Corrugated Photoactive Thin Films for Flexible Strain Sensor
Abstract
1. Introduction
2. Experiment Details
2.1. Materials
2.2. Preparation of Test Specimens
2.2.1. Corrugated PEDOT:PSS Conductive Thin Films
2.2.2. Corrugated P3HT:PCBM Photoactive Thin Films
2.2.3. Flexible Thin Film Strain Sensor
2.3. Test Setup
2.3.1. Characterization of Optical Transmittance of PEDOT:PSS at Tensile Strains
2.3.2. Characterization of Sheet Resistance of PEDOT:PSS at Tensile Strains
2.3.3. Characterization of Light Absorption of P3HT:PCBM at Tensile Strains
2.3.4. Validation of Strain Sensing of Flexible Strain Sensor
3. Results and Discussion
3.1. Optical Transmittance of PEDOT:PSS at Tensile Strains
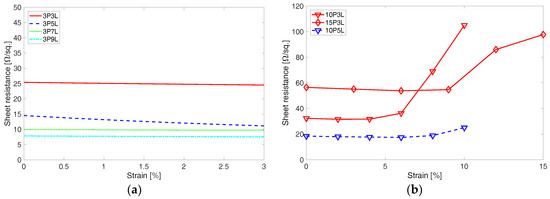
3.2. Sheet Resistance of PEDOT:PSS at Tensile Strains
3.3. Light Absorption of P3HT:PCBM at Tensile Strains
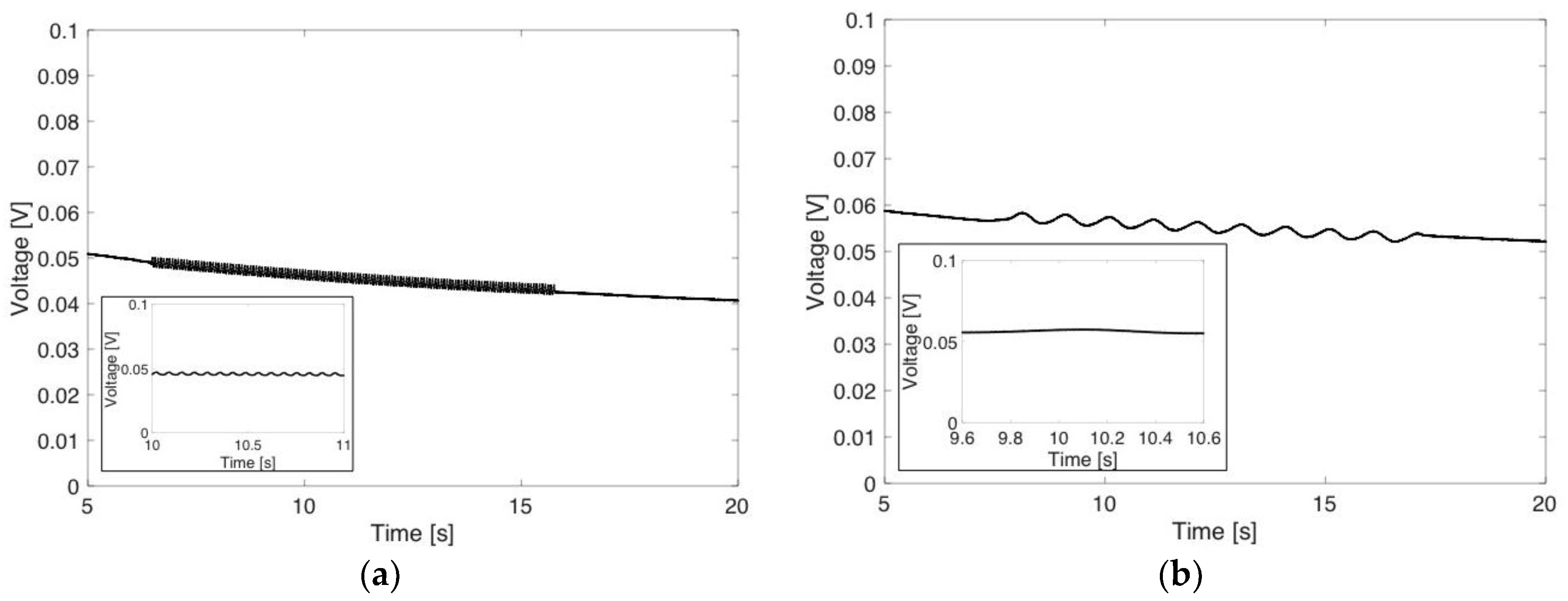
3.4. DC-Based Tensile Strain Sensing of Flexible Strain Sensor
4. Conclusions
Author Contributions
Funding
Acknowledgments
Conflicts of Interest
References
- Lee, D.H.; Park, J.; Lee, J.K.; Heo, K.; Lee, D.J.; Lee, Y.R.; Lee, B.Y. Highly sensitive and flexible strain sensors based on patterned ITO nanoparticle channels. Nanotechnology 2017, 28, 495501. [Google Scholar] [CrossRef] [PubMed]
- Ryu, D.; Loh, K.J.; Ireland, R.; Karimzada, M.; Yaghmaie, F.; Gusman, A.M. In situ reduction of gold nanoparticles in PDMS matrices and applications for large strain sensing. Smart Struct. Syst. 2011, 8, 471–486. [Google Scholar] [CrossRef]
- Han, F.; Li, J.; Zhao, S.; Zhang, Y.; Huang, W.; Zhang, G.; Sun, R.; Wong, C.-P. A crack-based nickel@graphene-wrapped polyurethane sponge ternary hybrid obtained by electrodeposition for highly sensitive wearable strain sensors. J. Mater. Chem. C 2017, 5, 10167–10175. [Google Scholar] [CrossRef]
- Jang, S.-H.; Park, Y.-L.; Yin, H. Influence of coalescence on the anisotropic mechanical and electrical properties of nickel powder/polydimethylsiloxane composites. Materials 2016, 9, 239. [Google Scholar] [CrossRef] [PubMed]
- Laflamme, S.; Kollosche, M.; Connor, J.; Kofod, G. Robust flexible capacitive surface sensor for structural health monitoring applications. J. Eng. Mech. 2013, 139, 879–885. [Google Scholar] [CrossRef]
- Wang, Y.; Yang, R.; Shi, Z.; Zhang, L.; Shi, D.; Wang, E.; Zhang, G. Super-elastic graphene ripples for flexible strain sensors. ACS Nano 2011, 5, 3645–3650. [Google Scholar] [CrossRef] [PubMed]
- Xian, H.; Cao, C.; Shi, J.; Zhu, X.; Hu, Y.; Huang, Y.; Meng, S.; Gu, L.; Liu, Y.; Bai, H. Flexible strain sensors with high performance based on metallic glass thin film. Appl. Phys. Lett. 2017, 111, 121906. [Google Scholar] [CrossRef]
- Li, X.; Zhang, R.; Yu, W.; Wang, K.; Wei, J.; Wu, D.; Cao, A.; Li, Z.; Cheng, Y.; Zheng, Q.; Ruoff, R.S. Stretchable and highly sensitive graphene-on-polymer strain sensors. Sci. Rep. 2012, 2, 870. [Google Scholar] [CrossRef] [PubMed]
- Someya, T.; Kato, Y.; Sekitani, T.; Iba, S.; Noguchi, Y.; Murase, Y.; Kawaguchi, H.; Sakurai, T. Conformable, flexible, large-area networks of pressure and thermal sensors with organic transistor active matrixes. Proc. Nat. Acad. Sci. USA 2005, 102, 12321. [Google Scholar] [CrossRef] [PubMed]
- Ryu, D.; Castaño, N.; Bhakta, R.; Kimberley, J. Fracto-mechanoluminescent light emission of EuD4TEA-PDMS composites subjected to high strain-rate compressiveloading. Smart Mater. Struct. 2017, 26, 085006. [Google Scholar] [CrossRef]
- Pulliam, E.; Hoover, G.; Ryu, D. Multifunctional mechano-luminescent-optoelectronic composites for self-powered strain sensing. In Proceedings of the ASME 2017 Conference on Smart Materials, Adaptive Structures and Intelligent Systems, Snowbird, Utah, USA, 18–20 September 2017. [Google Scholar]
- Zhou, J.; Gu, Y.; Fei, P.; Mai, W.; Gao, Y.; Yang, R.; Bao, G.; Wang, Z.L. Flexible piezotronic strain sensor. Nano Lett. 2008, 8, 3035–3040. [Google Scholar] [CrossRef] [PubMed]
- Gullapalli, H.; Vemuru, V.S.M.; Kumar, A.; Botello-Mendez, A.; Vajtai, R.; Terrones, M.; Nagarajaiah, S.; Ajayan, P.M. Flexible piezoelectric ZnO–paper nanocomposite strain sensor. Small 2010, 6, 1641–1646. [Google Scholar] [CrossRef] [PubMed]
- Xu, S.; Yeh, Y.-W.; Poirier, G.; McAlpine, M.C.; Register, R.A.; Yao, N. Flexible piezoelectric PMN–PT nanowire-based nanocomposite and device. Nano Lett. 2013, 13, 2393–2398. [Google Scholar] [CrossRef] [PubMed]
- Ryu, D.; Castaño, N. Multivariate characterization of light emission from ZnS:Cu-PDMS self-sensing composites under cyclic tensile strains. IEEE Sens. Lett. 2018, 2, 1–4. [Google Scholar] [CrossRef]
- Holguin, B.; Allison, J.; Ryu, D.; Alvarez, Z.; Hernandez, F.; Kimberley, J. Development of 3d impact self-sensing composites using fracto-mechanoluminescent EuD4TEA. In Proceedings of the ASME 2017 Conference on Smart Materials, Adaptive Structures and Intelligent Systems, Snowbird, UT, USA, 18–20 September 2017. [Google Scholar]
- Krishnan, S.; Walt, H.V.D.; Venkatesh, V.; Sundaresan, V.B. Dynamic characterization of elastico-mechanoluminescence towards structural health monitoring. J. Intell. Mater. Syst. Struct. 2017, 28, 2458–2464. [Google Scholar] [CrossRef]
- Jeong, S.M.; Song, S.; Joo, K.-I.; Kim, J.; Hwang, S.-H.; Jeong, J.; Kim, H. Bright, wind-driven white mechanoluminescence from zinc sulphide microparticles embedded in a polydimethylsiloxane elastomer. Energy Environ. Sci. 2014, 7, 3338–3346. [Google Scholar] [CrossRef]
- Xin, Y.; Sun, H.; Tian, H.; Guo, C.; Li, X.; Wang, S.; Wang, C. The use of polyvinylidene fluoride (PVDF) films as sensors for vibration measurement: A brief review. Ferroelectrics 2016, 502, 28–42. [Google Scholar] [CrossRef]
- Pulliam, E.; Hoover, G.; Tiparti, D.; Ryu, D. Development of self-powered strain sensor using mechano-luminescent ZnS:Cu and mechano-optoelectronic P3HT. In SPIE Smart Structures and Materials + Nondestructive Evaluation and Health Monitoring; SPIE: Portland, OR, USA, 12 April 2017. [Google Scholar]
- Ryu, D.; Loh, K.J. Strain sensing using photocurrent generated by photoactive P3HT-based nanocomposites. Smart Mater. Struct. 2012, 21, 065016. [Google Scholar] [CrossRef]
- Ryu, D.; Meyers, F.N.; Loh, K.J. Inkjet-printed, flexible, and photoactive thin film strain sensors. J. Intell. Mater. Syst. Struct. 2015, 26, 1699–1710. [Google Scholar] [CrossRef]
- Ryu, D.; Loh, K.J. Multi-modal sensing using photoactive thin films. Smart Mater. Struct. 2014, 23, 085011. [Google Scholar] [CrossRef]
- Zhao, D.; Zhang, Q.; Chen, W.; Yi, X.; Liu, S.; Wang, Q.; Liu, Y.; Li, J.; Li, X.; Yu, H. Highly flexible and conductive cellulose-mediated PEDOT:PSS/MWCNT composite films for supercapacitor electrodes. ACS Appl. Mater. Interfaces 2017, 9, 13213–13222. [Google Scholar] [CrossRef] [PubMed]
- Lee, J.H.; Kim, Y.Y.; Park, O.O. Enhanced performance and mechanical durability of a flexible solar cell from the dry transfer of PEDOT:PSS with polymer nanoparticles. J. Mater. Chem. C 2018, 6, 4106–4113. [Google Scholar] [CrossRef]














| Number of Layers | Pre-Strain (%) | |||||
|---|---|---|---|---|---|---|
| 1 | 3 | 5 | 10 | 15 | 20 | |
| 1 | P1L1 | P3L1 | P5L1 | P10L1 | P15L1 | P20L1 |
| 3 | P1L3 | P3L3 | P5L3 | P10L3 | P15L3 | P20L3 |
| 5 | P1L5 | P3L5 | P5L5 | P10L5 | P15L5 | |
| 7 | P1L7 | P3L7 | P5L7 | |||
| 9 | P1L9 | P3L9 | P5L9 | |||
| Number of Layers | Pre-Strain (%) | |||||
|---|---|---|---|---|---|---|
| 1 | 3 | 5 | 10 | 15 | 20 | |
| 1 | P1 | P3 | P5 | P10 | P15 | P20 |
| Number of PEDOT:PSS Layers | Pre-Strain (%) | ||
|---|---|---|---|
| 1 | 3 | 5 | |
| 7 | FS-P1L7 | FS-P3L7 | FS-P5L7 |
| 9 | FS-P1L9 | FS-P3L9 | FS-P5L9 |
| Specimen (Number of Layer) | P1 (1) | P3 (3) | P5 (5) |
|---|---|---|---|
| Strain sensitivity | 2.61 | 3.41 | 2.74 |
© 2018 by the authors. Licensee MDPI, Basel, Switzerland. This article is an open access article distributed under the terms and conditions of the Creative Commons Attribution (CC BY) license (http://creativecommons.org/licenses/by/4.0/).
Share and Cite
Ryu, D.; Mongare, A. Corrugated Photoactive Thin Films for Flexible Strain Sensor. Materials 2018, 11, 1970. https://doi.org/10.3390/ma11101970
Ryu D, Mongare A. Corrugated Photoactive Thin Films for Flexible Strain Sensor. Materials. 2018; 11(10):1970. https://doi.org/10.3390/ma11101970
Chicago/Turabian StyleRyu, Donghyeon, and Alfred Mongare. 2018. "Corrugated Photoactive Thin Films for Flexible Strain Sensor" Materials 11, no. 10: 1970. https://doi.org/10.3390/ma11101970
APA StyleRyu, D., & Mongare, A. (2018). Corrugated Photoactive Thin Films for Flexible Strain Sensor. Materials, 11(10), 1970. https://doi.org/10.3390/ma11101970

