| 10 | 303.78 | 295.30 | 2.21 | 0.70 | 12.06 | −49.89 | 38.38 | |
| 20 | 299.54 | 290.86 | 1.38 | 0.96 | 14.29 | −47.76 | 36.74 | |
| 40 | 295.51 | 285.12 | 0.77 | 1.23 | 17.10 | −43.55 | 33.50 | |
| SGF/PEEK | 5 | 306.45 | 297.63 | 3.26 | 0.61 | 9.46 | −26.99 | 29.66 |
| 10 | 300.35 | 291.21 | 1.86 | 1.10 | 10.49 | −26.21 | 28.80 | |
| 20 | 292.89 | 281.71 | 1.36 | 1.45 | 14.20 | −26.09 | 28.67 | |
| 40 | 283.16 | 268.11 | 0.99 | 2.00 | 21.03 | −25.74 | 28.29 |
| Samples | (°C/min) | (°C) | (°C) |
|---|---|---|---|
| 5 | 248.88 | 338.71 | |
| SGF/PEEK | 10 | 259.67 | 338.02 |
| 20 | 278.47 | 336.62 | |
| 40 | 292.05 | 336.99 |
| Cooling Rate (°C/min) | PEEK | SGF/PEEK | ||
|---|---|---|---|---|
| 5 | 2.29 | 0.62 | 4.65 | 0.33 |
| 10 | 2.73 | 0.86 | 4.72 | 0.76 |
| 20 | 2.95 | 0.97 | 4.17 | 0.89 |
| 40 | 2.25 | 1.00 | 3.46 | 1.02 |
| PEEK | SGF/PEEK | |||
|---|---|---|---|---|
| 20% | 1.97 | 10.72 | 1.46 | 16.60 |
| 40% | 1.93 | 18.62 | 1.49 | 21.88 |
| 60% | 1.99 | 30.20 | 1.51 | 28.18 |
| 80% | 2.11 | 54.95 | 1.58 | 37.15 |
| Conversion Degree | SGF/PEEK | PEEK |
|---|---|---|
| (KJ/mol) | (KJ/mol) | |
| 0.1 | −103.89 | −320.03 |
| 0.3 | −101.88 | −309.50 |
| 0.5 | −99.18 | −301.45 |
| 0.7 | −73.63 | −291.01 |
| 0.9 | −64.69 | −287.59 |
© 2018 by the authors. Licensee MDPI, Basel, Switzerland. This article is an open access article distributed under the terms and conditions of the Creative Commons Attribution (CC BY) license (http://creativecommons.org/licenses/by/4.0/).
Share and Cite
Yang, X.; Wu, Y.; Wei, K.; Fang, W.; Sun, H. Non-Isothermal Crystallization Kinetics of Short Glass Fiber Reinforced Poly (Ether Ether Ketone) Composites. Materials 2018, 11, 2094. https://doi.org/10.3390/ma11112094
Yang X, Wu Y, Wei K, Fang W, Sun H. Non-Isothermal Crystallization Kinetics of Short Glass Fiber Reinforced Poly (Ether Ether Ketone) Composites. Materials. 2018; 11(11):2094. https://doi.org/10.3390/ma11112094
Chicago/Turabian StyleYang, Xujing, Yazhuo Wu, Kai Wei, Wenjun Fang, and Haofei Sun. 2018. "Non-Isothermal Crystallization Kinetics of Short Glass Fiber Reinforced Poly (Ether Ether Ketone) Composites" Materials 11, no. 11: 2094. https://doi.org/10.3390/ma11112094
APA StyleYang, X., Wu, Y., Wei, K., Fang, W., & Sun, H. (2018). Non-Isothermal Crystallization Kinetics of Short Glass Fiber Reinforced Poly (Ether Ether Ketone) Composites. Materials, 11(11), 2094. https://doi.org/10.3390/ma11112094

